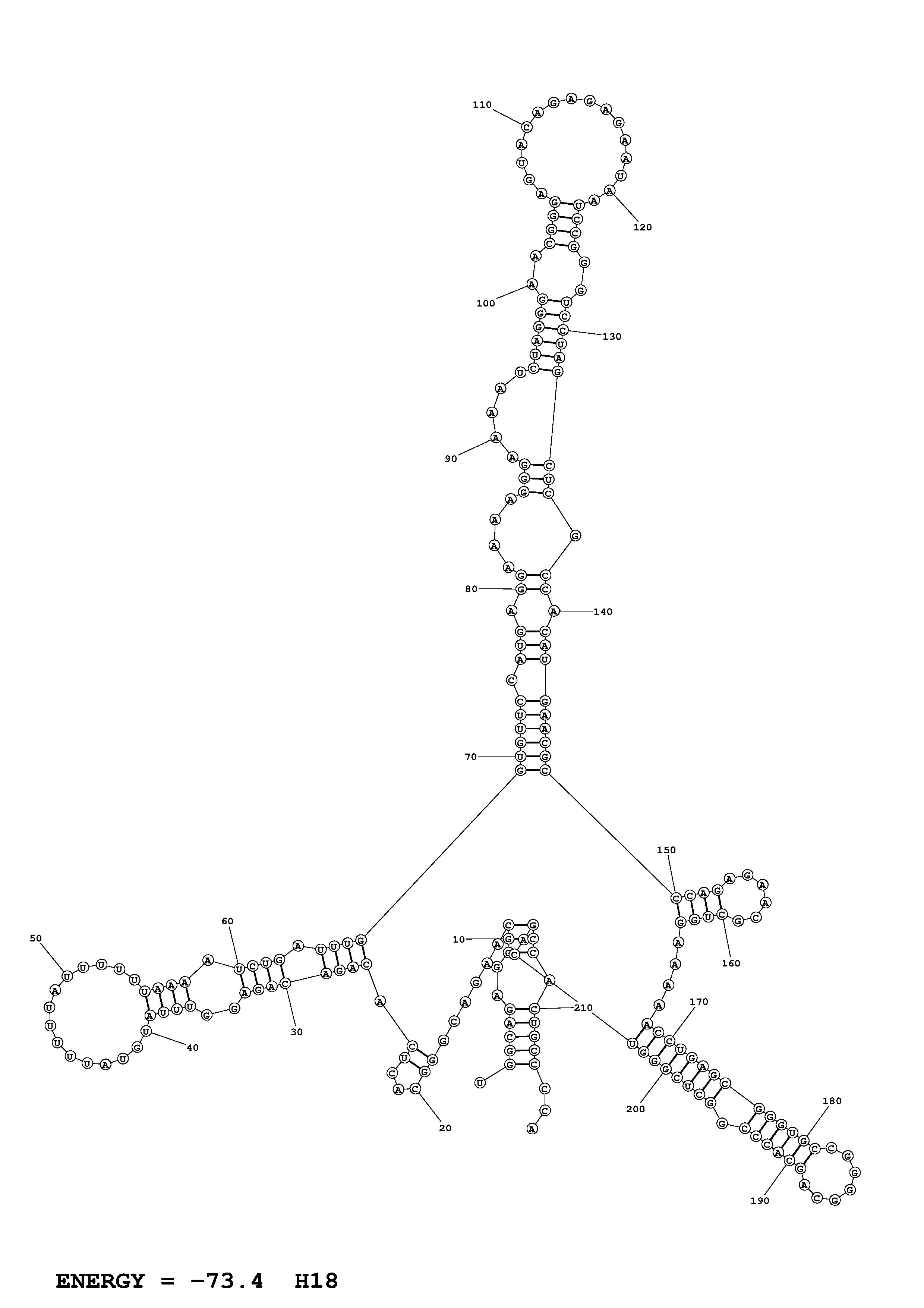
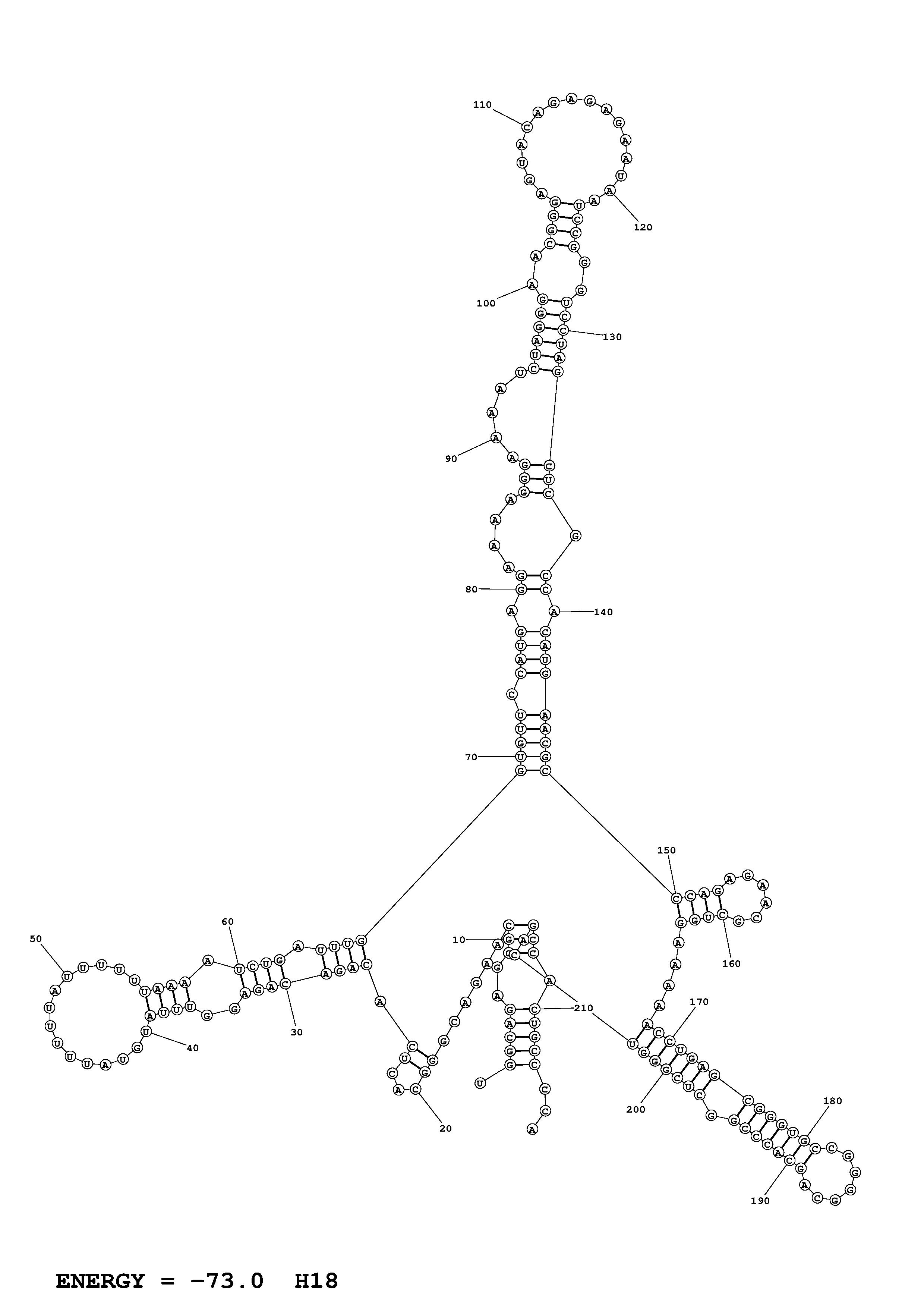
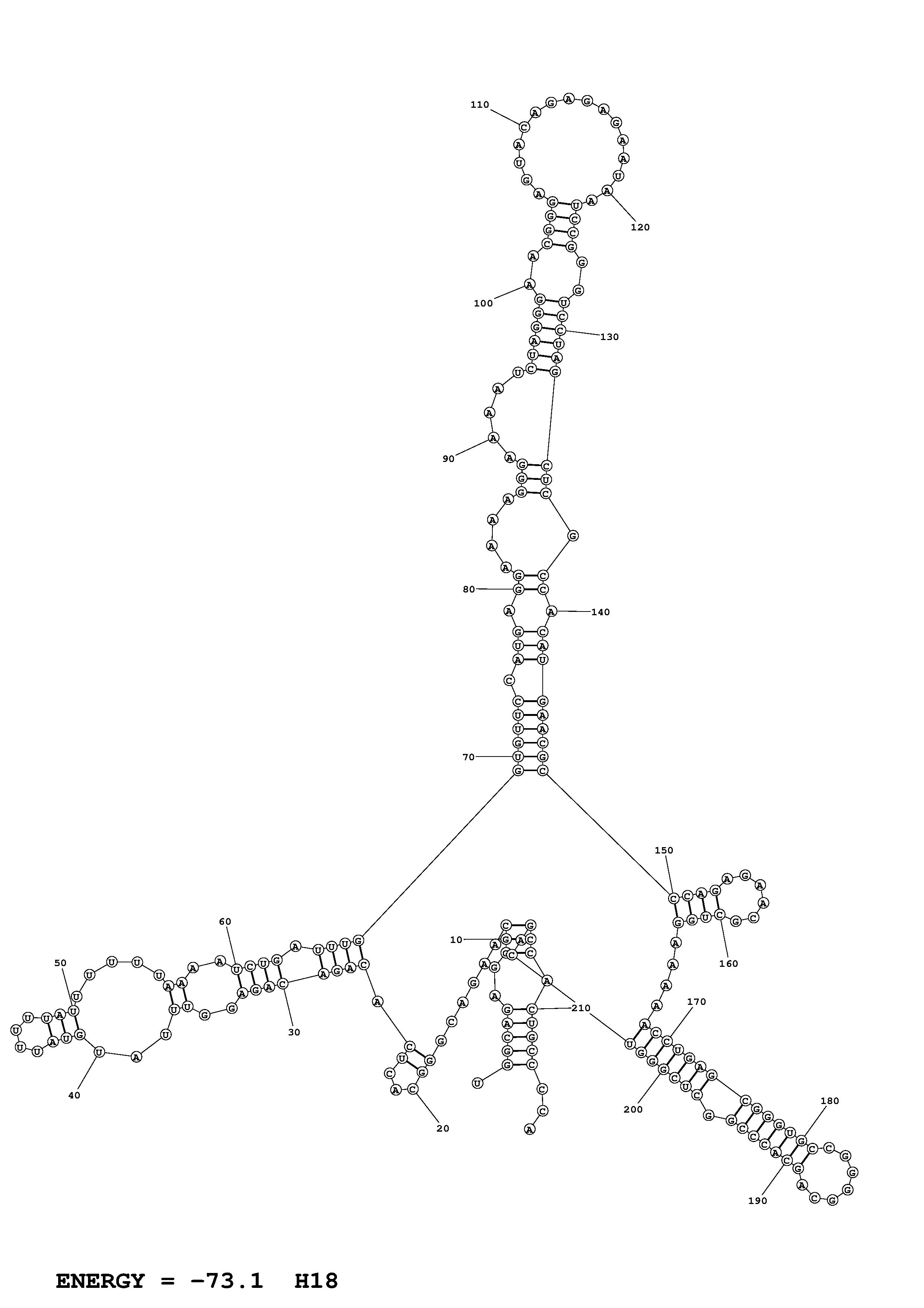
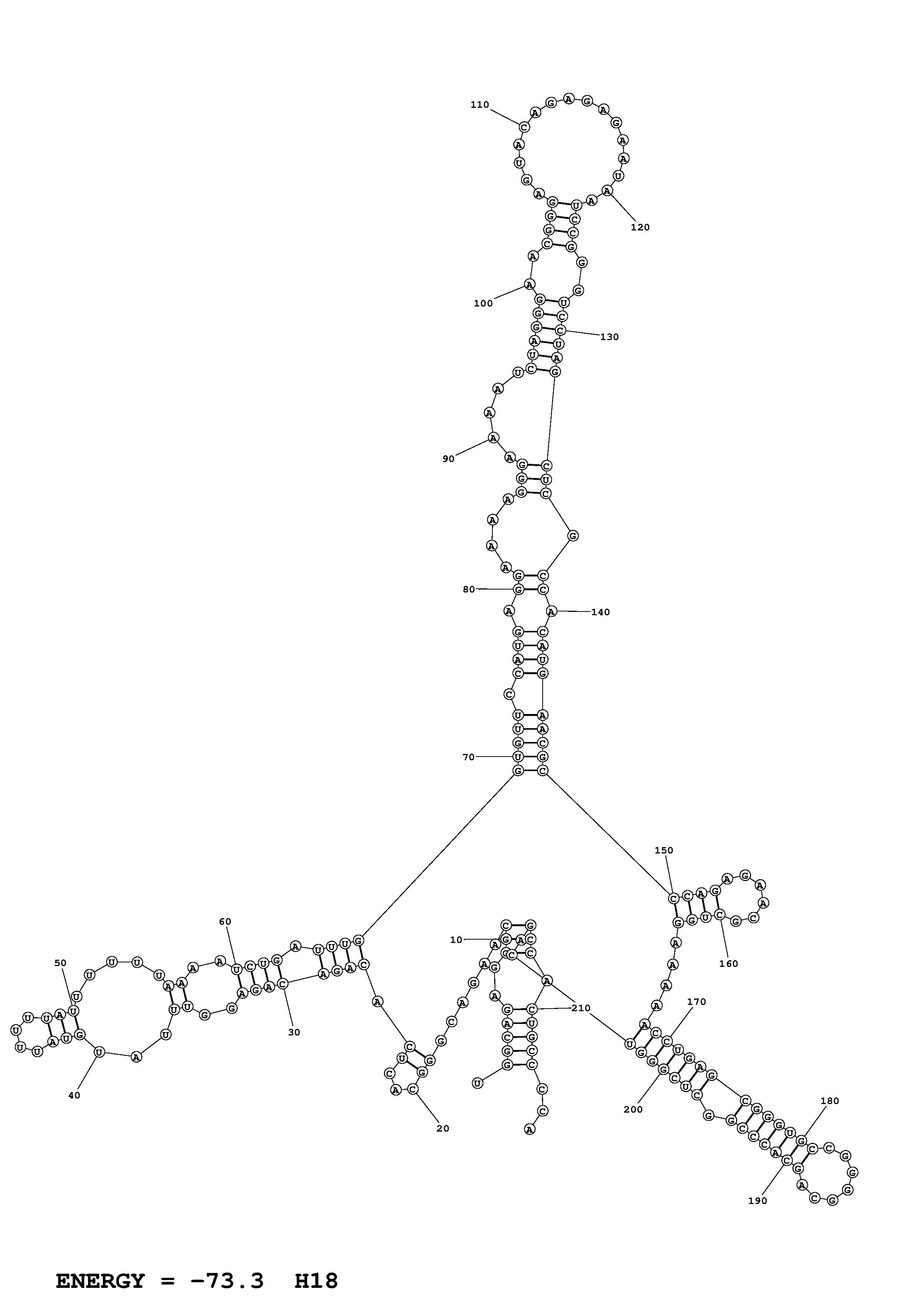
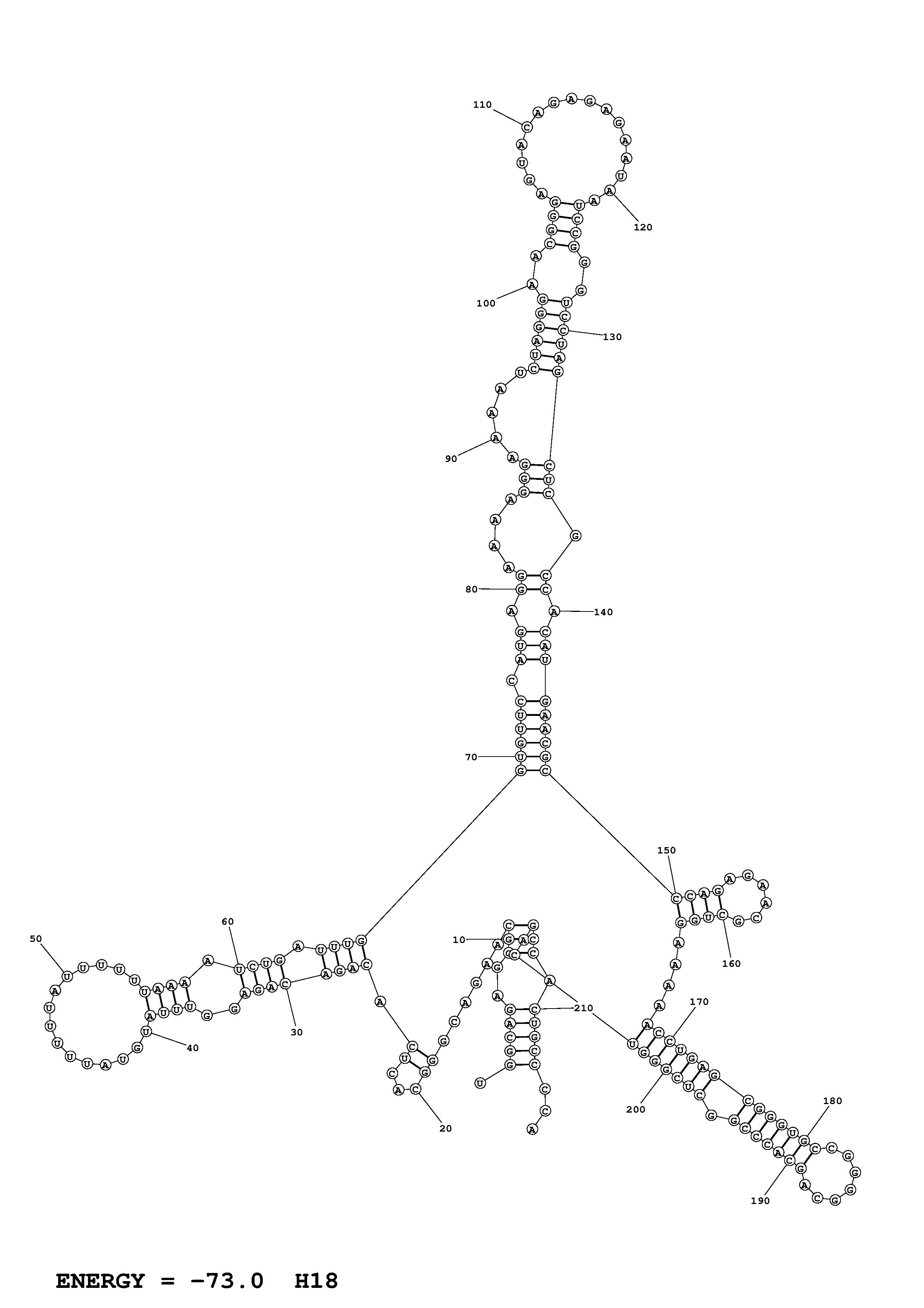
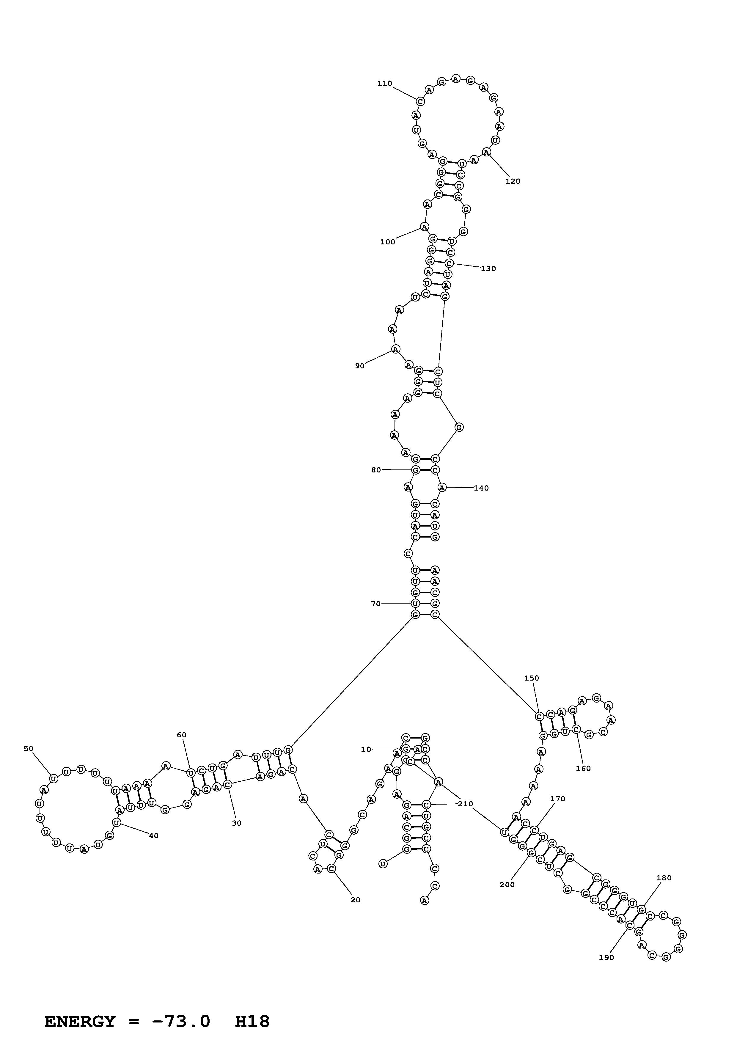
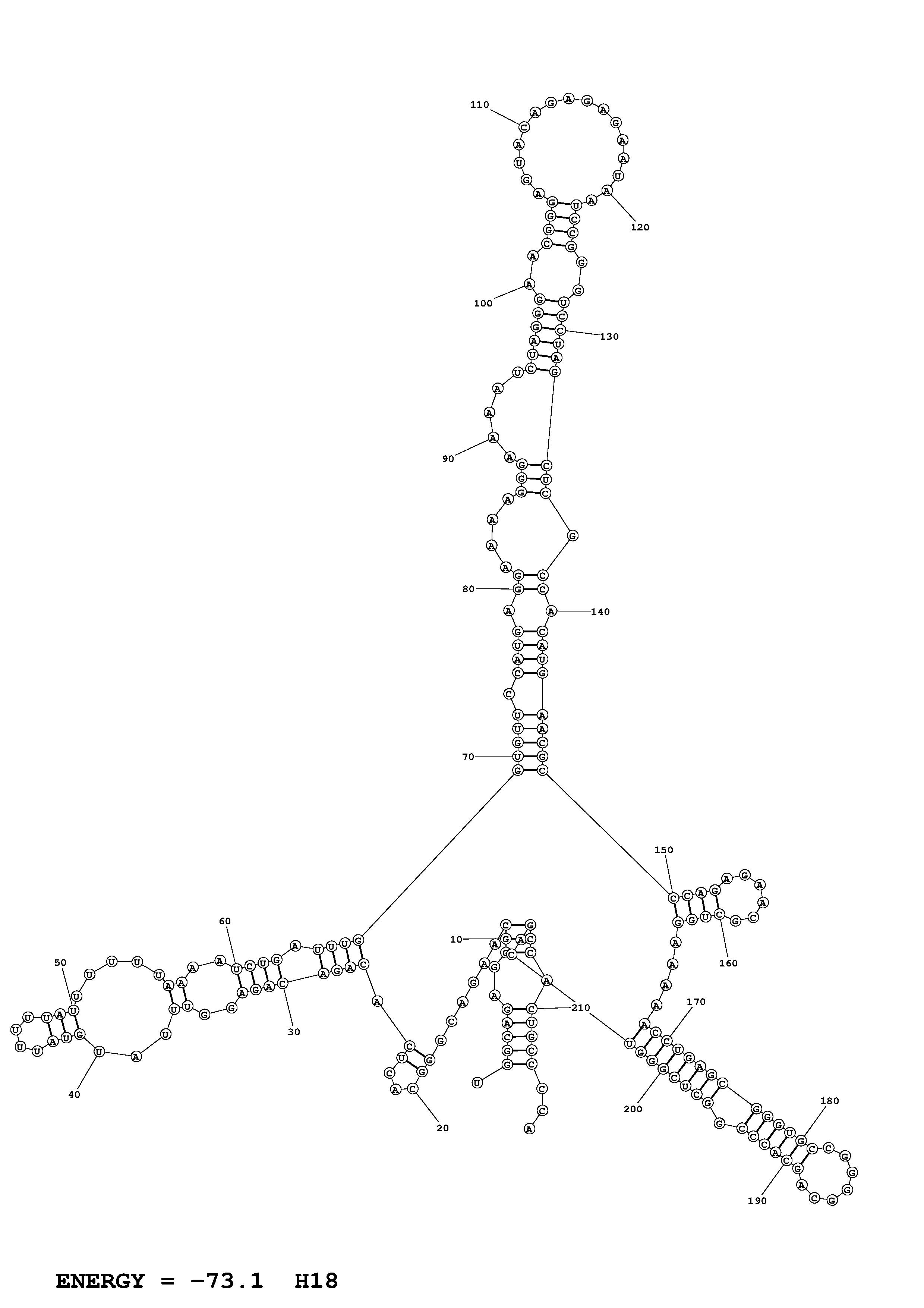
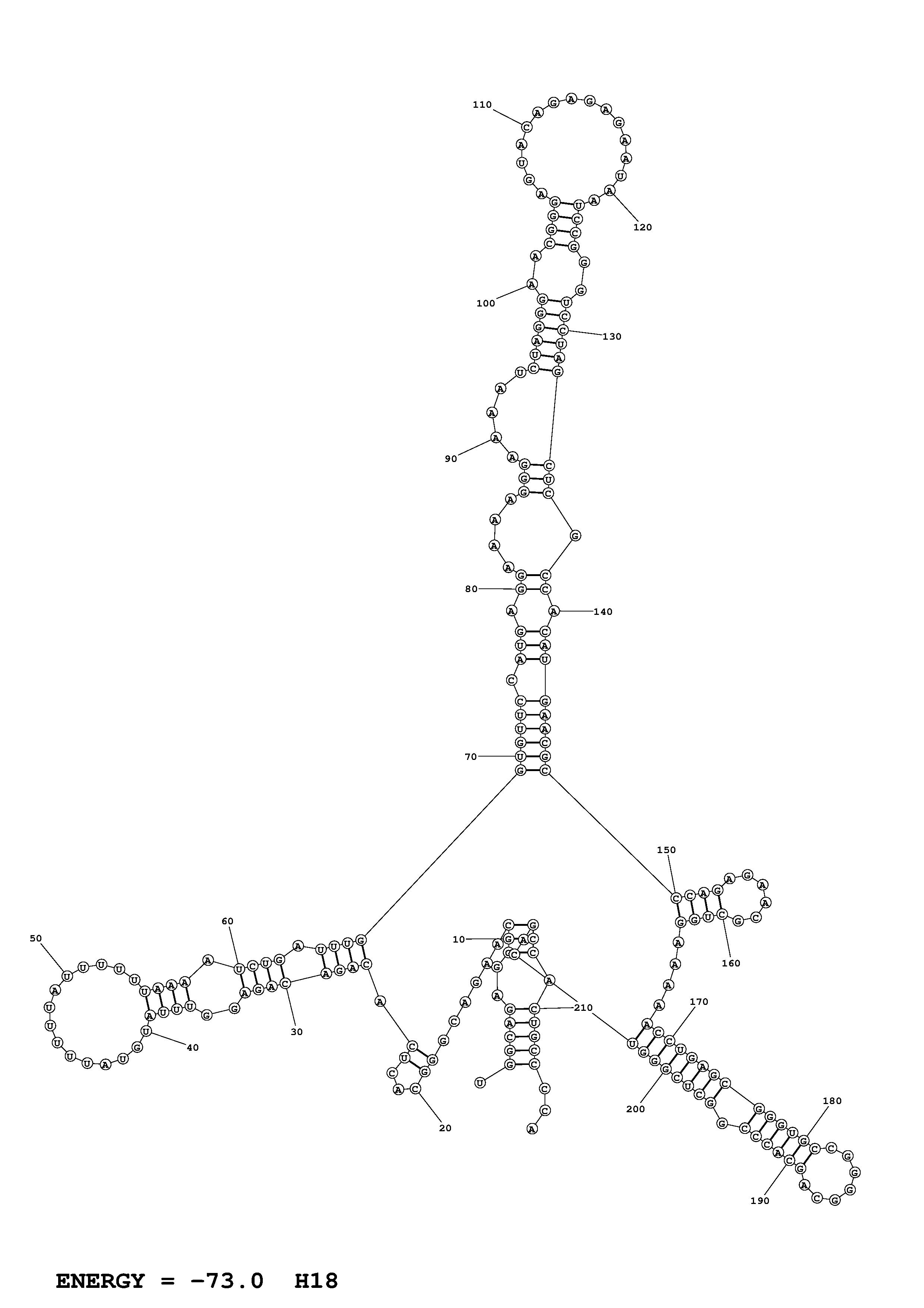
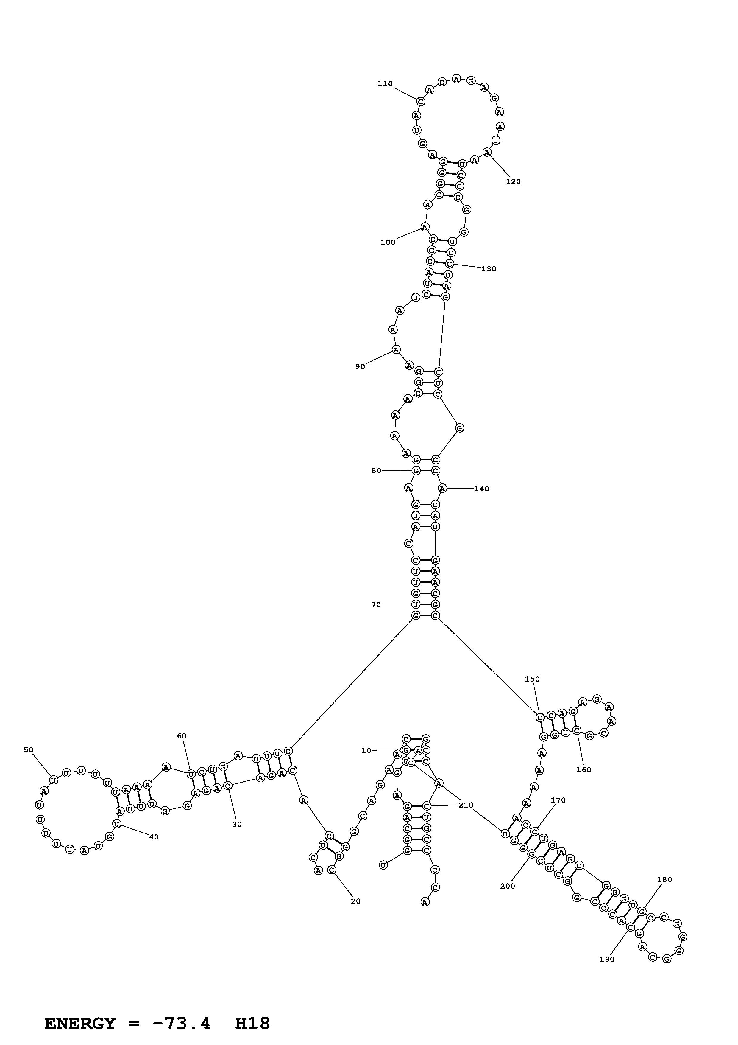
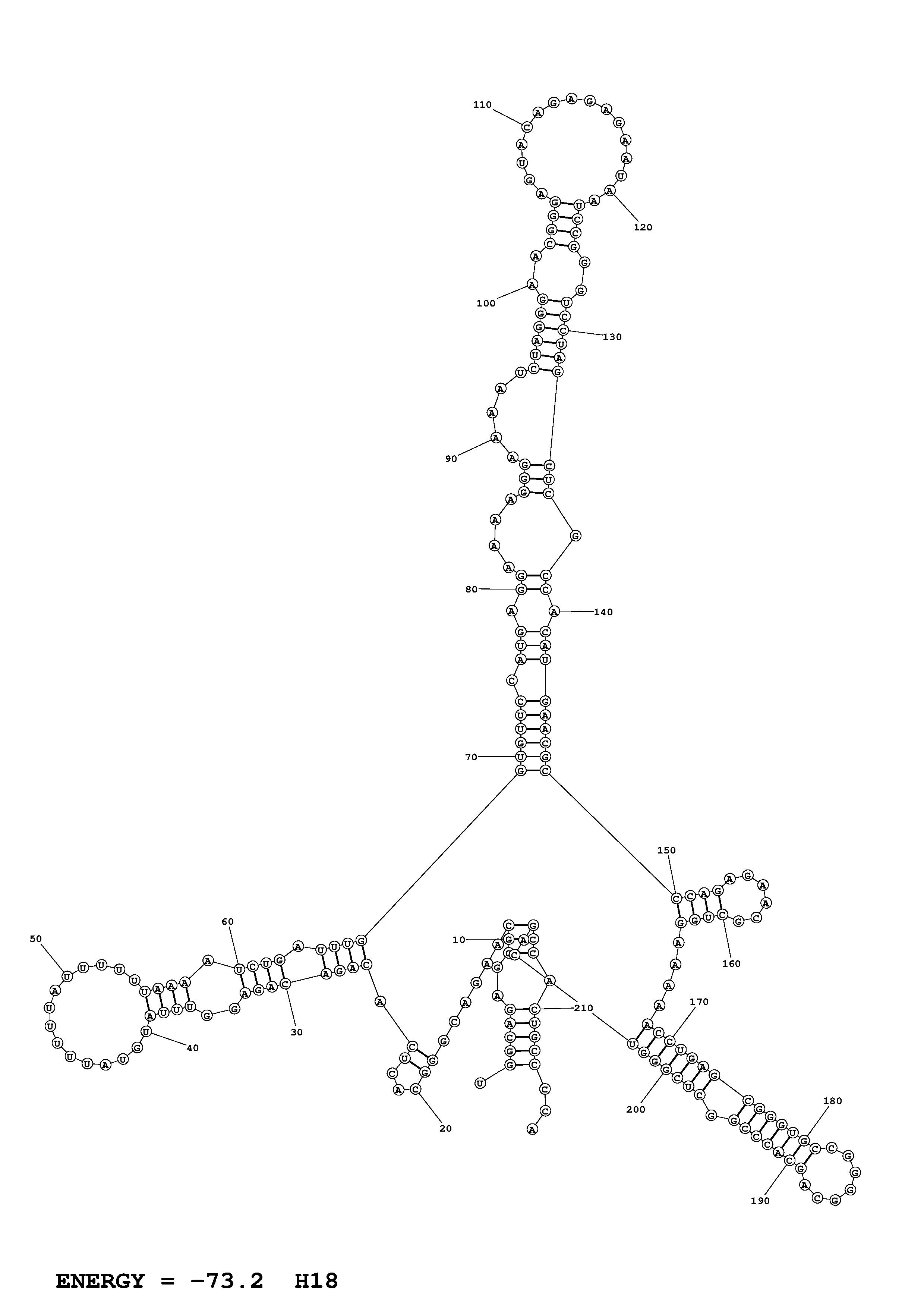
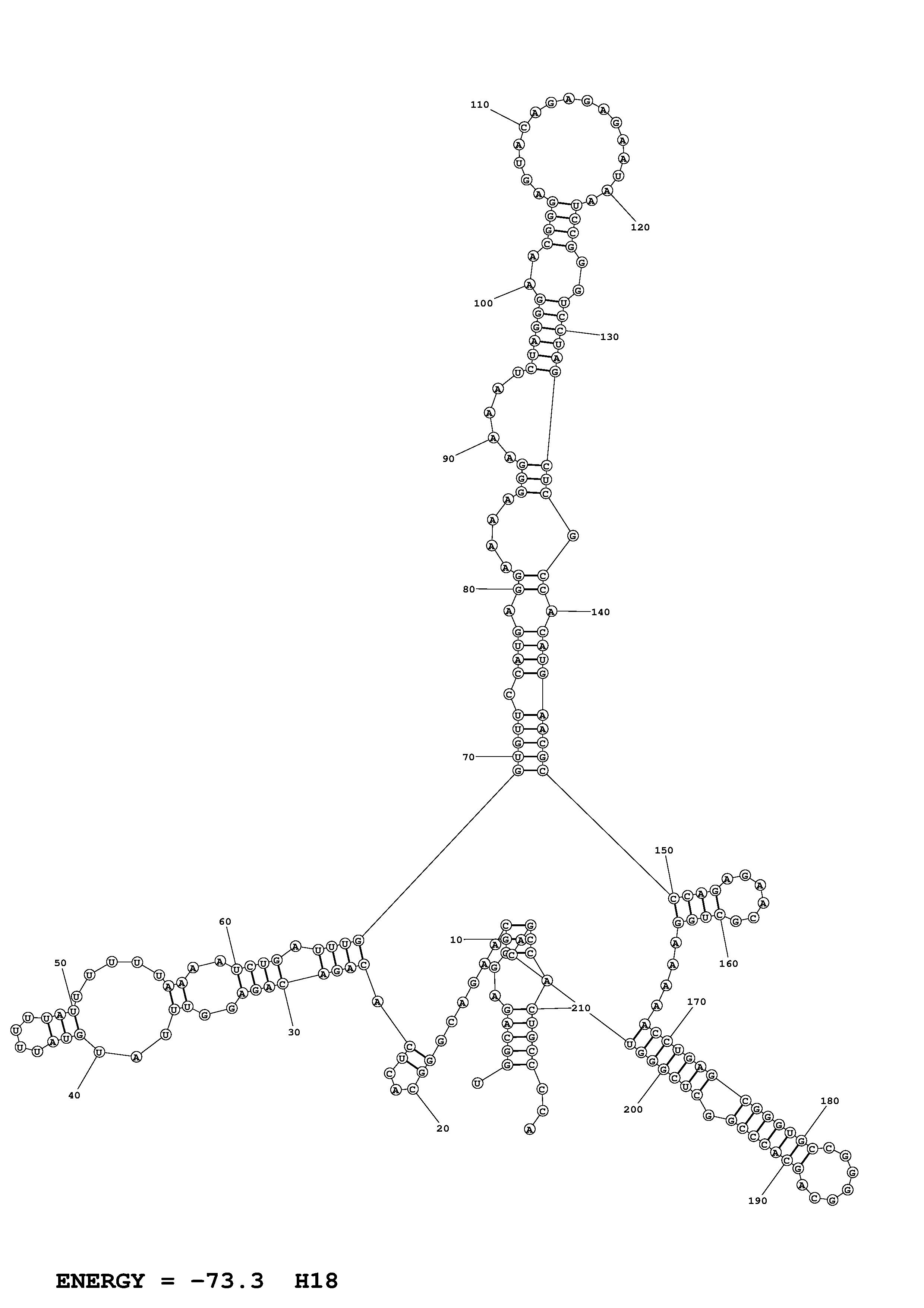
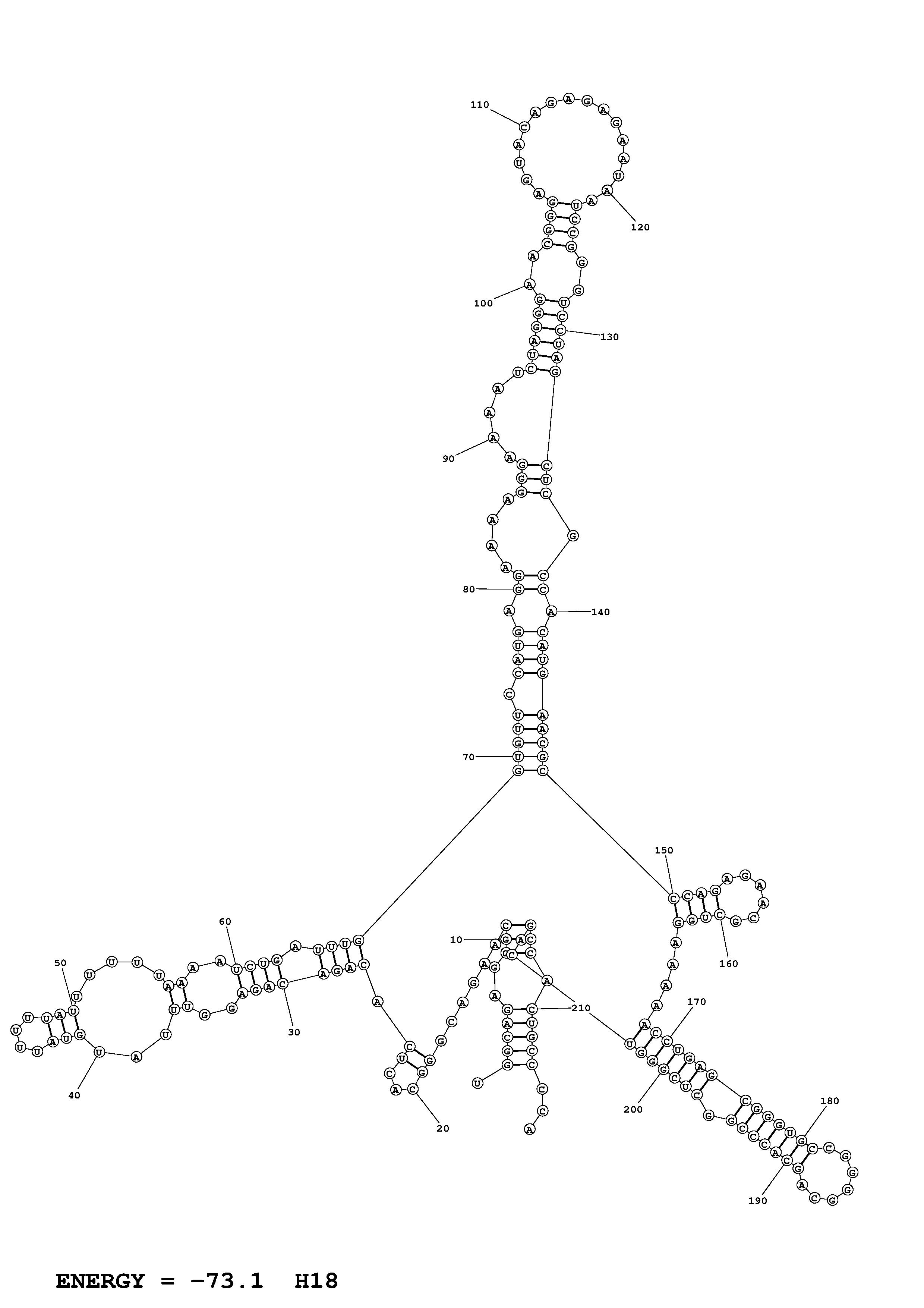
RNAstructure AllSub Results
(Generate all possible low free energy structures for a nucleic acid sequence.)


Download All Structures: PDF PS CT
Download Individual Structures:
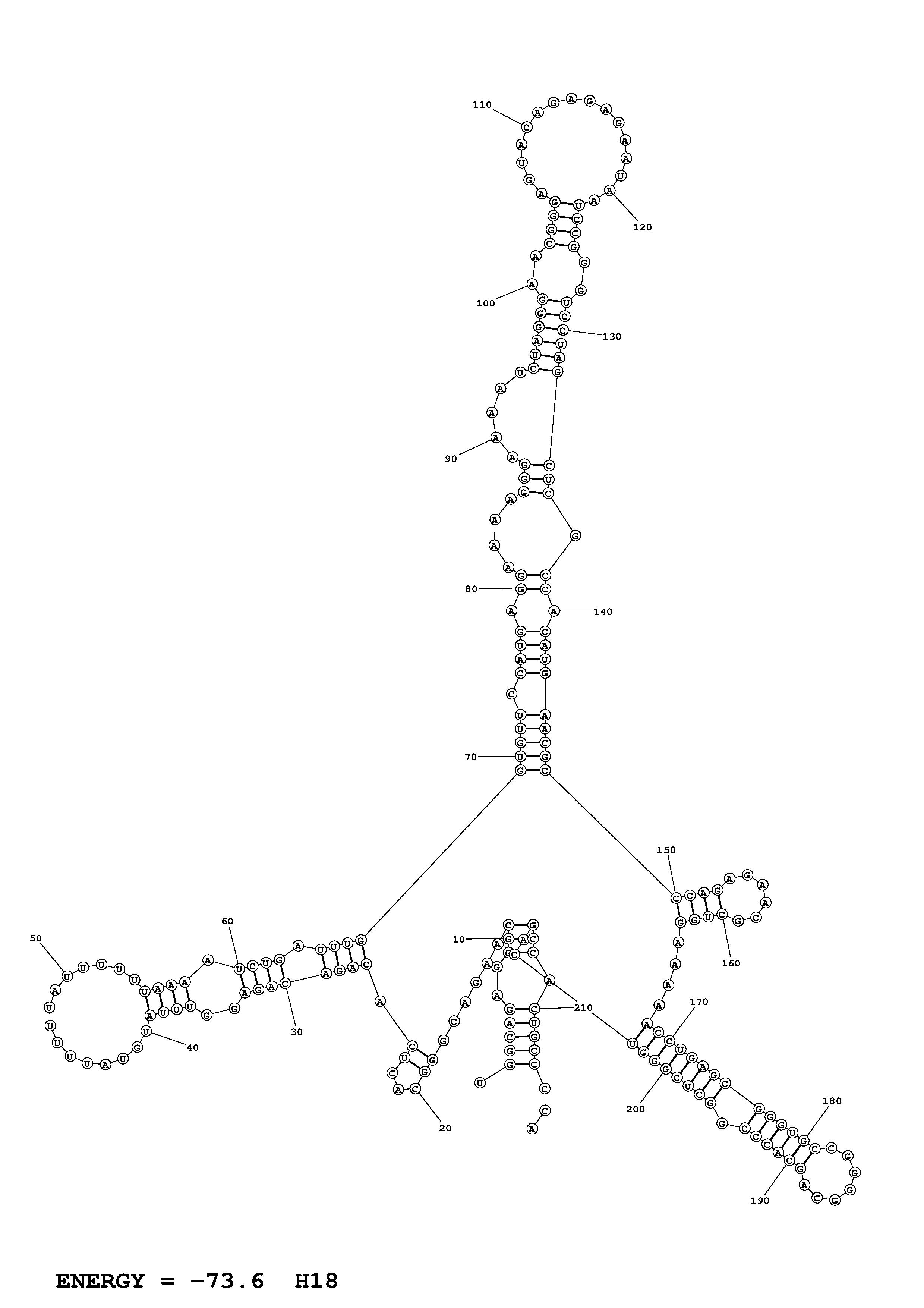
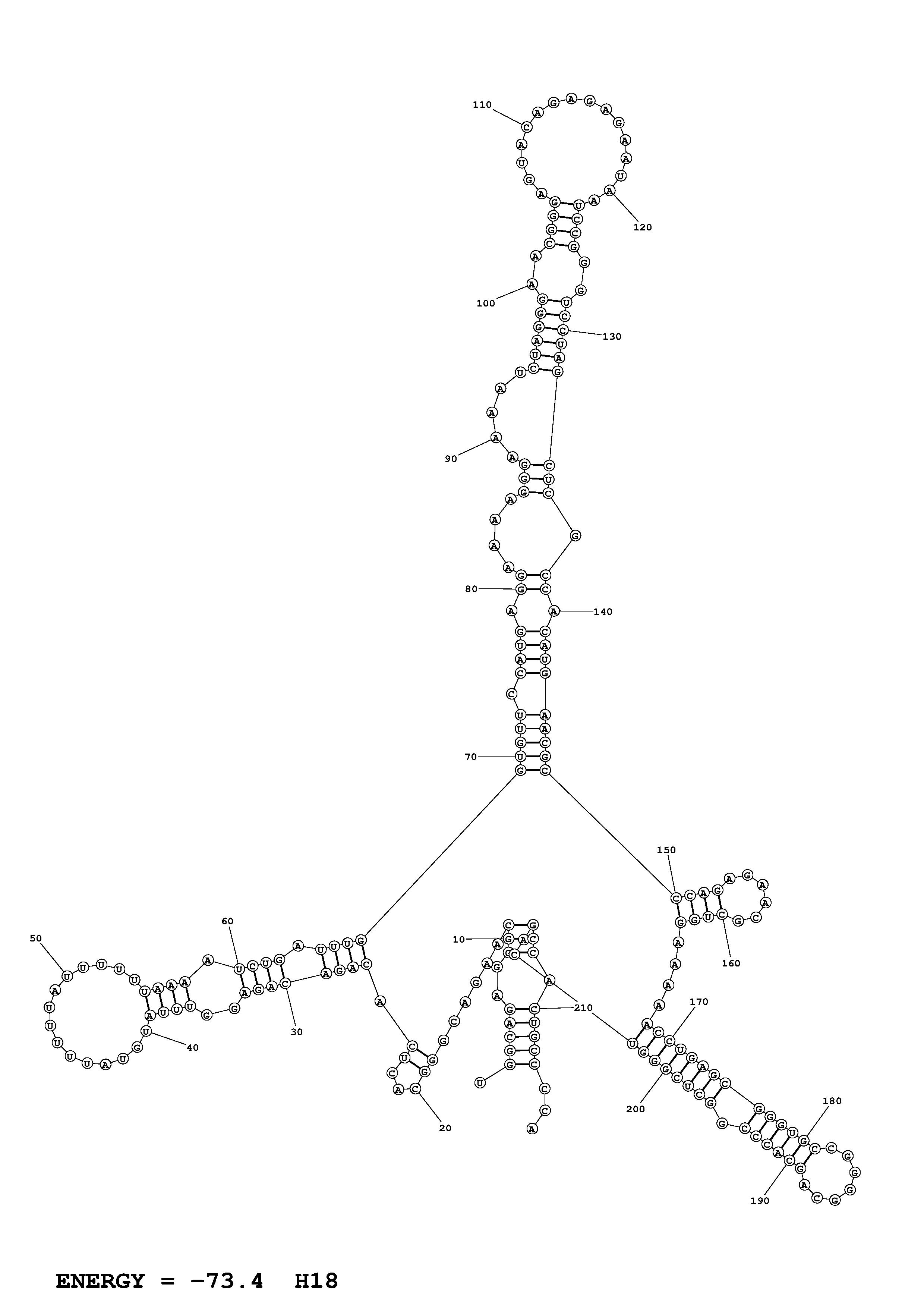
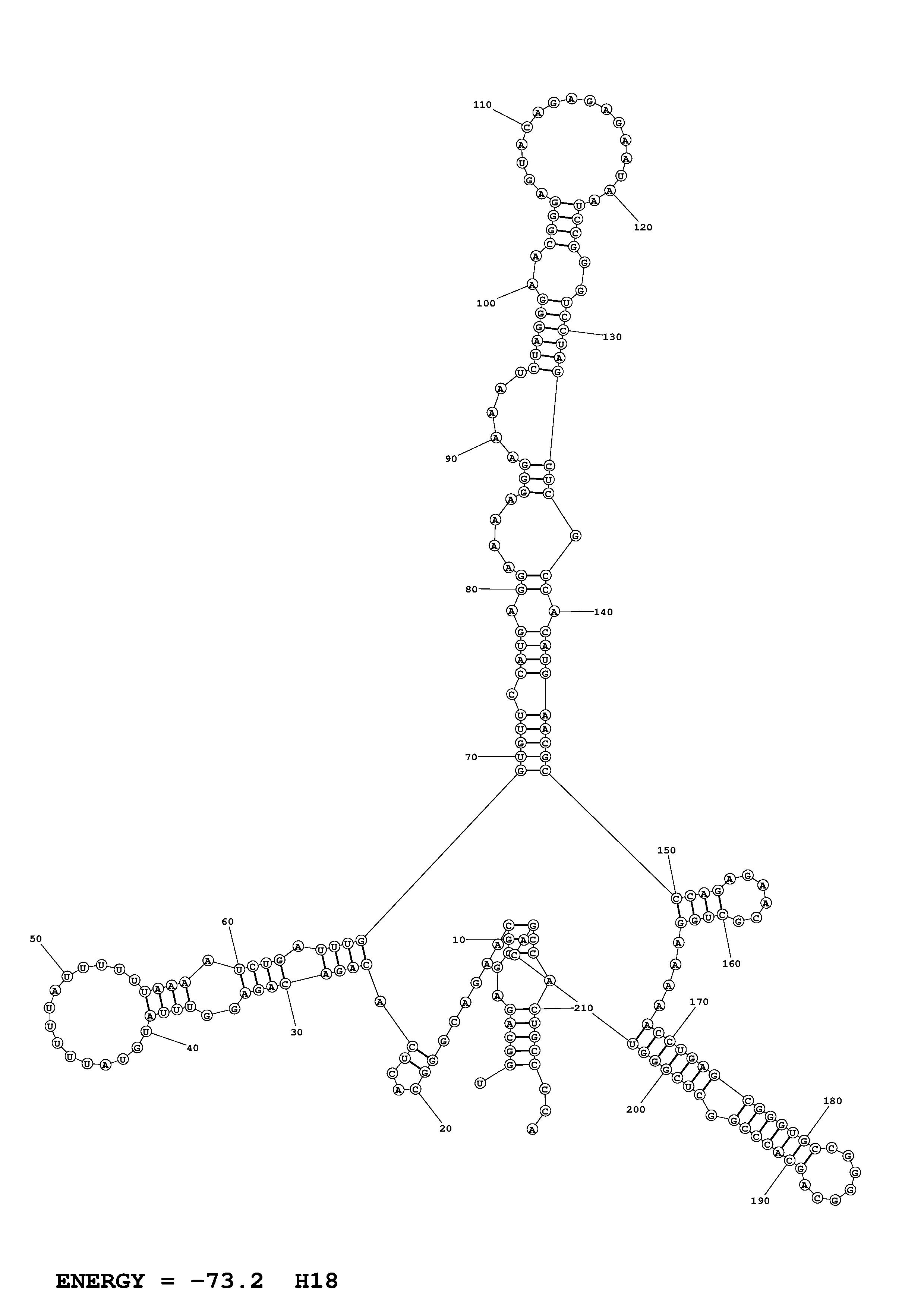
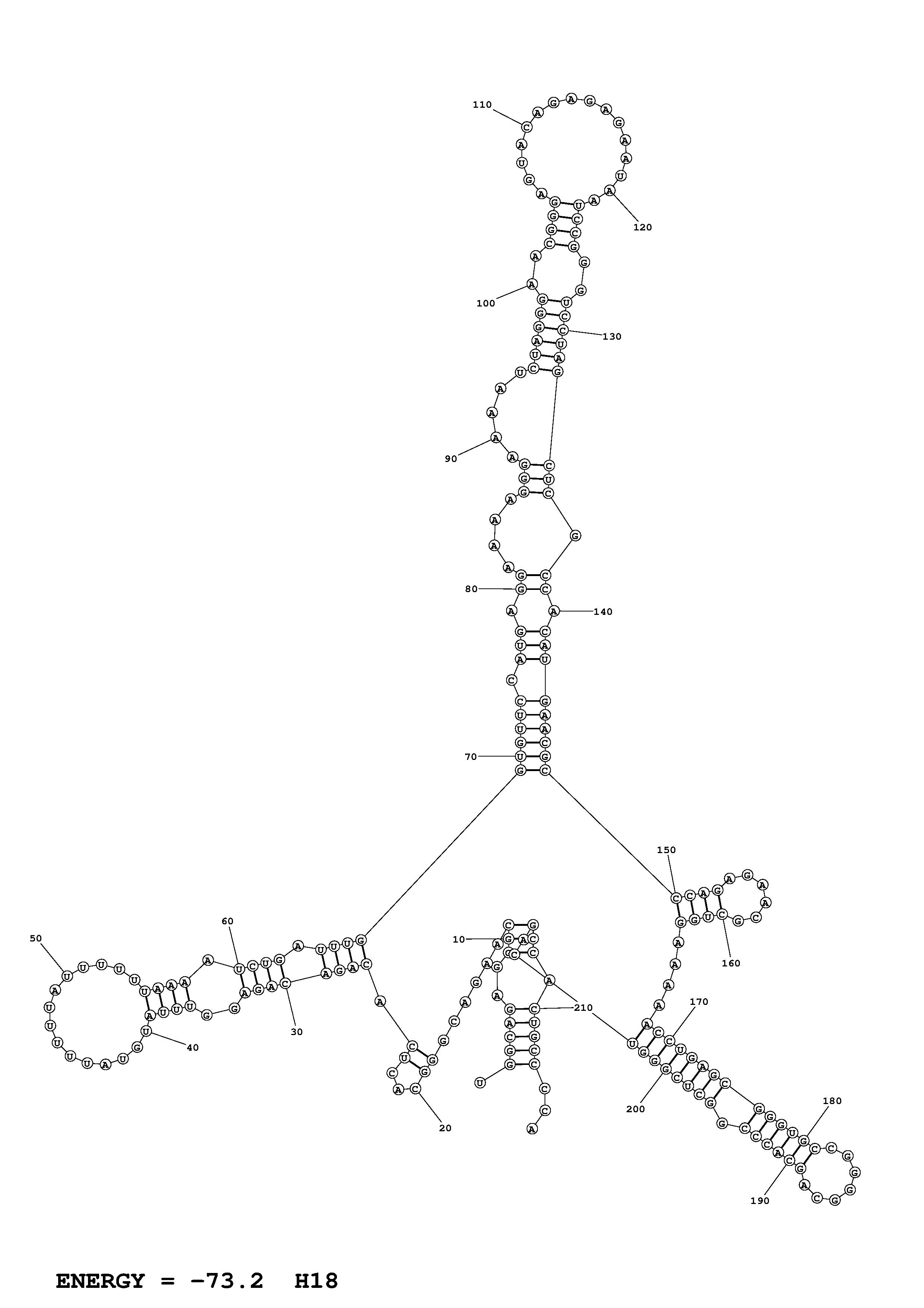
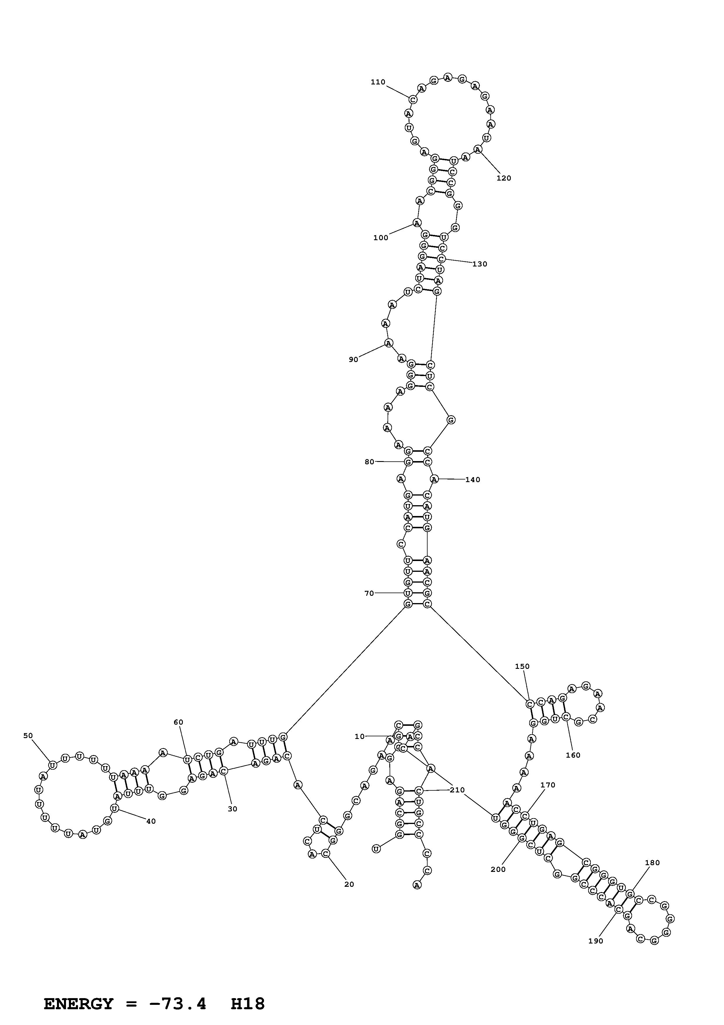
      Structure 1: PDF SVG PS JPEG PNG CT
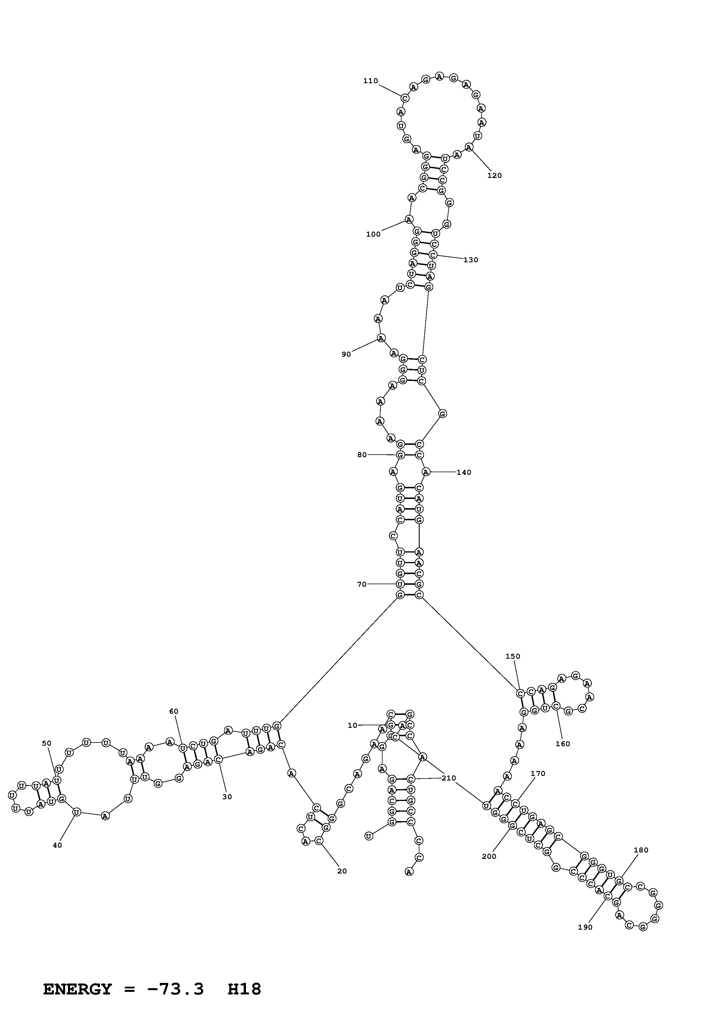
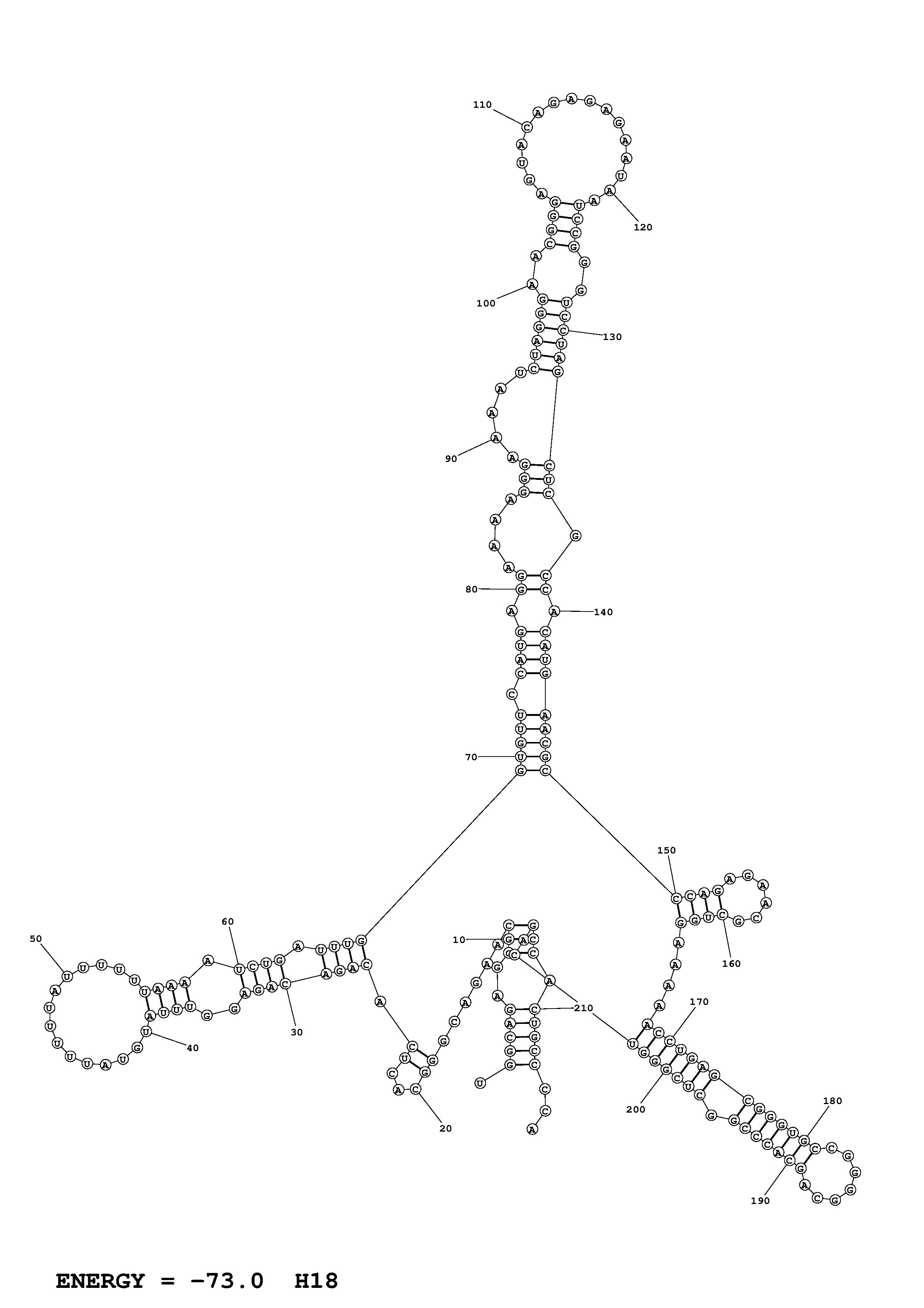
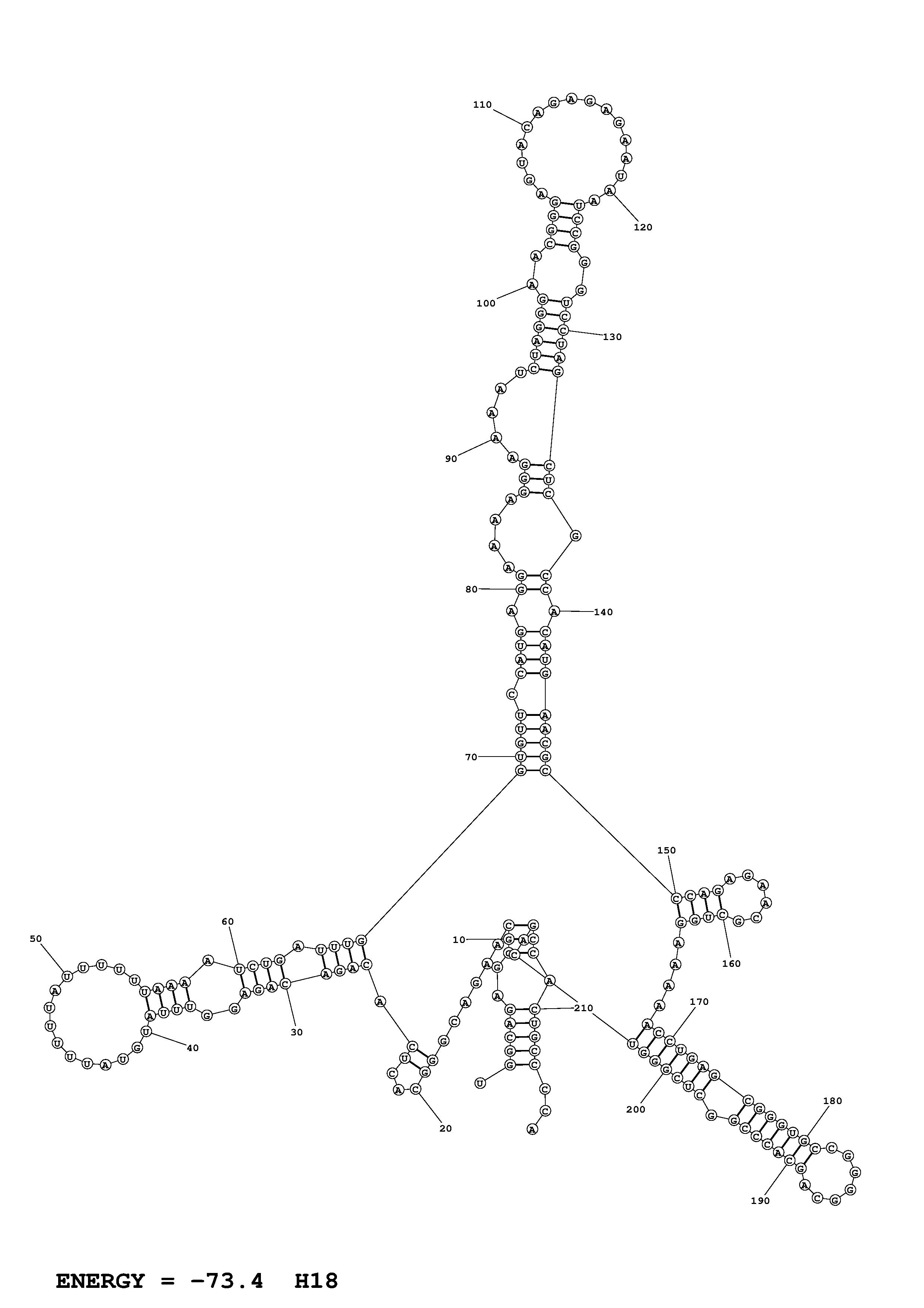
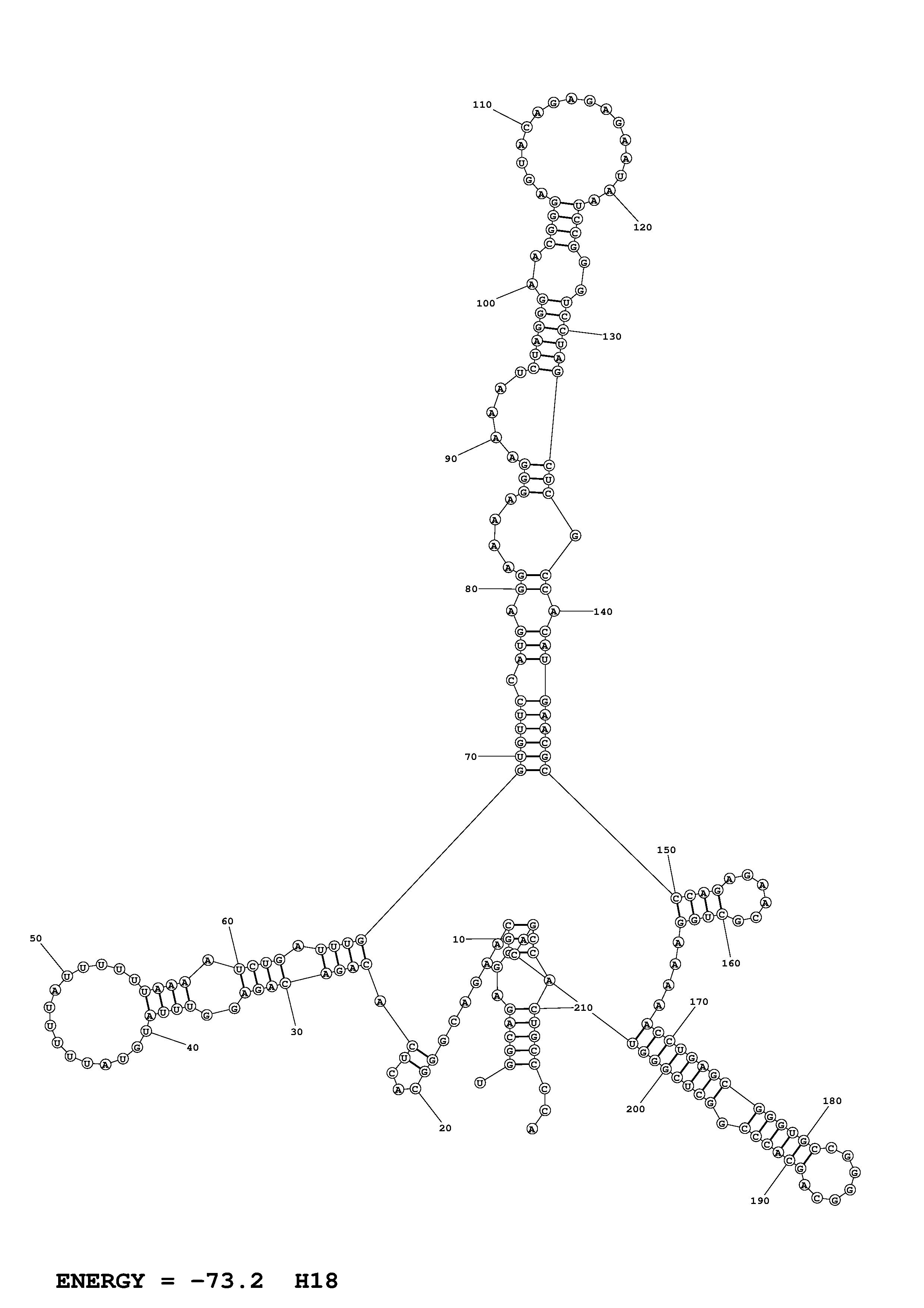
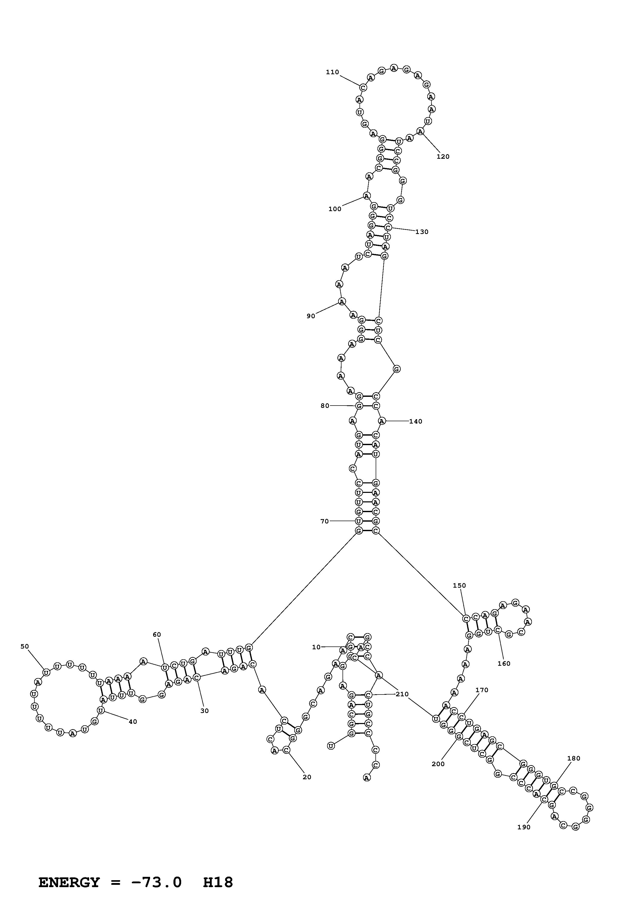
      Structure 2: PDF SVG PS JPEG PNG CT
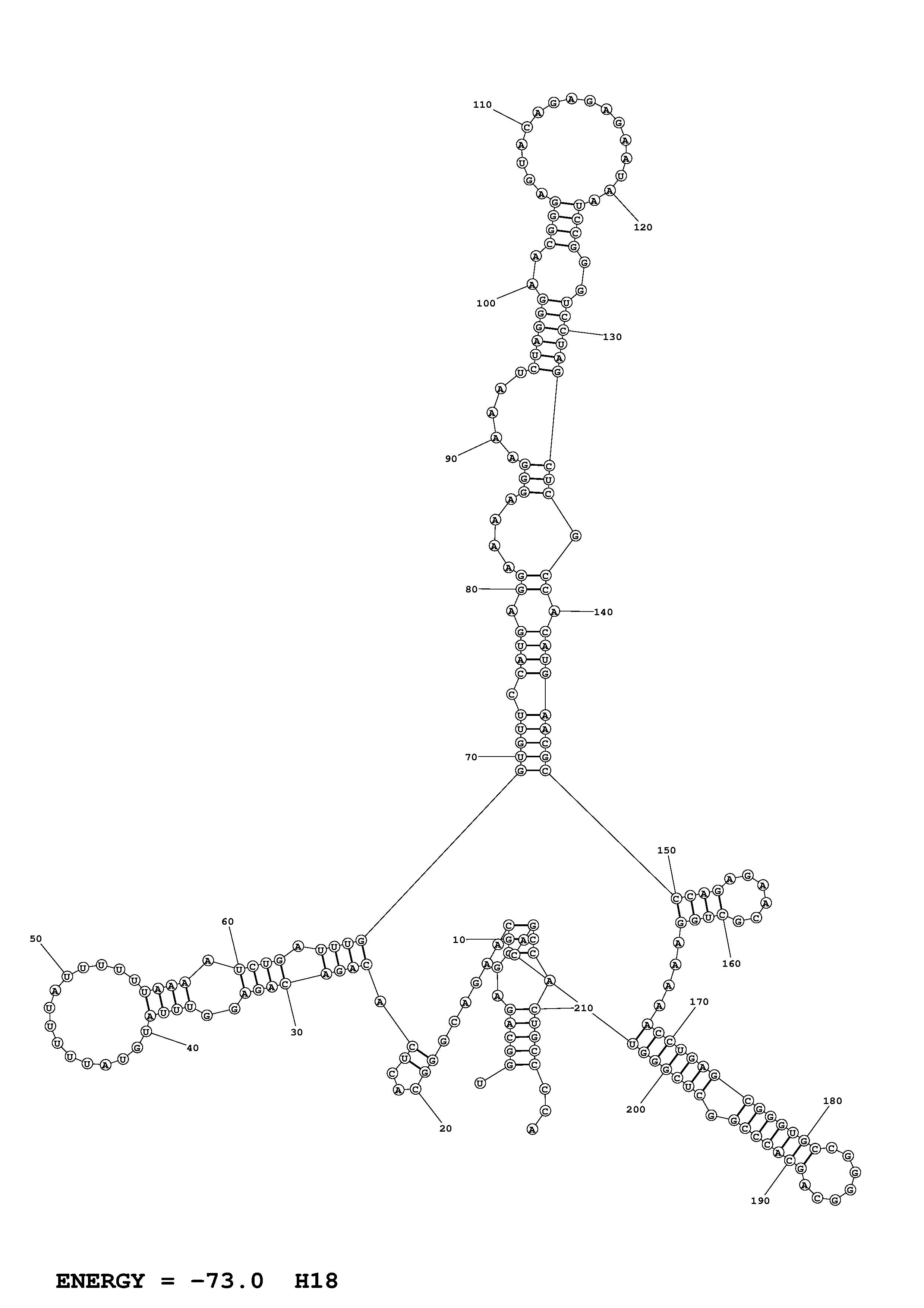
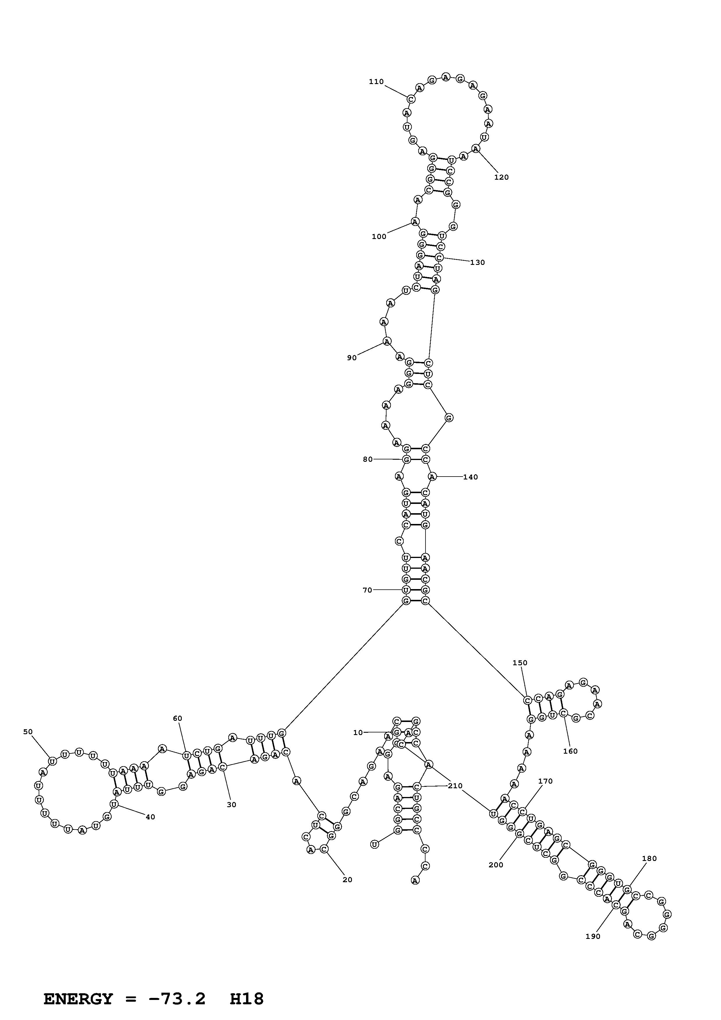
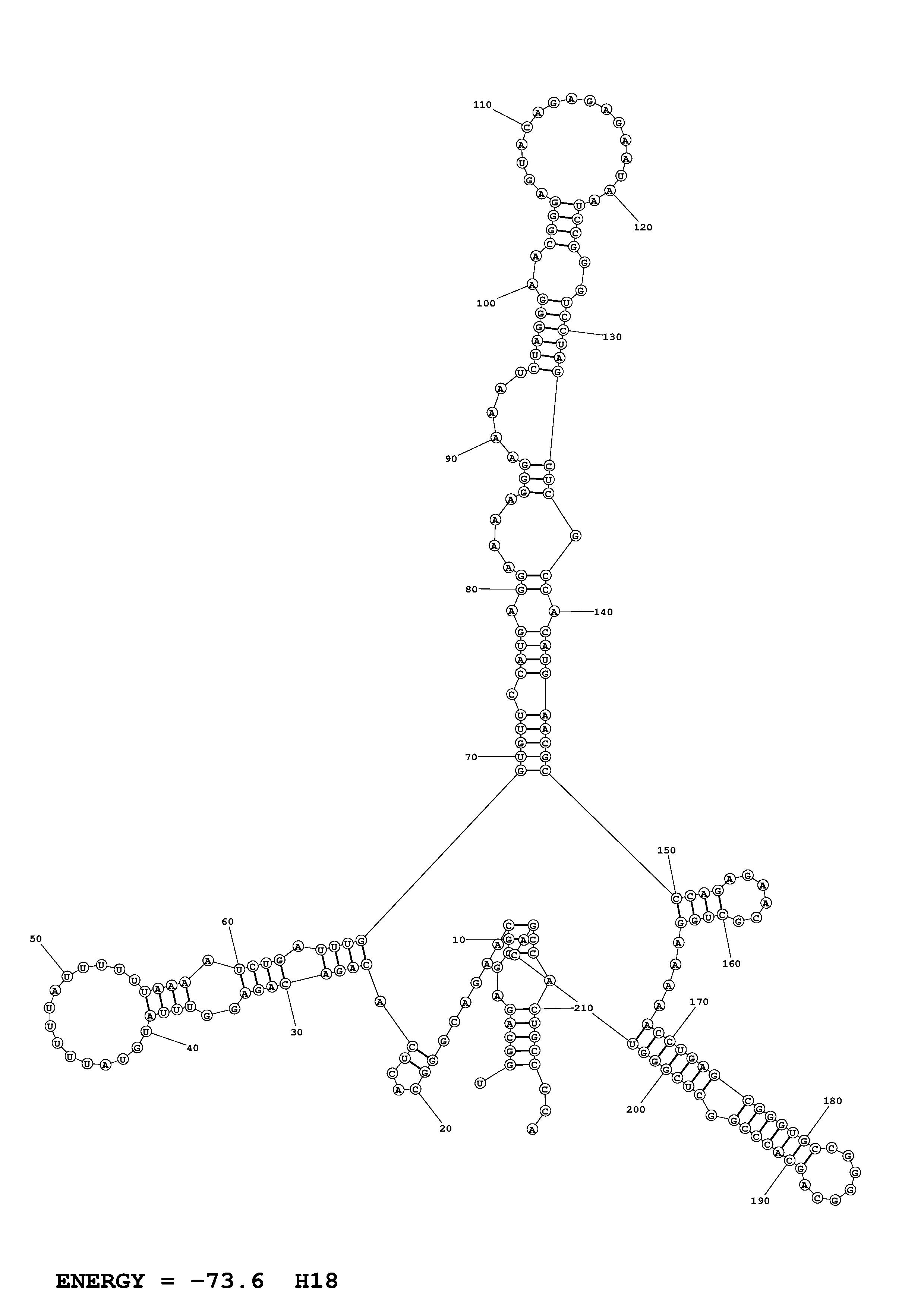
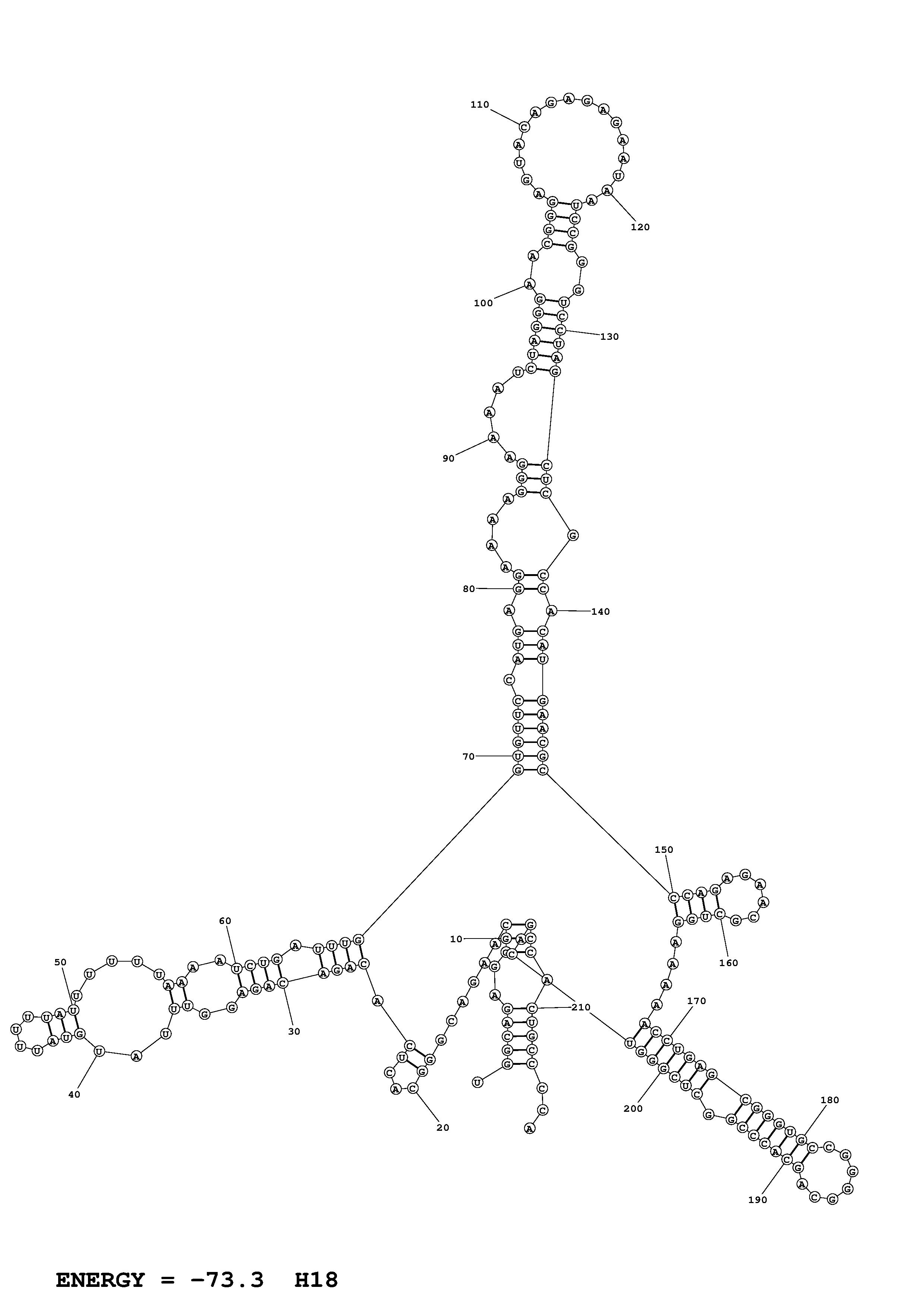
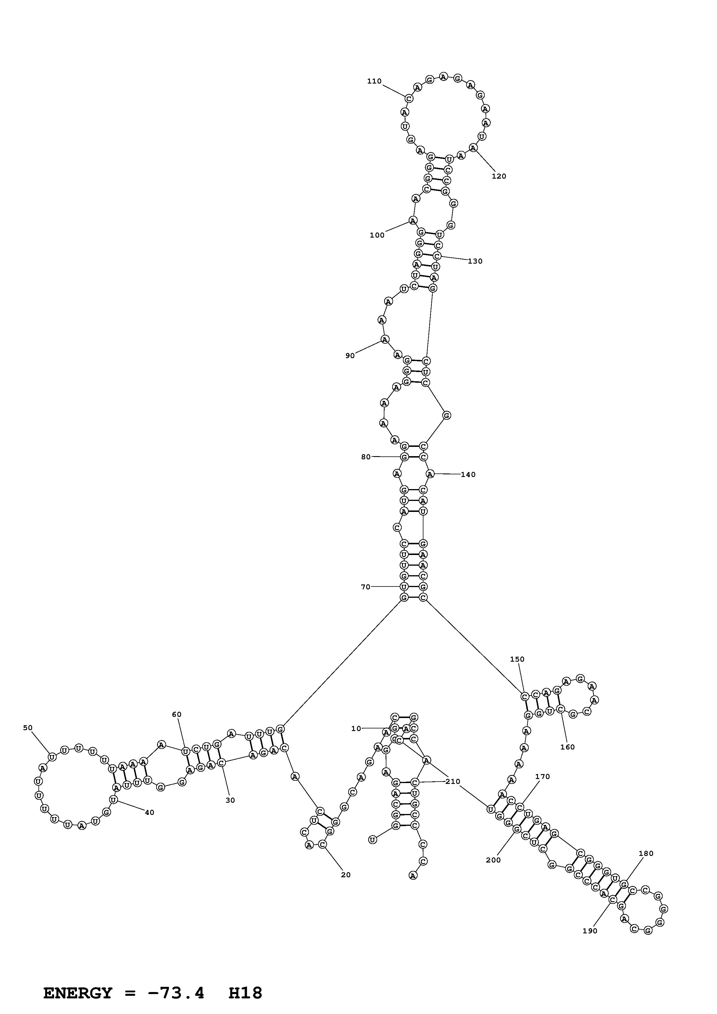
      Structure 3: PDF SVG PS JPEG PNG CT
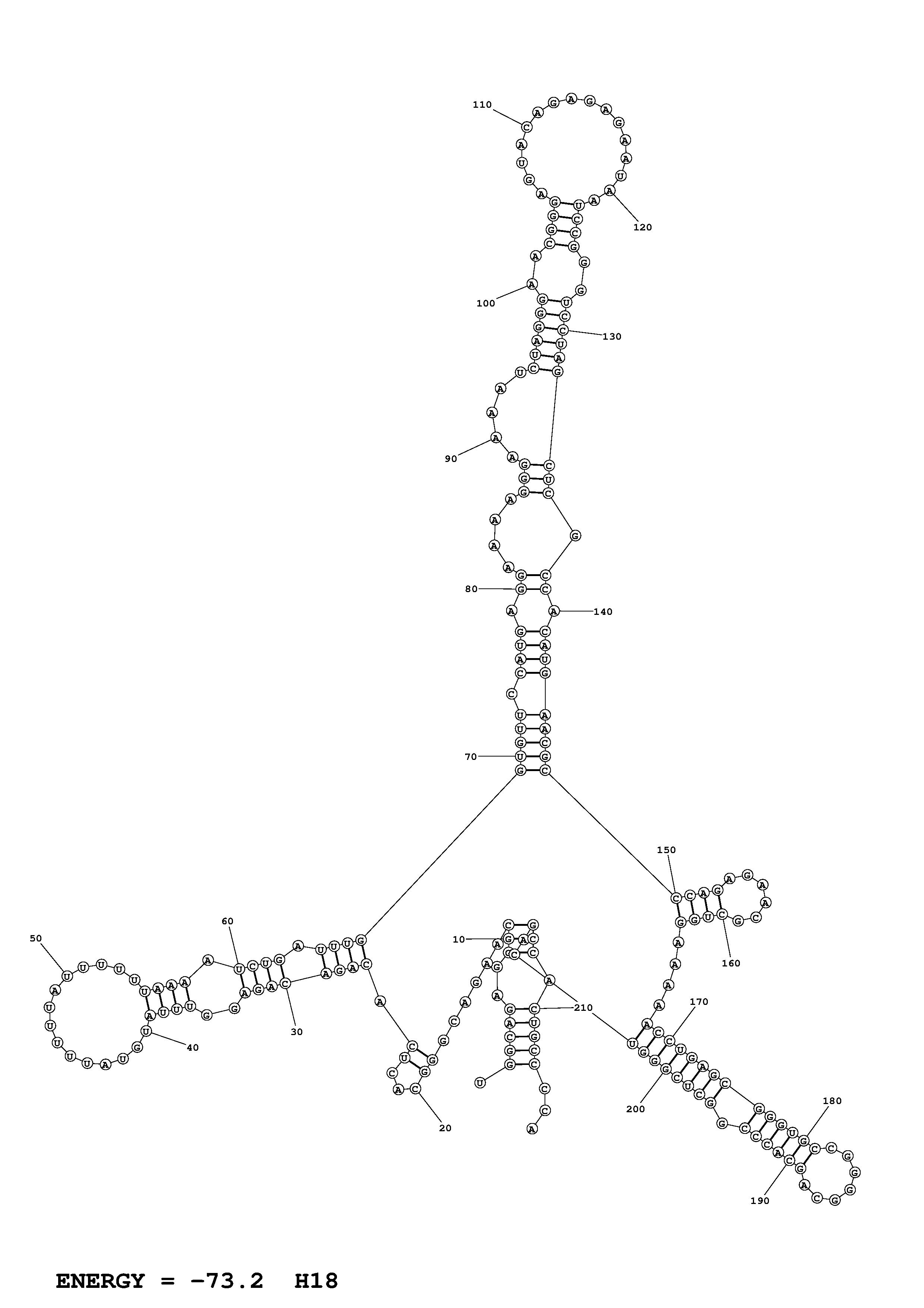
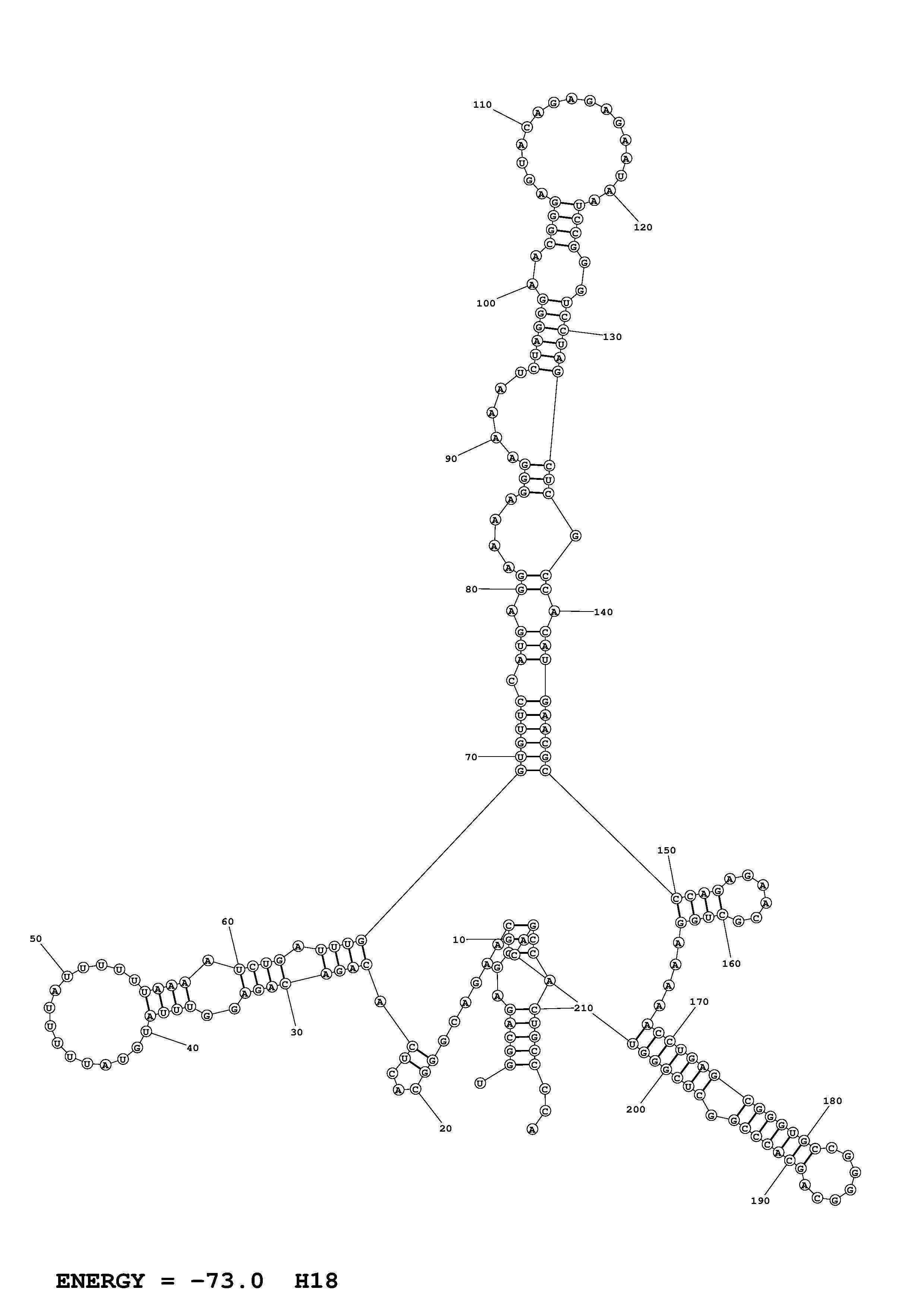
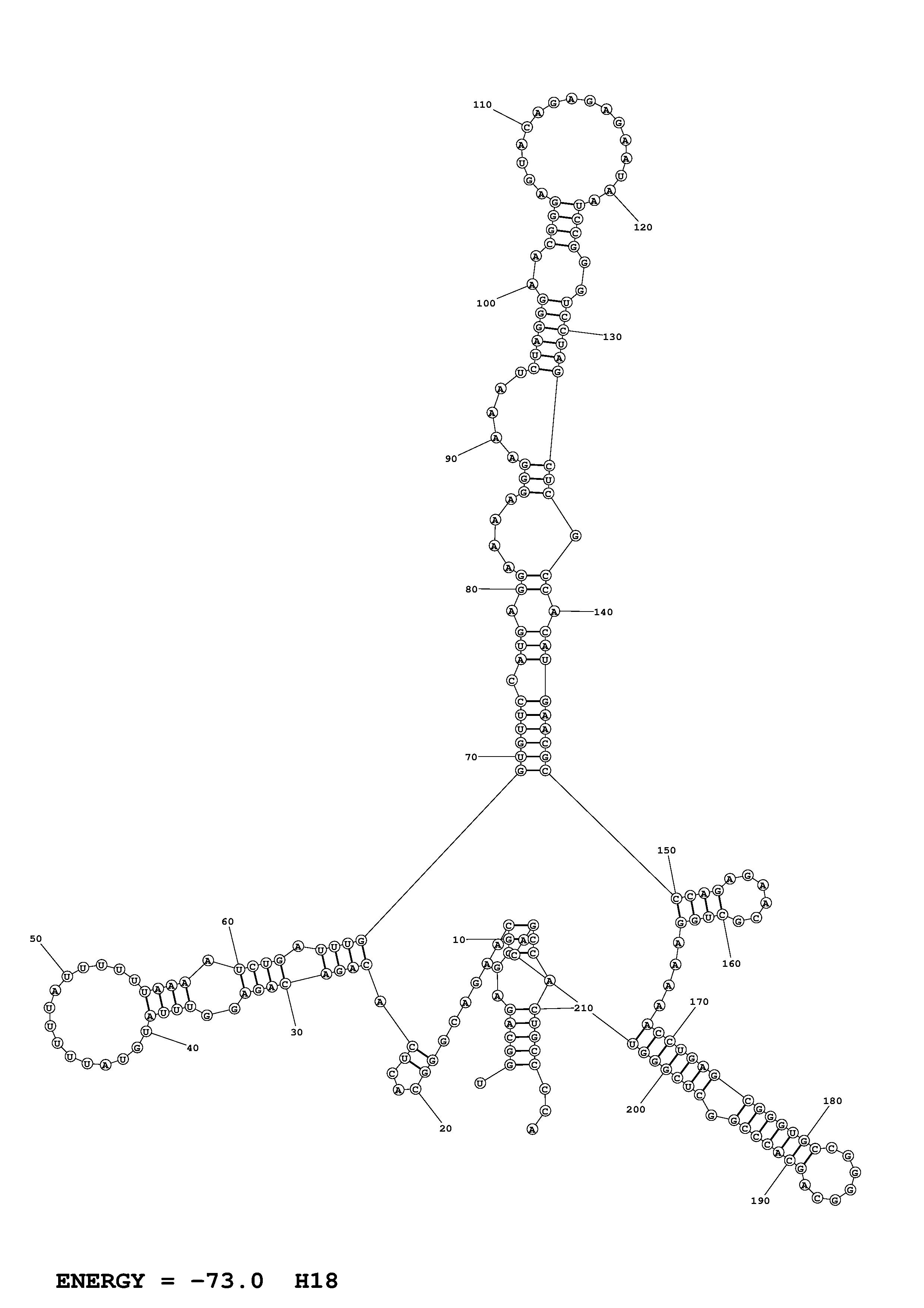
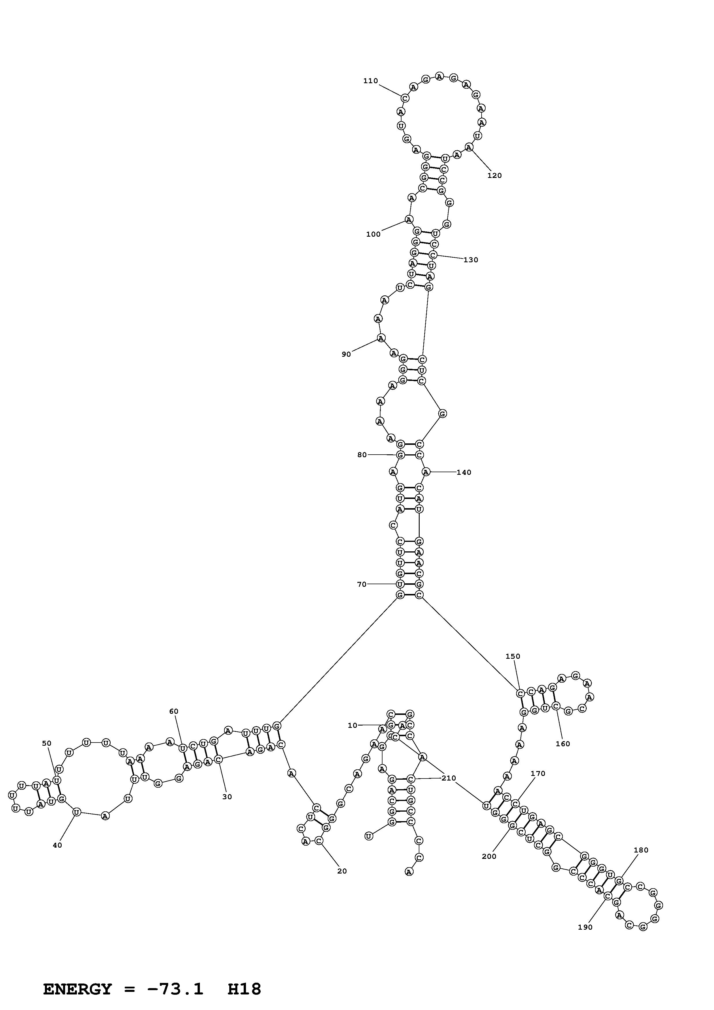
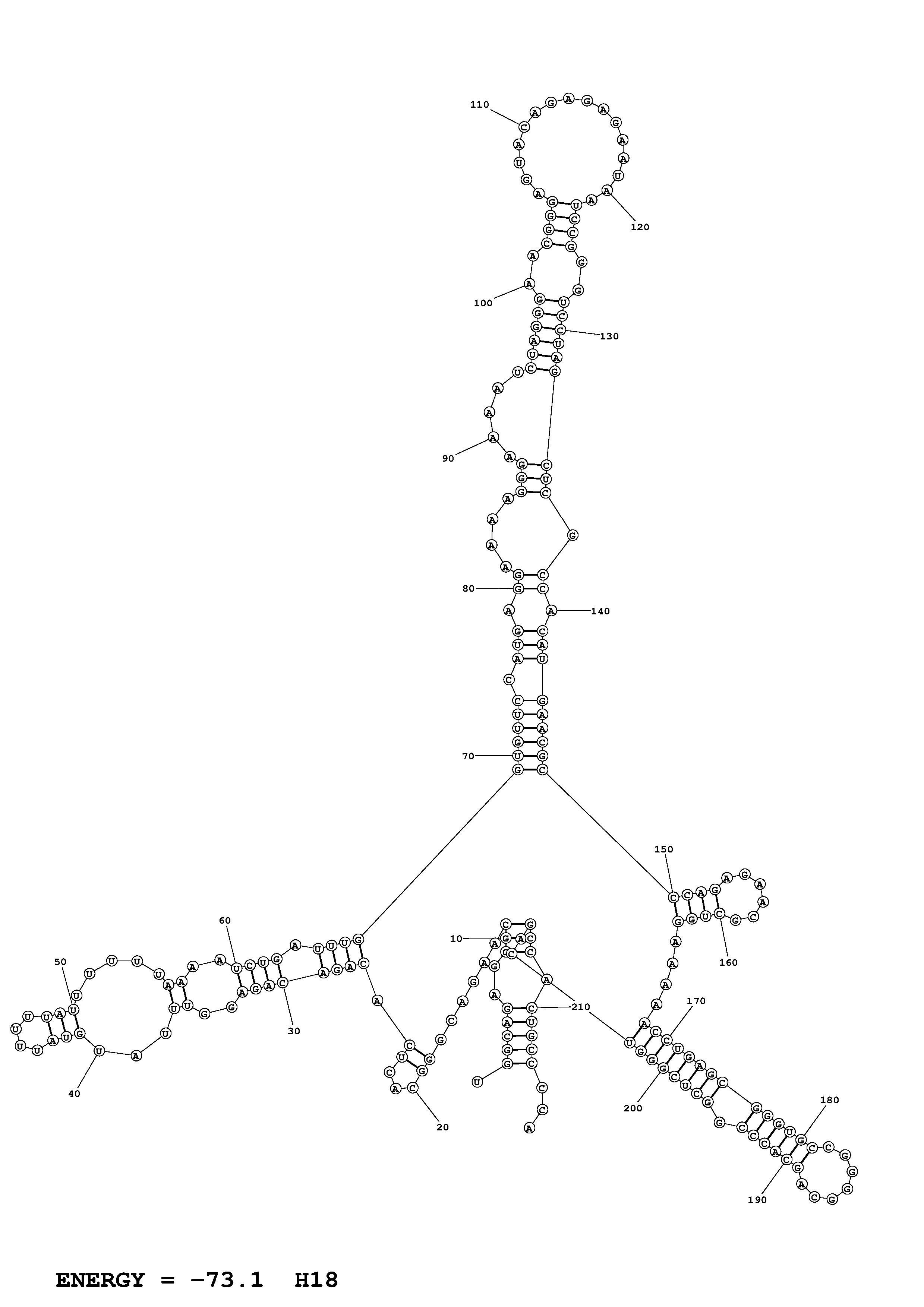
      Structure 4: PDF SVG PS JPEG PNG CT
      Structure 5: PDF SVG PS JPEG PNG CT
      Structure 6: PDF SVG PS JPEG PNG CT
      Structure 7: PDF SVG PS JPEG PNG CT
      Structure 8: PDF SVG PS JPEG PNG CT
      Structure 9: PDF SVG PS JPEG PNG CT
      Structure 10: PDF SVG PS JPEG PNG CT
      Structure 11: PDF SVG PS JPEG PNG CT
      Structure 12: PDF SVG PS JPEG PNG CT
      Structure 13: PDF SVG PS JPEG PNG CT
      Structure 14: PDF SVG PS JPEG PNG CT
      Structure 15: PDF SVG PS JPEG PNG CT
      Structure 16: PDF SVG PS JPEG PNG CT
      Structure 17: PDF SVG PS JPEG PNG CT
      Structure 18: PDF SVG PS JPEG PNG CT
      Structure 19: PDF SVG PS JPEG PNG CT
      Structure 20: PDF SVG PS JPEG PNG CT
      Structure 21: PDF SVG PS JPEG PNG CT
      Structure 22: PDF SVG PS JPEG PNG CT
      Structure 23: PDF SVG PS JPEG PNG CT
      Structure 24: PDF SVG PS JPEG PNG CT
      Structure 25: PDF SVG PS JPEG PNG CT
      Structure 26: PDF SVG PS JPEG PNG CT
      Structure 27: PDF SVG PS JPEG PNG CT
      Structure 28: PDF SVG PS JPEG PNG CT
      Structure 29: PDF SVG PS JPEG PNG CT
      Structure 30: PDF SVG PS JPEG PNG CT
      Structure 31: PDF SVG PS JPEG PNG CT
      Structure 32: PDF SVG PS JPEG PNG CT
      Structure 33: PDF SVG PS JPEG PNG CT
      Structure 34: PDF SVG PS JPEG PNG CT
      Structure 35: PDF SVG PS JPEG PNG CT
      Structure 36: PDF SVG PS JPEG PNG CT
      Structure 37: PDF SVG PS JPEG PNG CT
      Structure 38: PDF SVG PS JPEG PNG CT
      Structure 39: PDF SVG PS JPEG PNG CT
      Structure 40: PDF SVG PS JPEG PNG CT
      Structure 41: PDF SVG PS JPEG PNG CT
      Structure 42: PDF SVG PS JPEG PNG CT
      Structure 43: PDF SVG PS JPEG PNG CT
      Structure 44: PDF SVG PS JPEG PNG CT
      Structure 45: PDF SVG PS JPEG PNG CT
      Structure 46: PDF SVG PS JPEG PNG CT
      Structure 47: PDF SVG PS JPEG PNG CT
      Structure 48: PDF SVG PS JPEG PNG CT
      Structure 49: PDF SVG PS JPEG PNG CT
      Structure 50: PDF SVG PS JPEG PNG CT
      Structure 51: PDF SVG PS JPEG PNG CT
      Structure 52: PDF SVG PS JPEG PNG CT
      Structure 53: PDF SVG PS JPEG PNG CT
      Structure 54: PDF SVG PS JPEG PNG CT
      Structure 55: PDF SVG PS JPEG PNG CT
      Structure 56: PDF SVG PS JPEG PNG CT
      Structure 57: PDF SVG PS JPEG PNG CT
      Structure 58: PDF SVG PS JPEG PNG CT
      Structure 59: PDF SVG PS JPEG PNG CT
      Structure 60: PDF SVG PS JPEG PNG CT
      Structure 61: PDF SVG PS JPEG PNG CT
      Structure 62: PDF SVG PS JPEG PNG CT
      Structure 63: PDF SVG PS JPEG PNG CT
      Structure 64: PDF SVG PS JPEG PNG CT

Command Line:
AllSub AllSub.fasta AllSub.ct --absolute 0.6 --percent 5 --temperature 310.15