RNAstructure AllSub Results
(Generate all possible low free energy structures for a nucleic acid sequence.)


Download All Structures: PDF PS CT
Download Individual Structures:
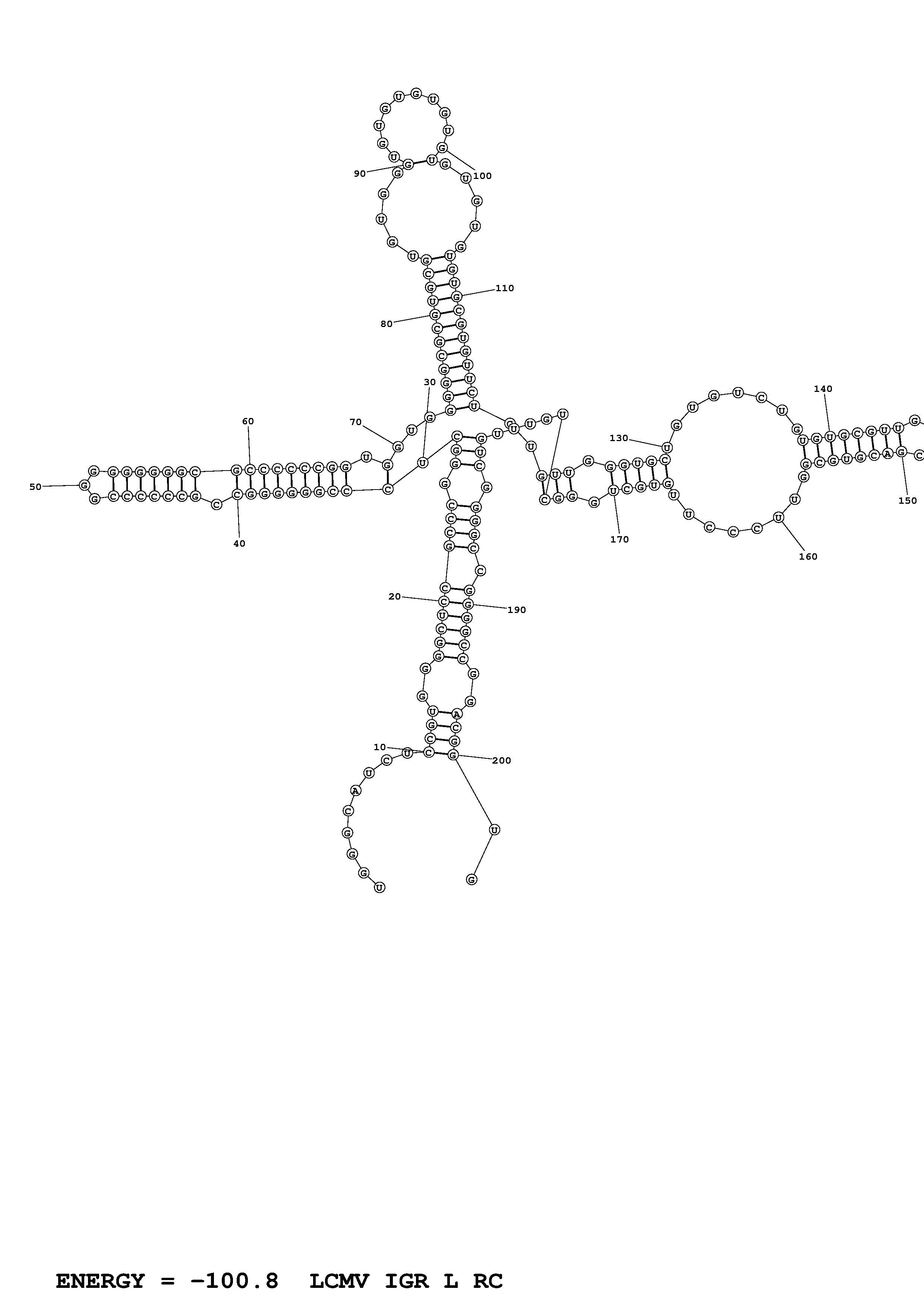
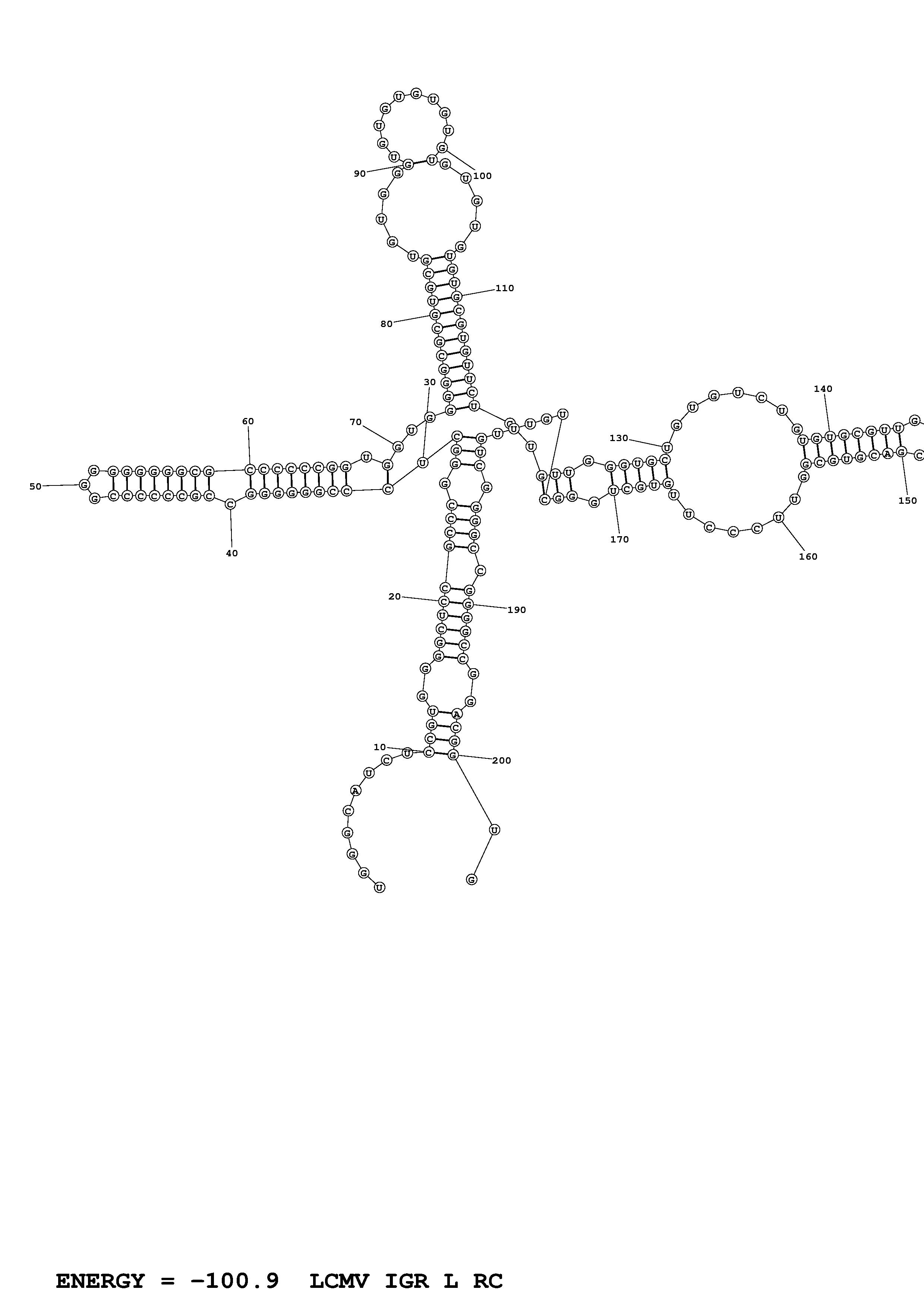
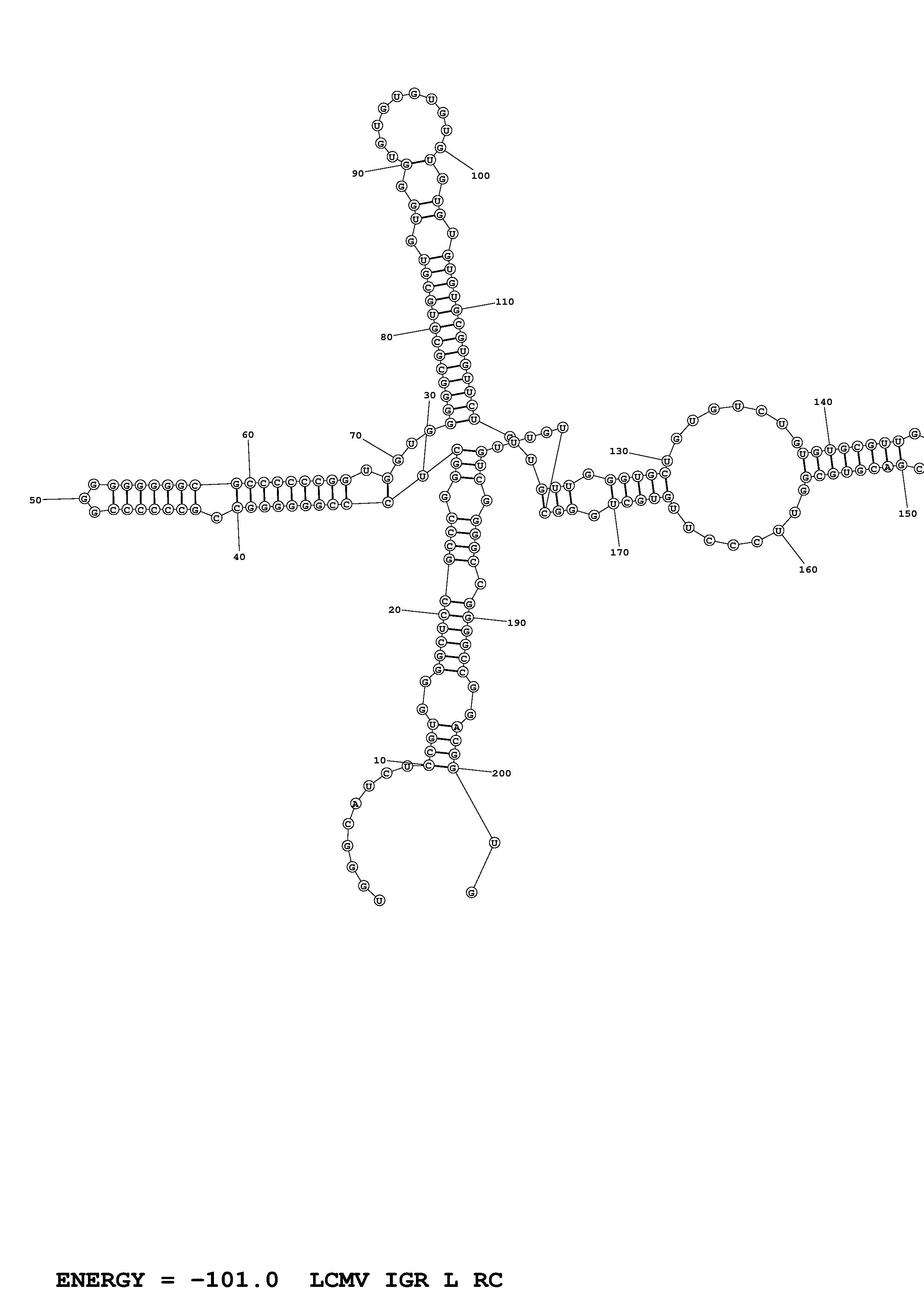
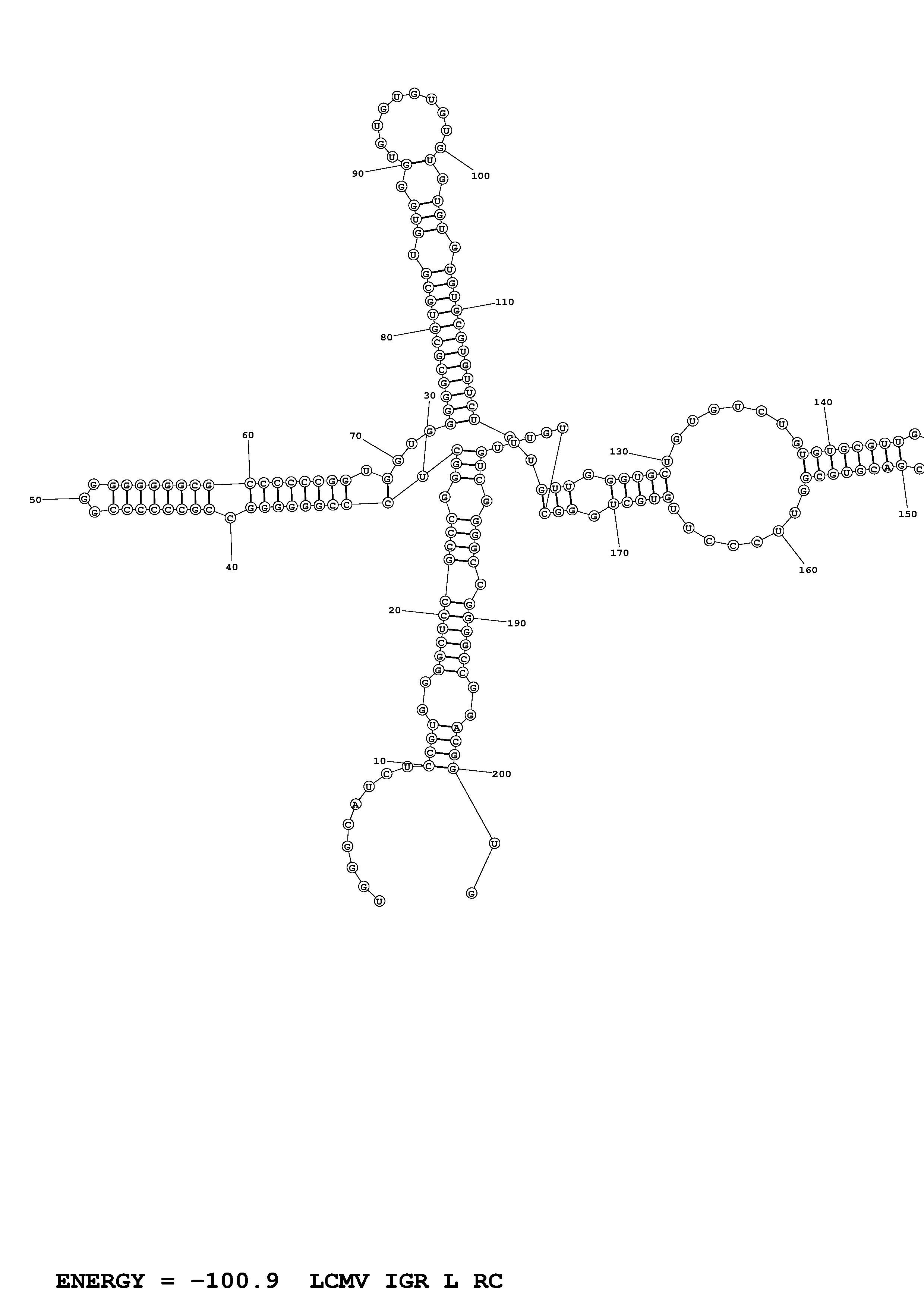
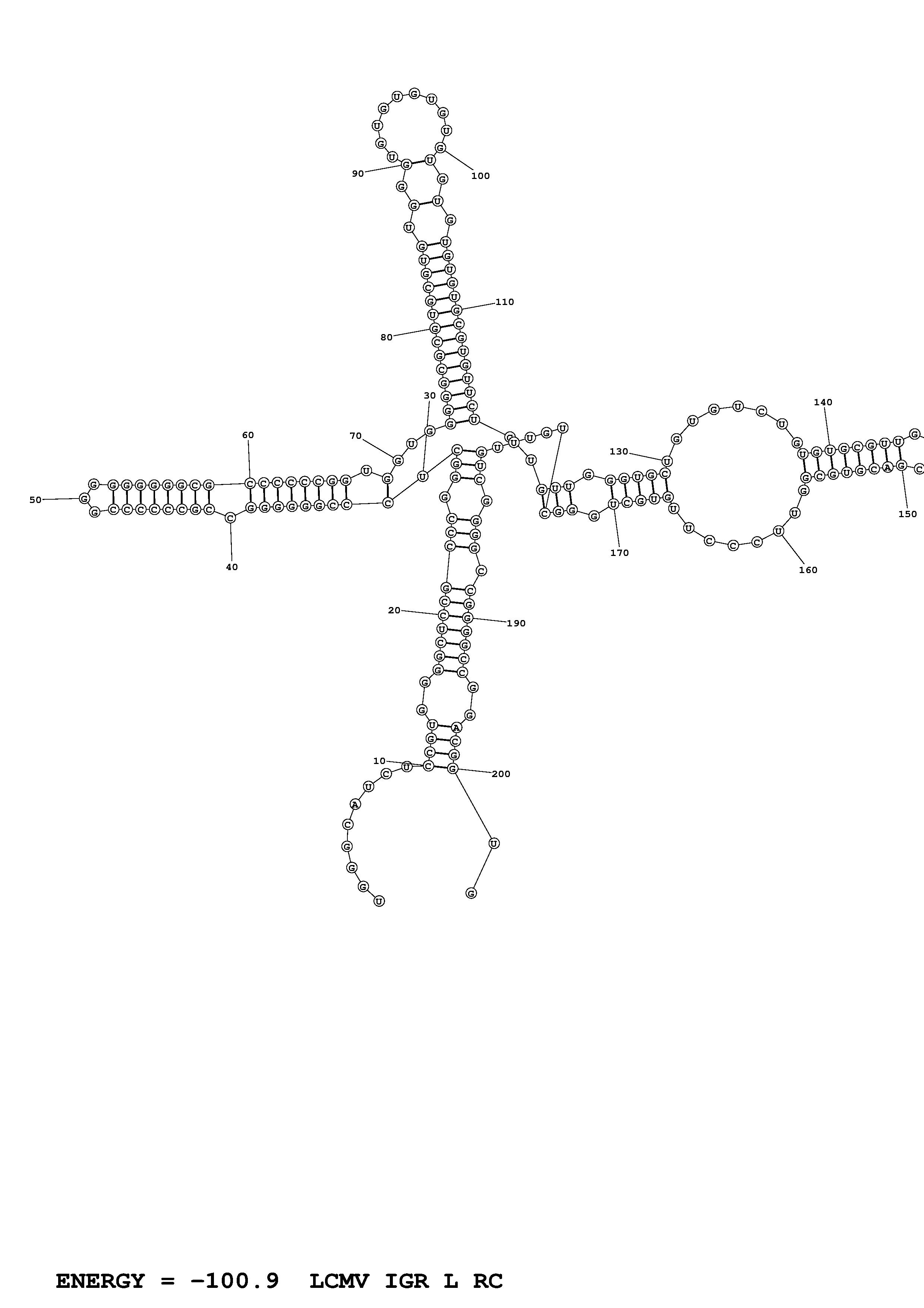
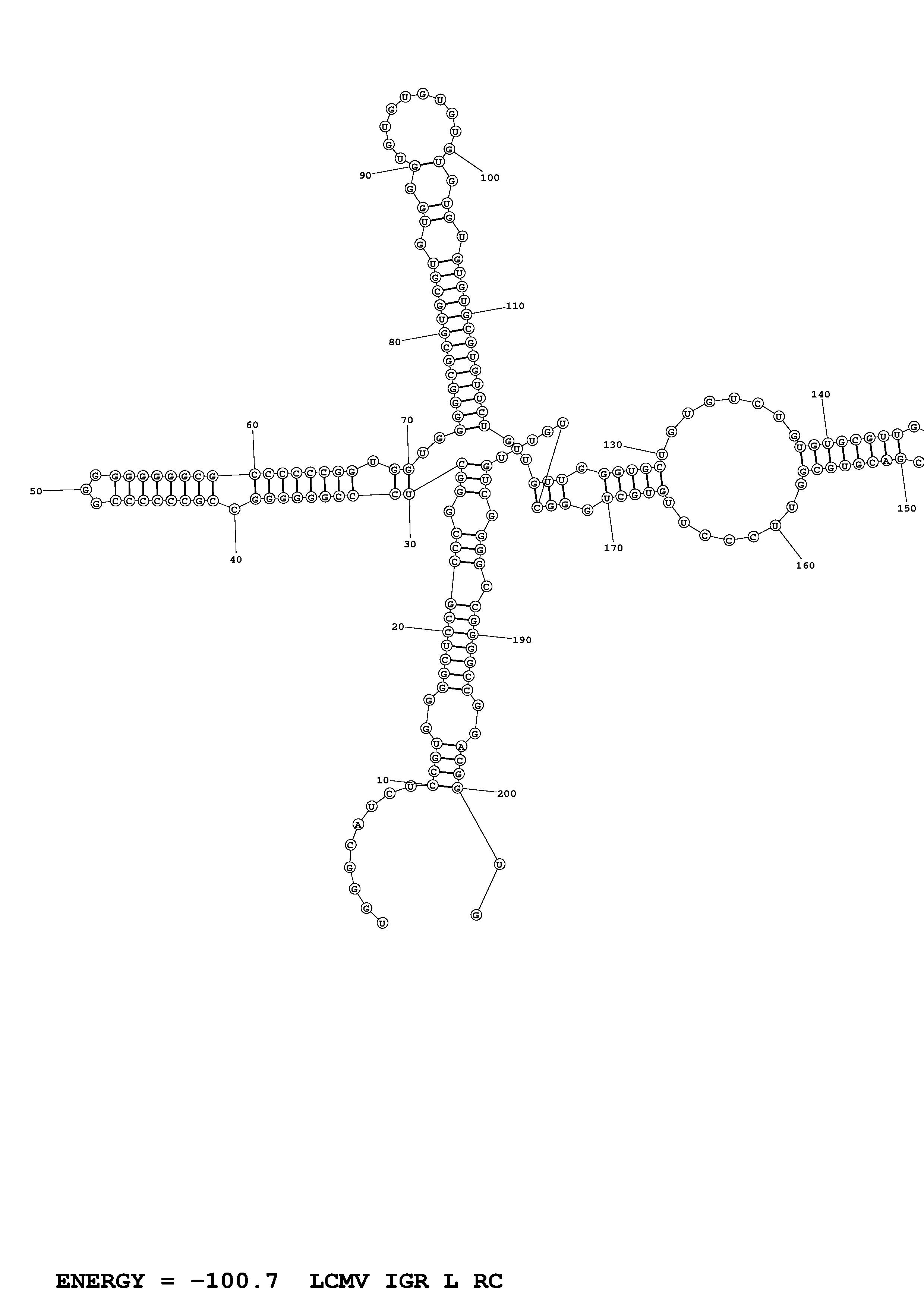
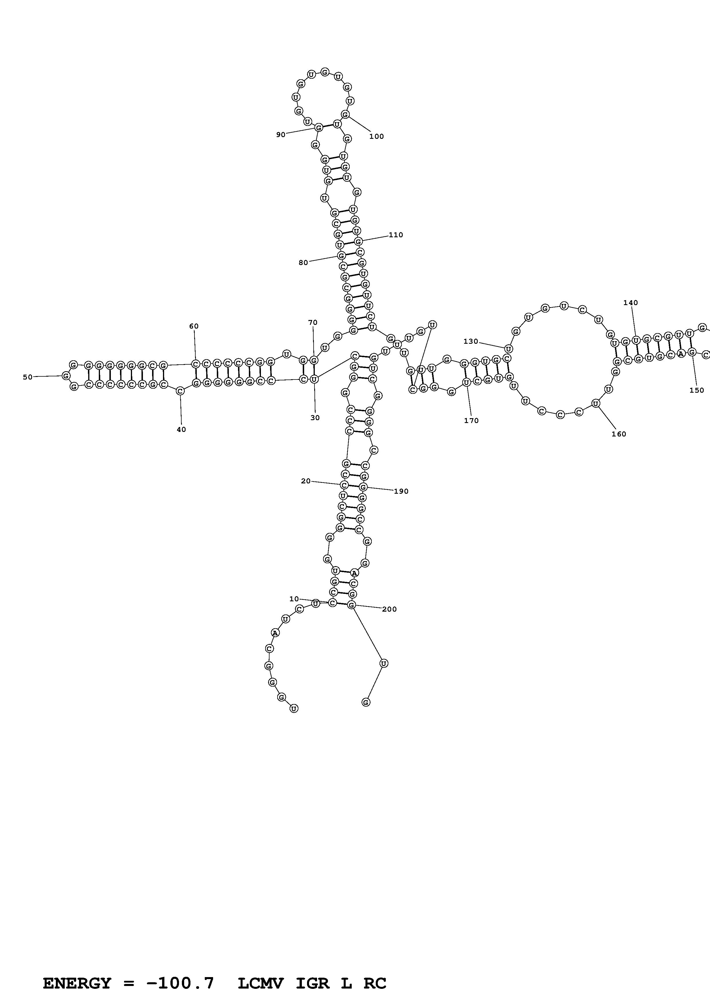
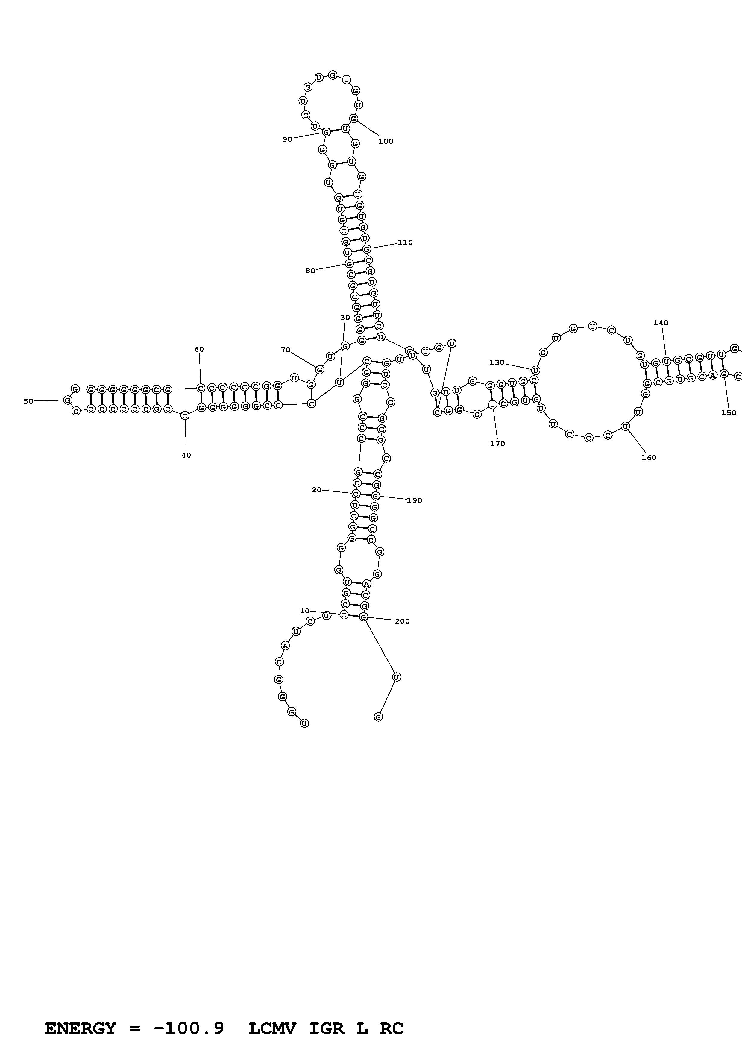
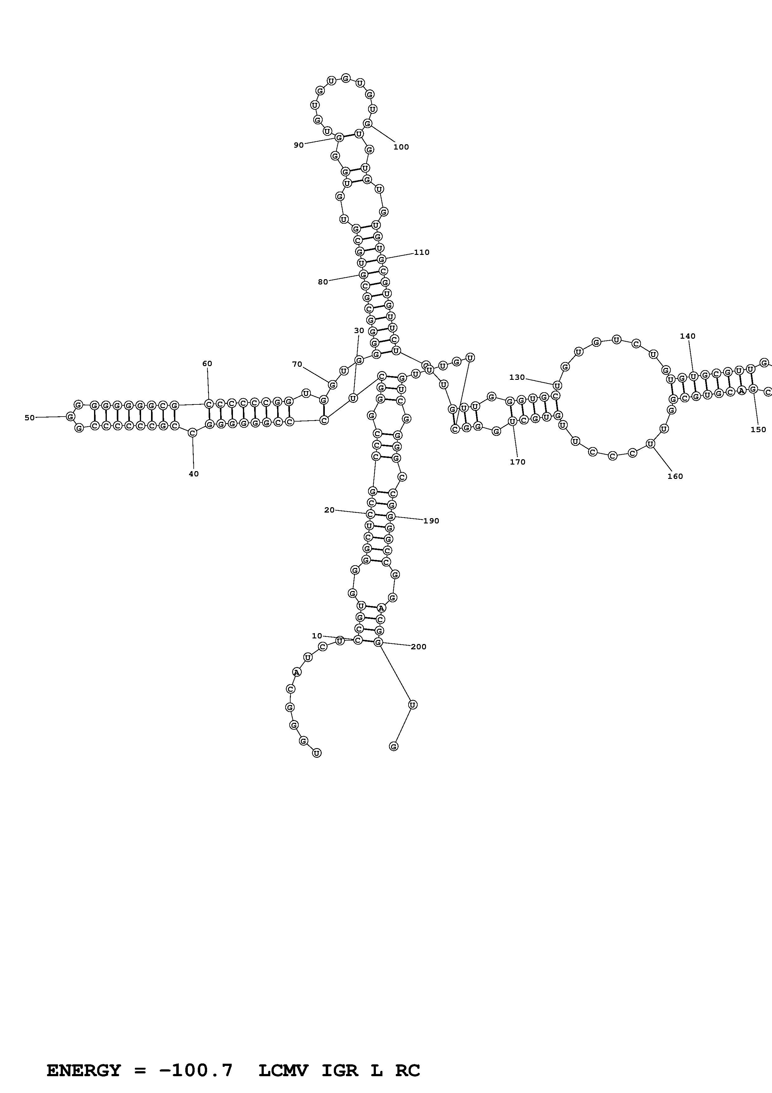
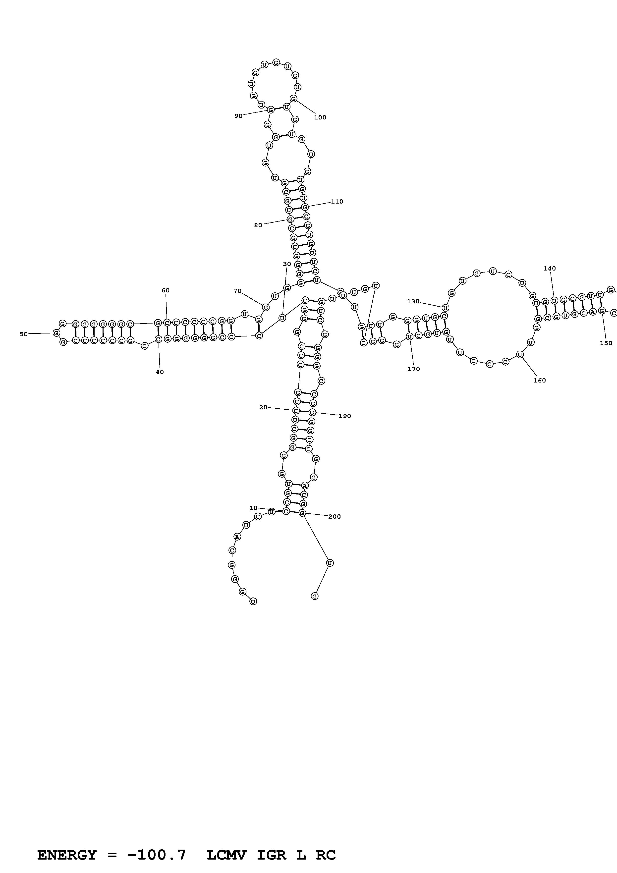
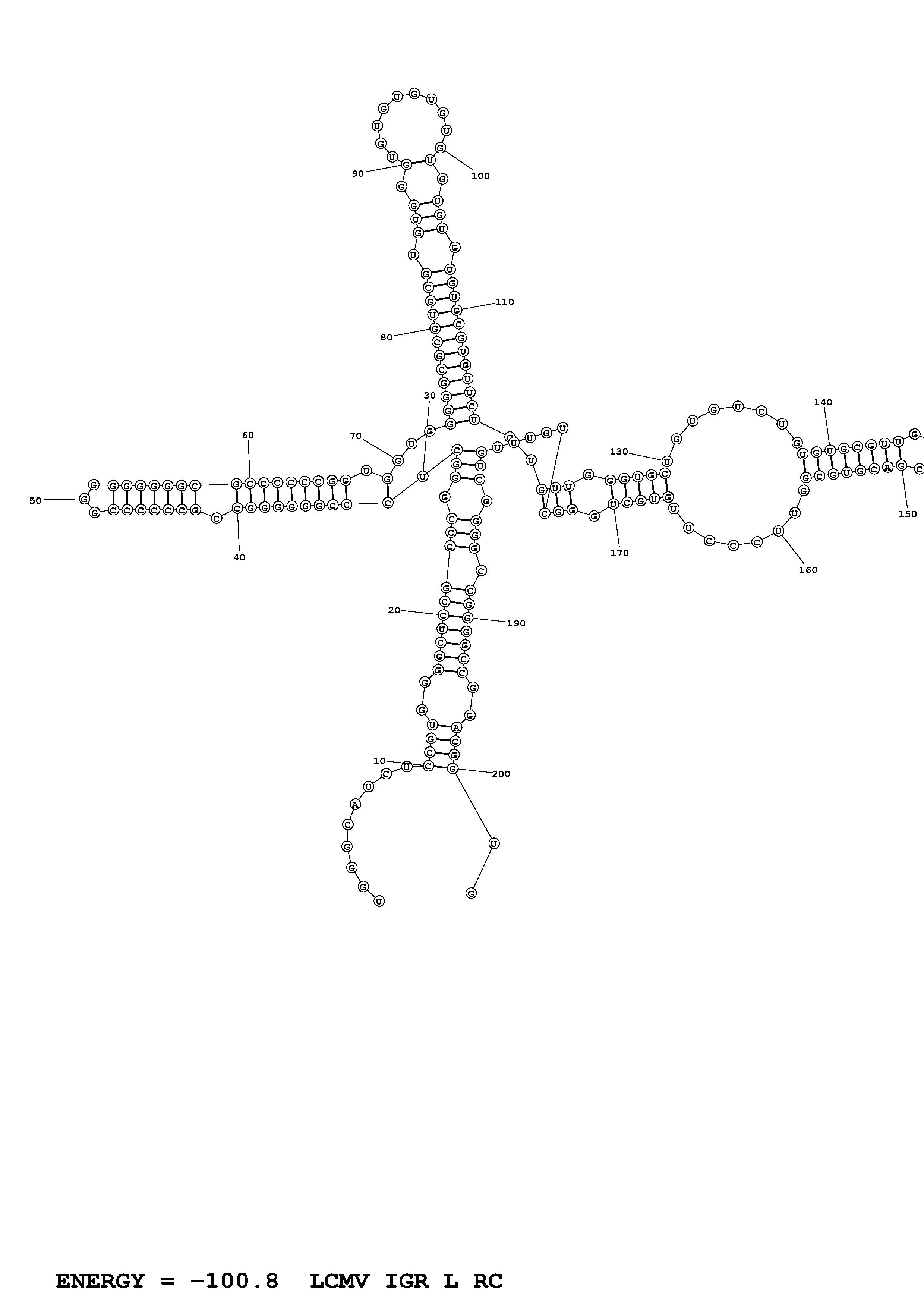
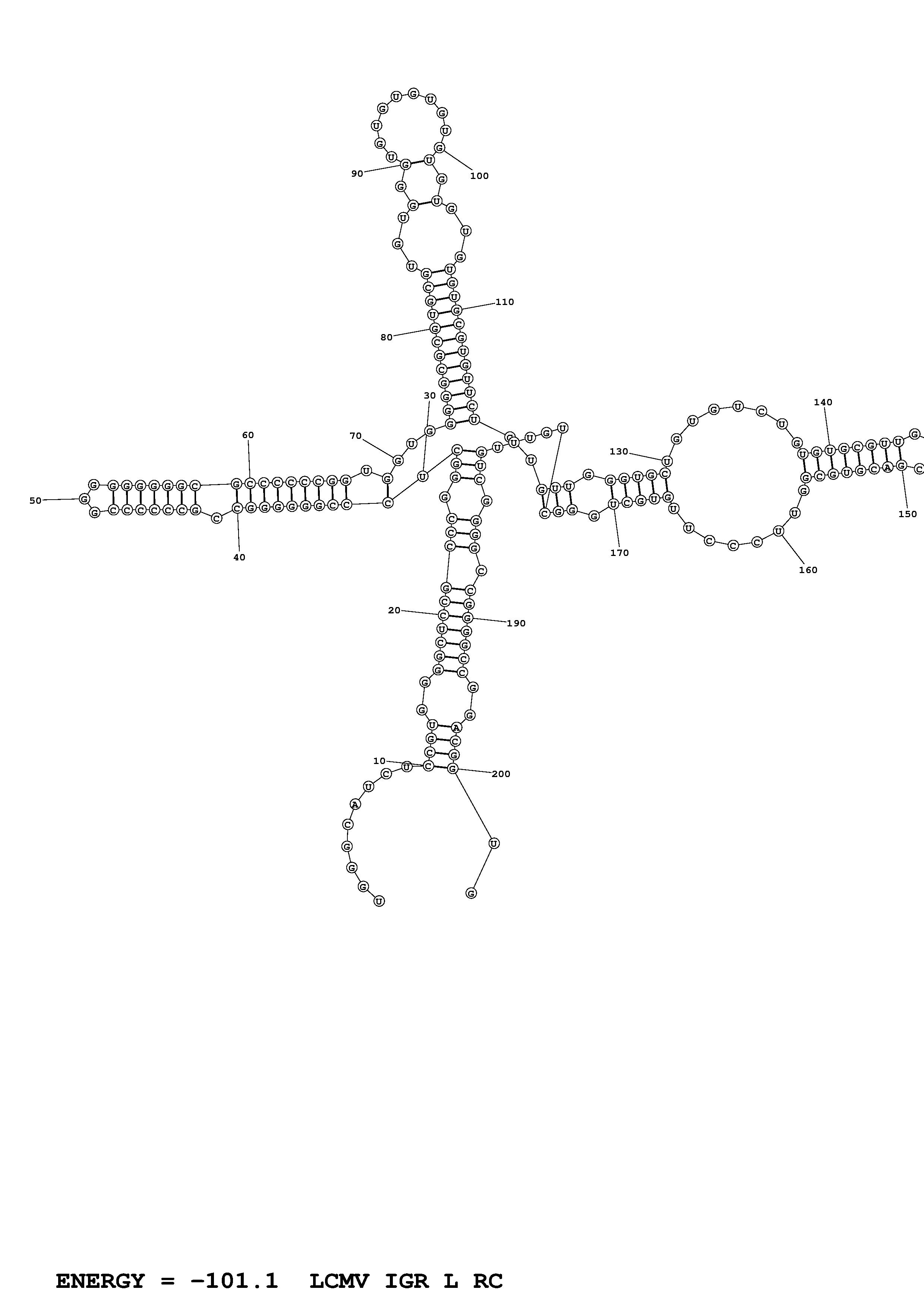
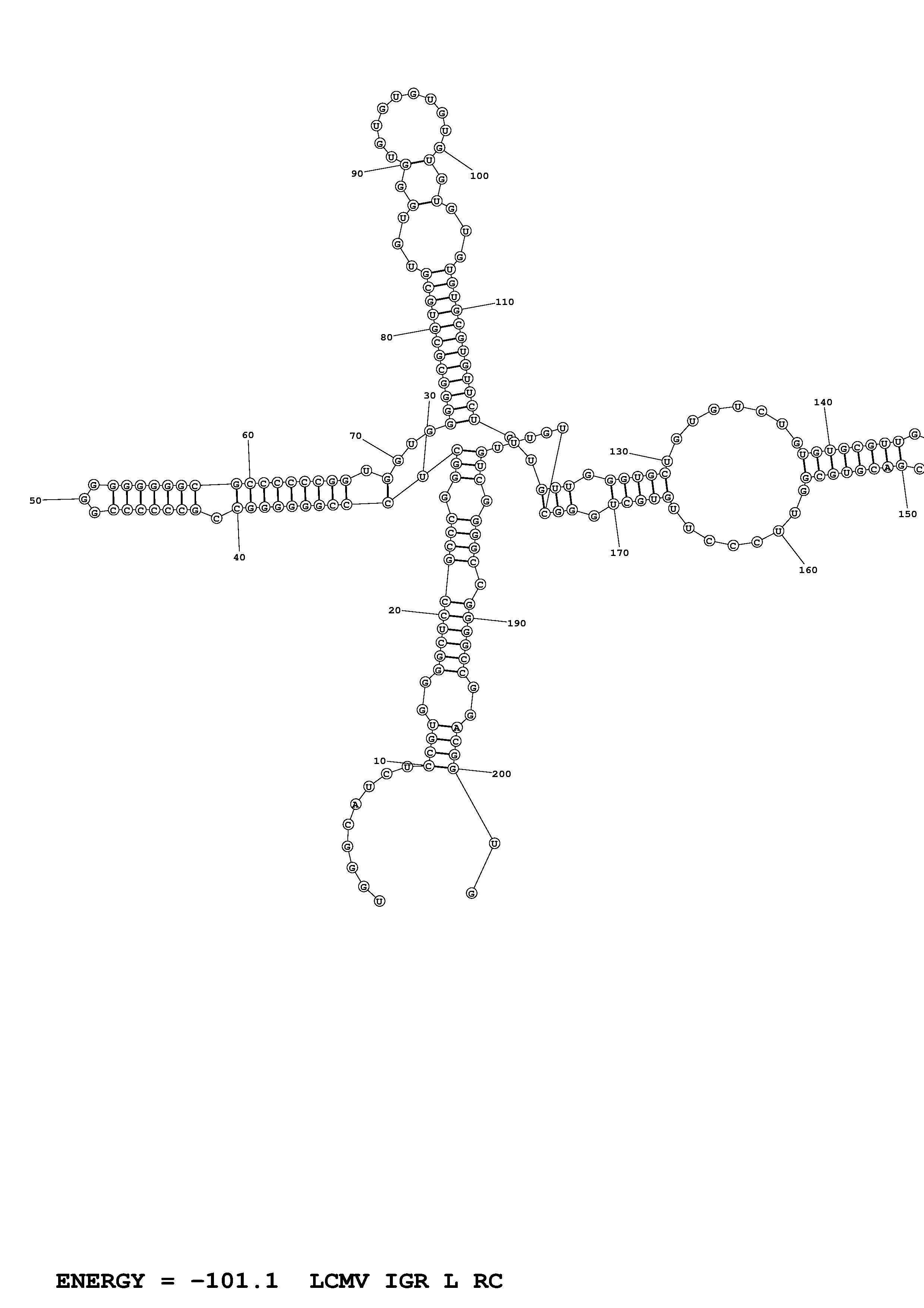
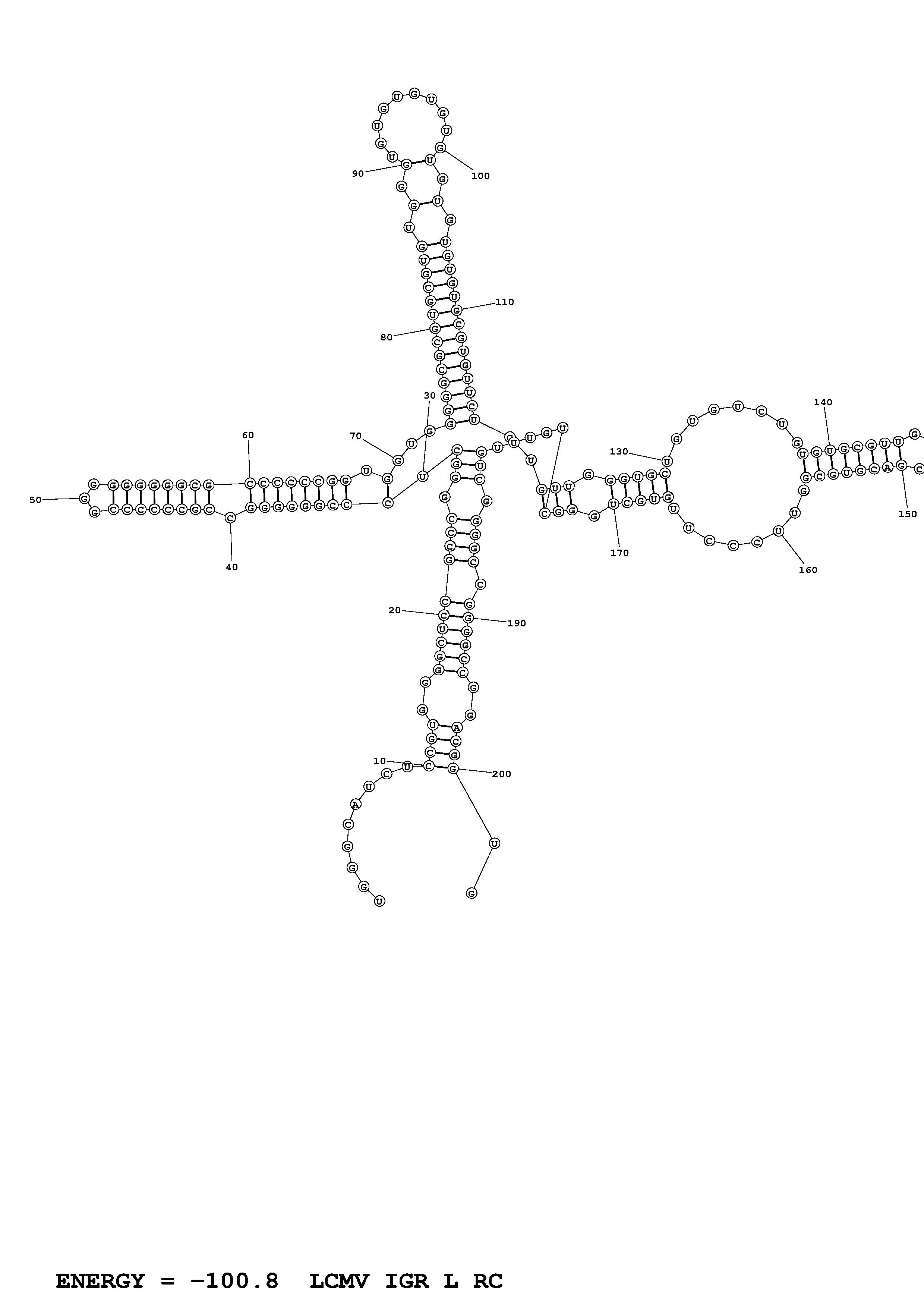
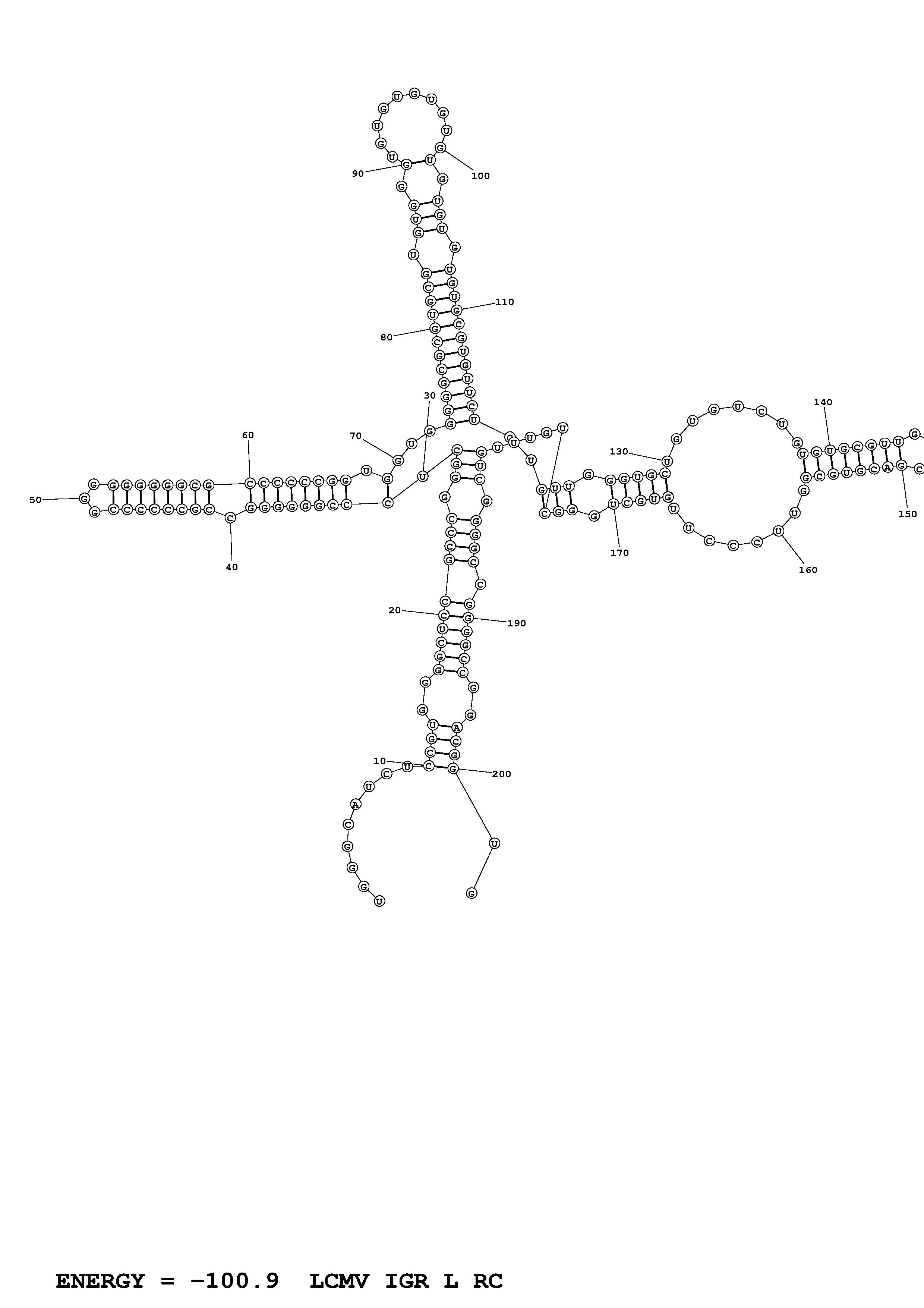
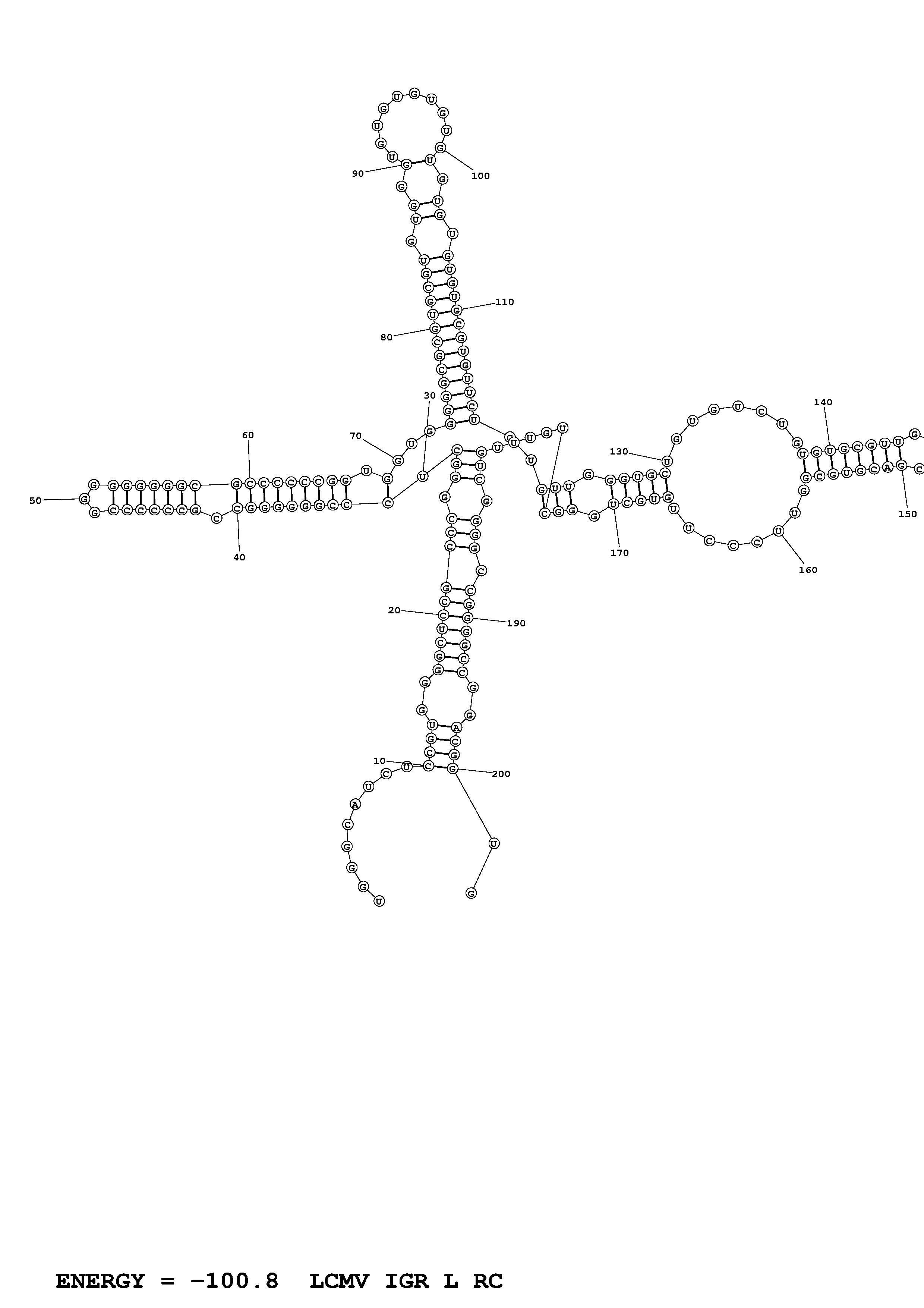
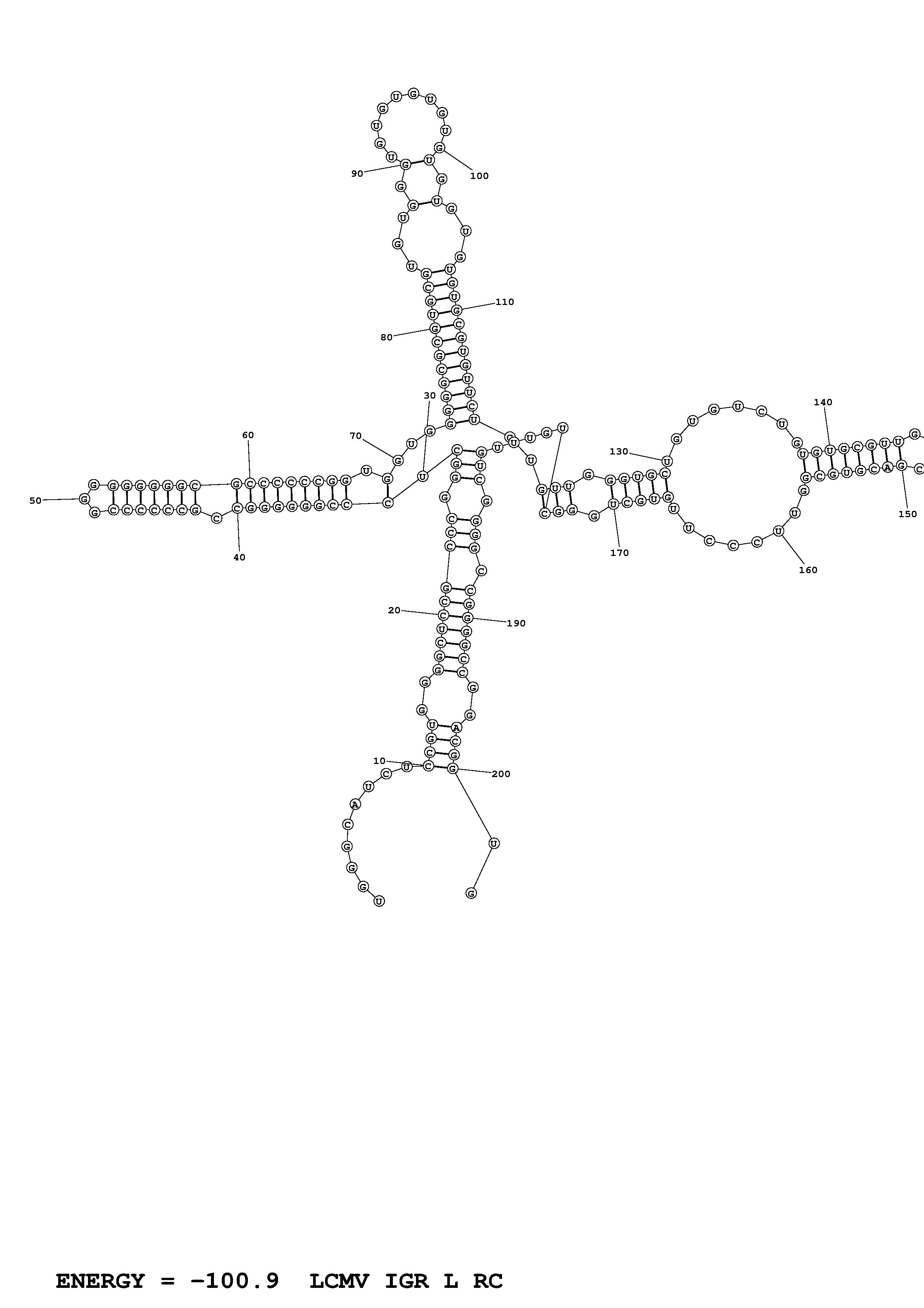
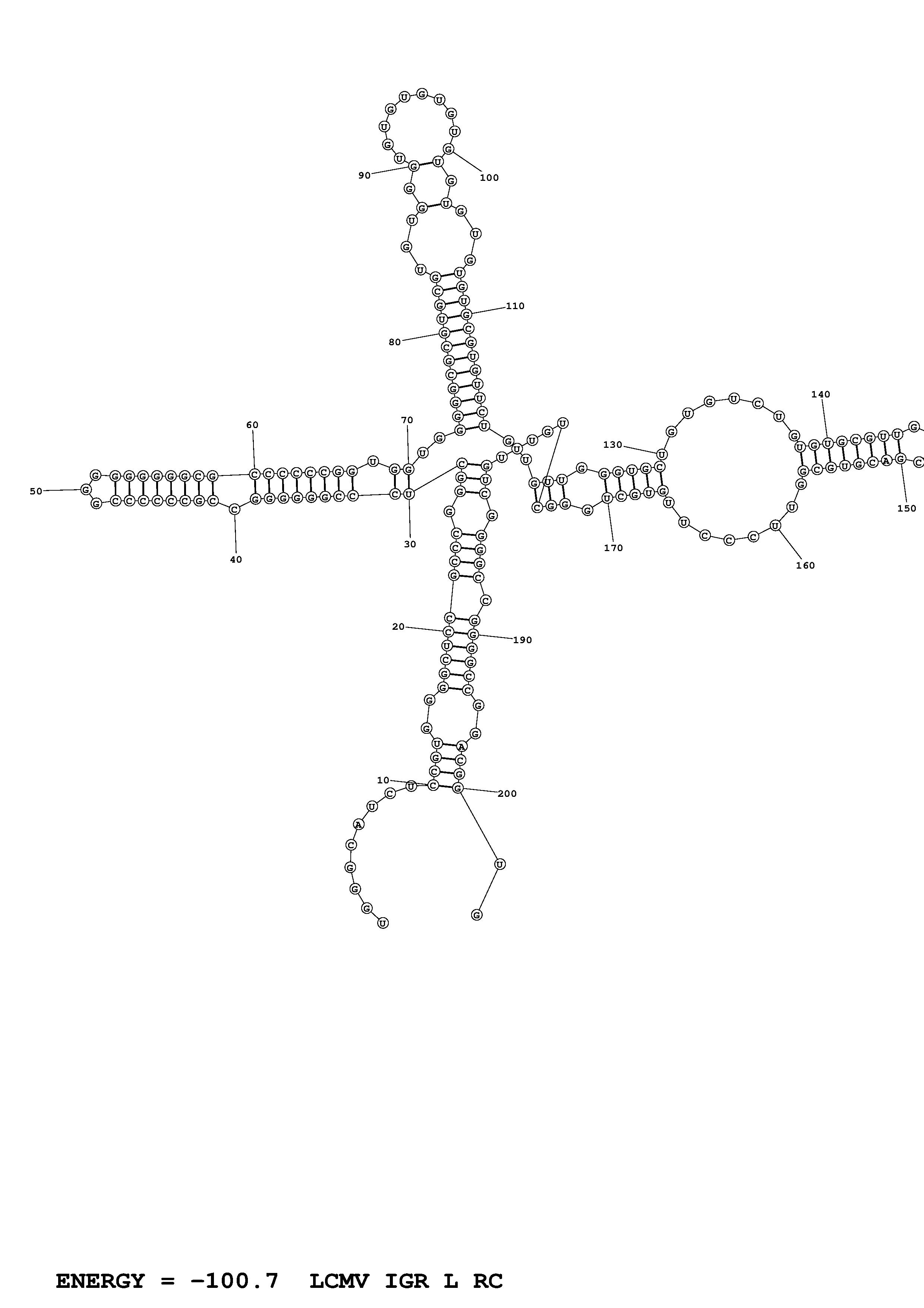
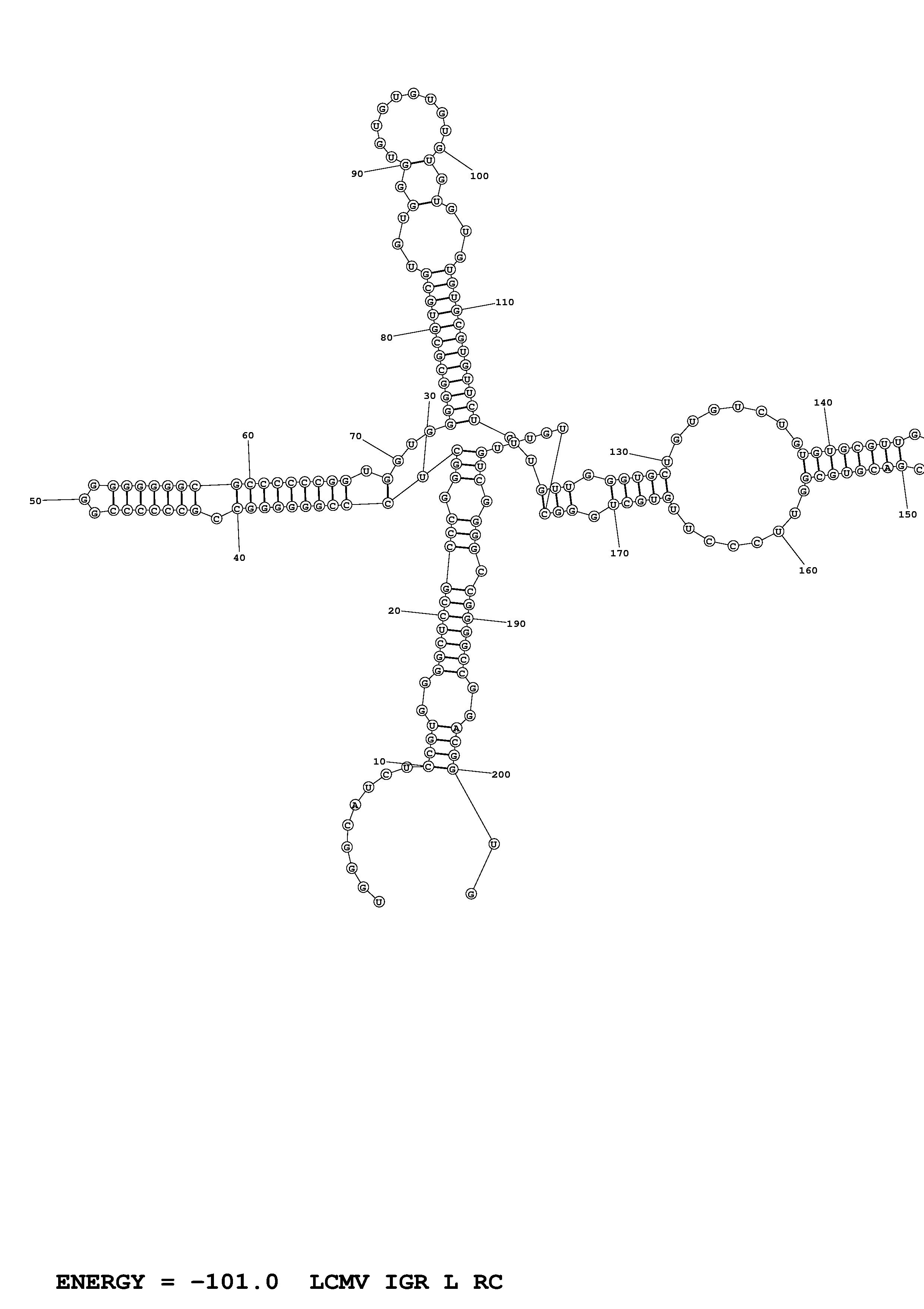
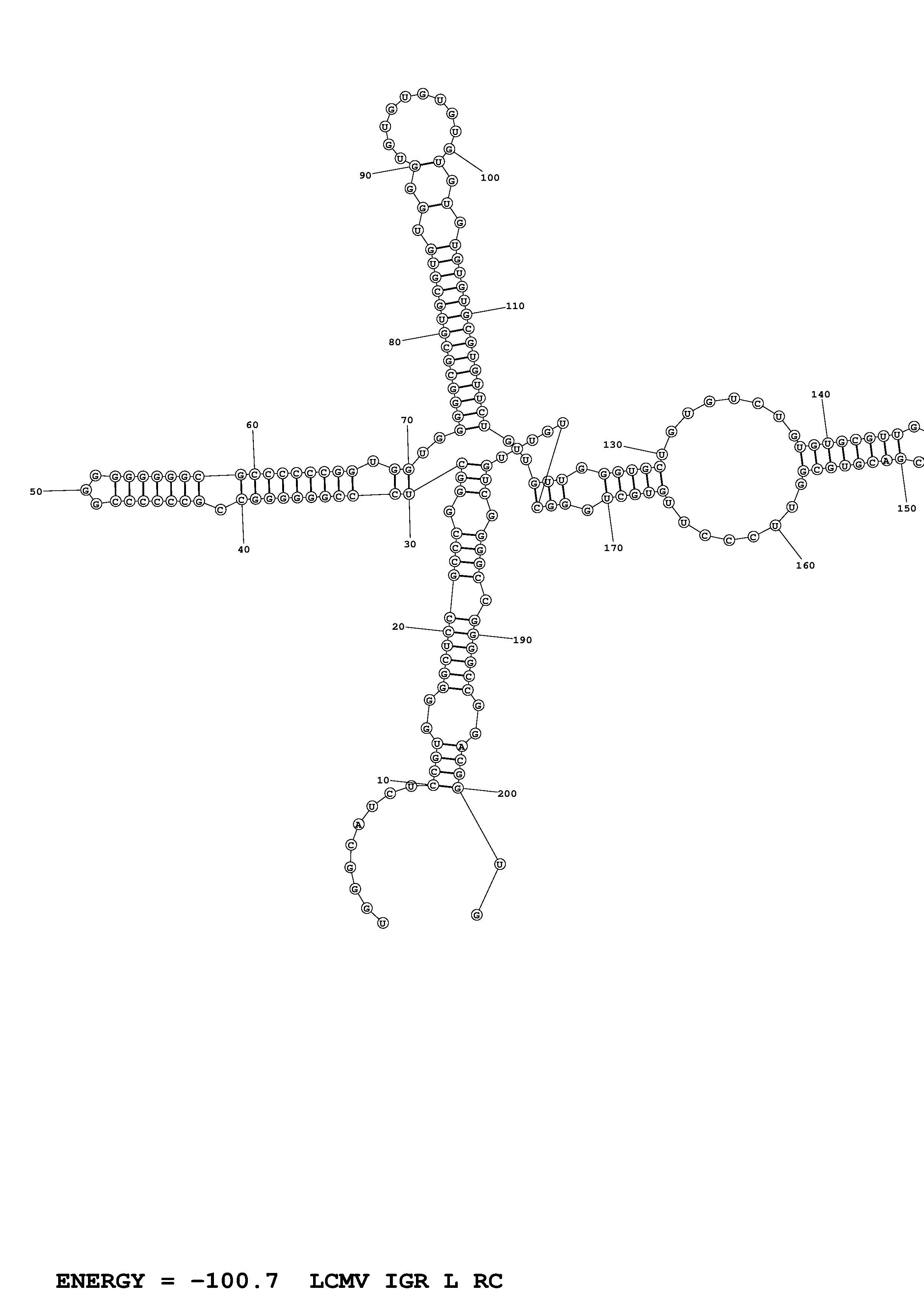
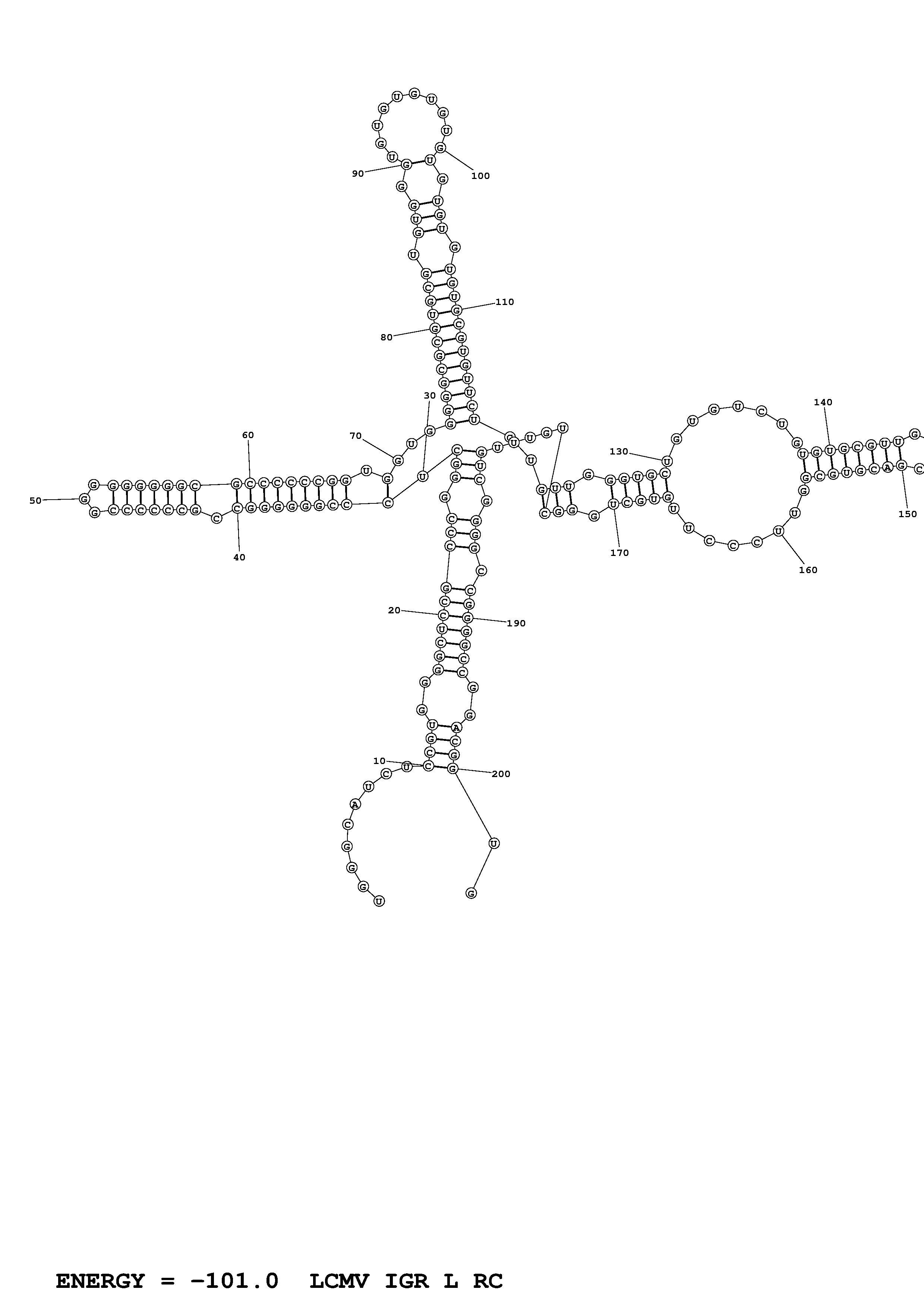
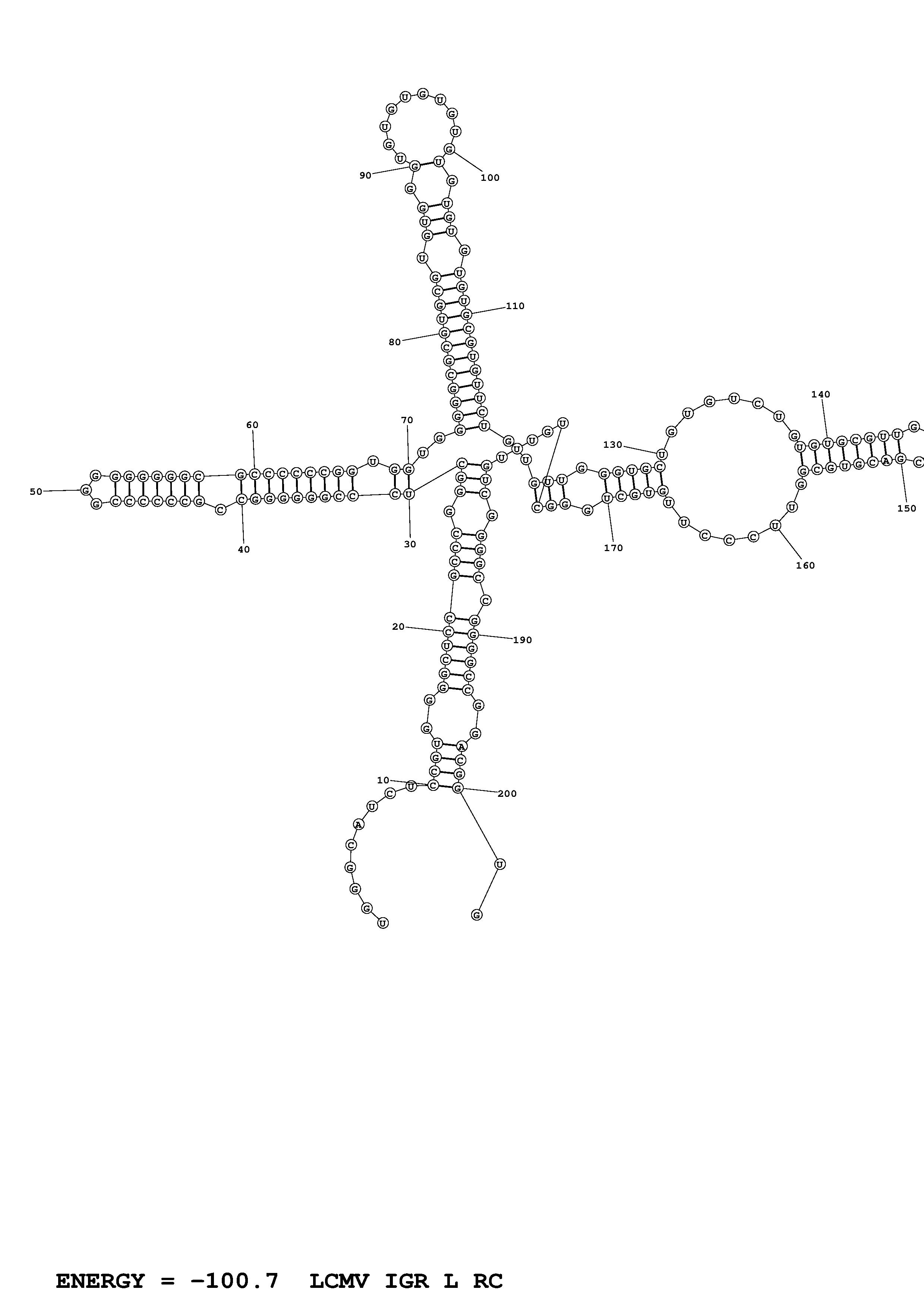
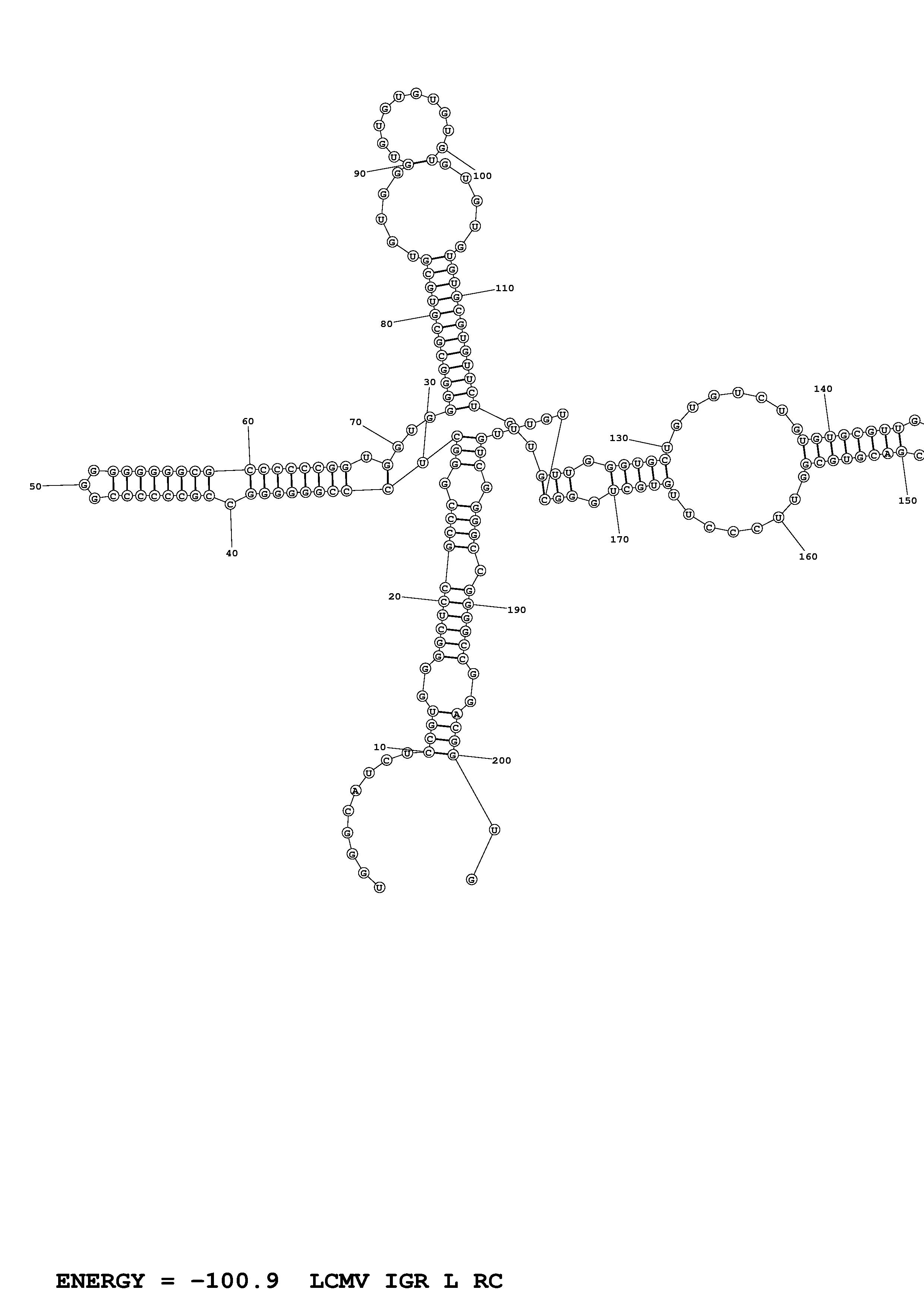
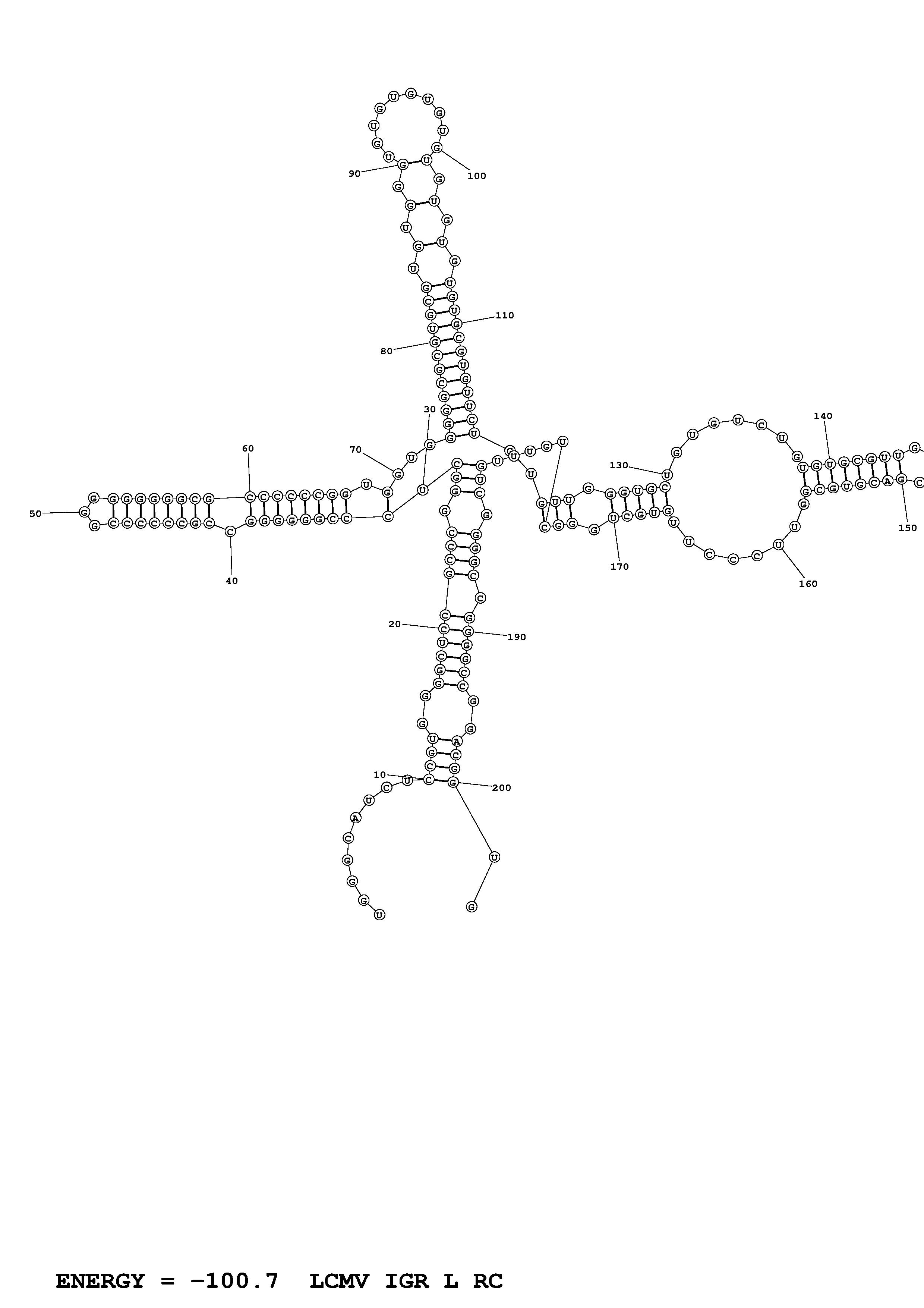
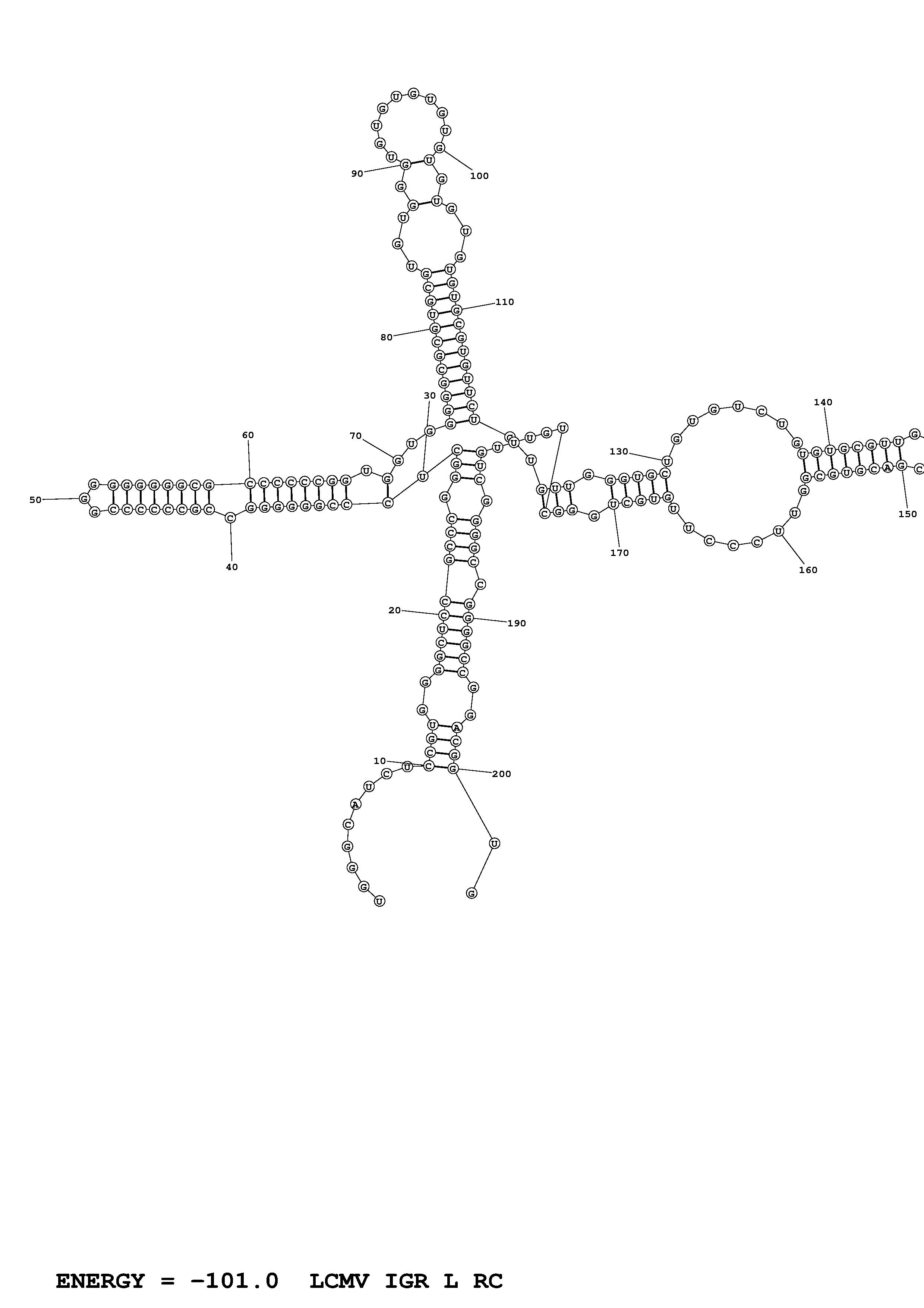
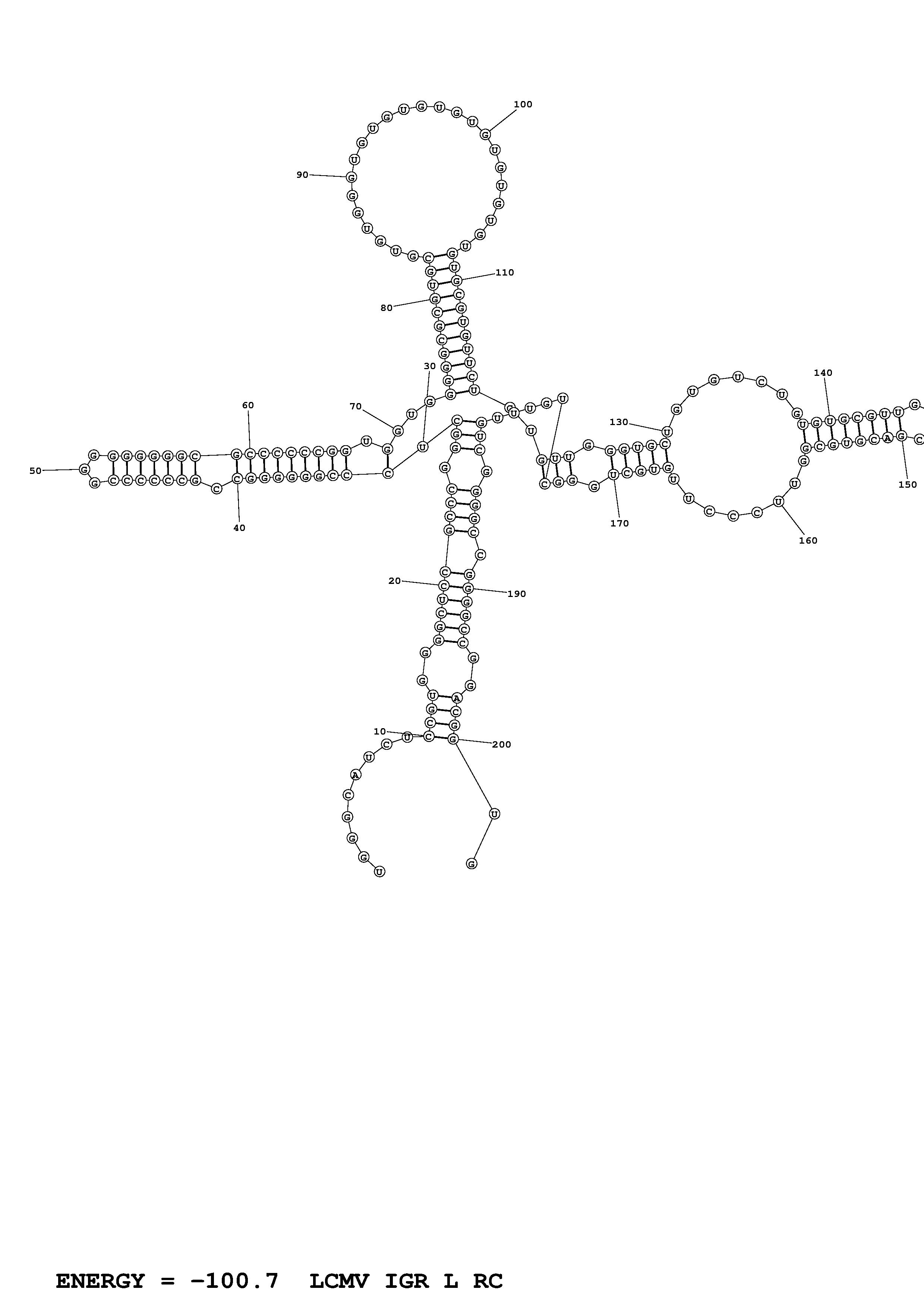
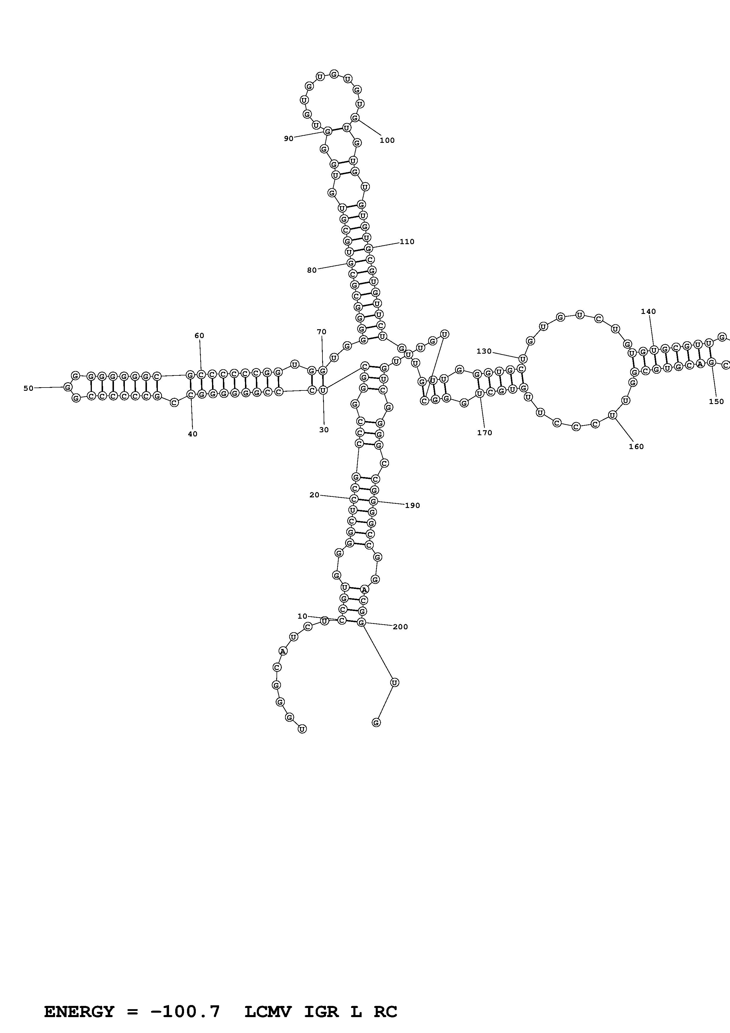
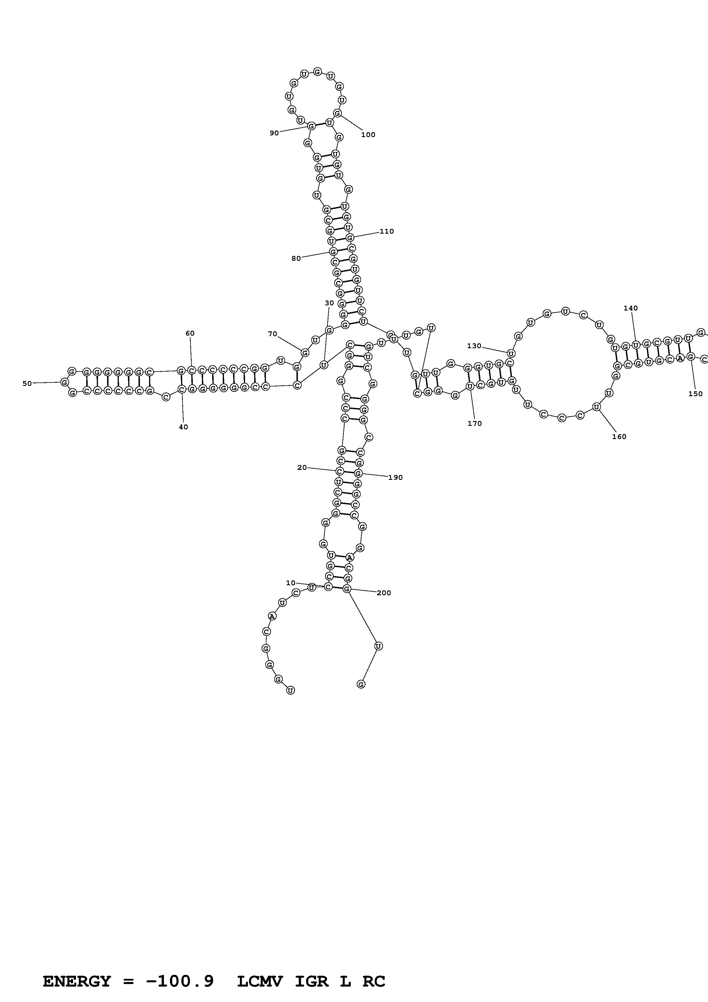
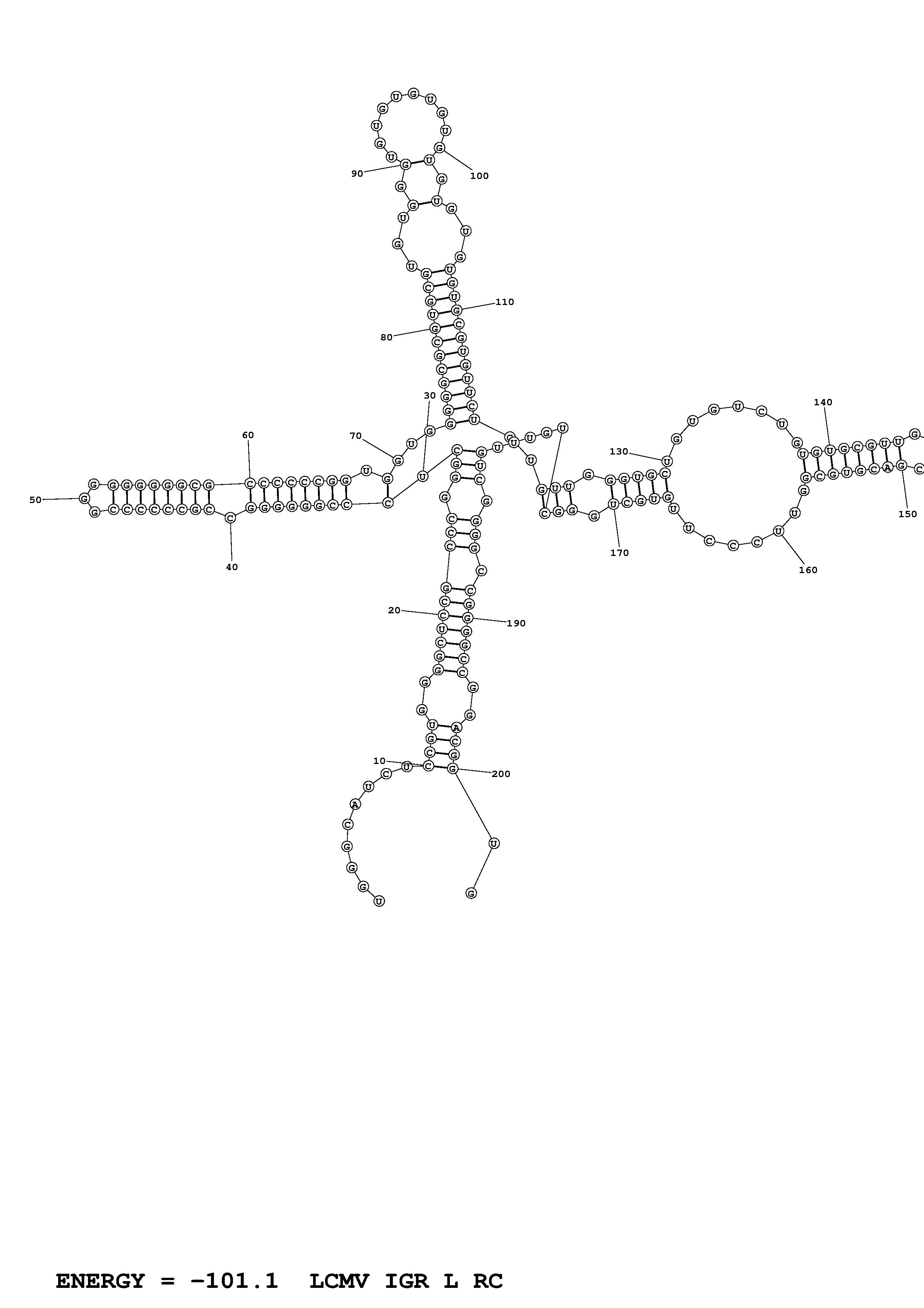
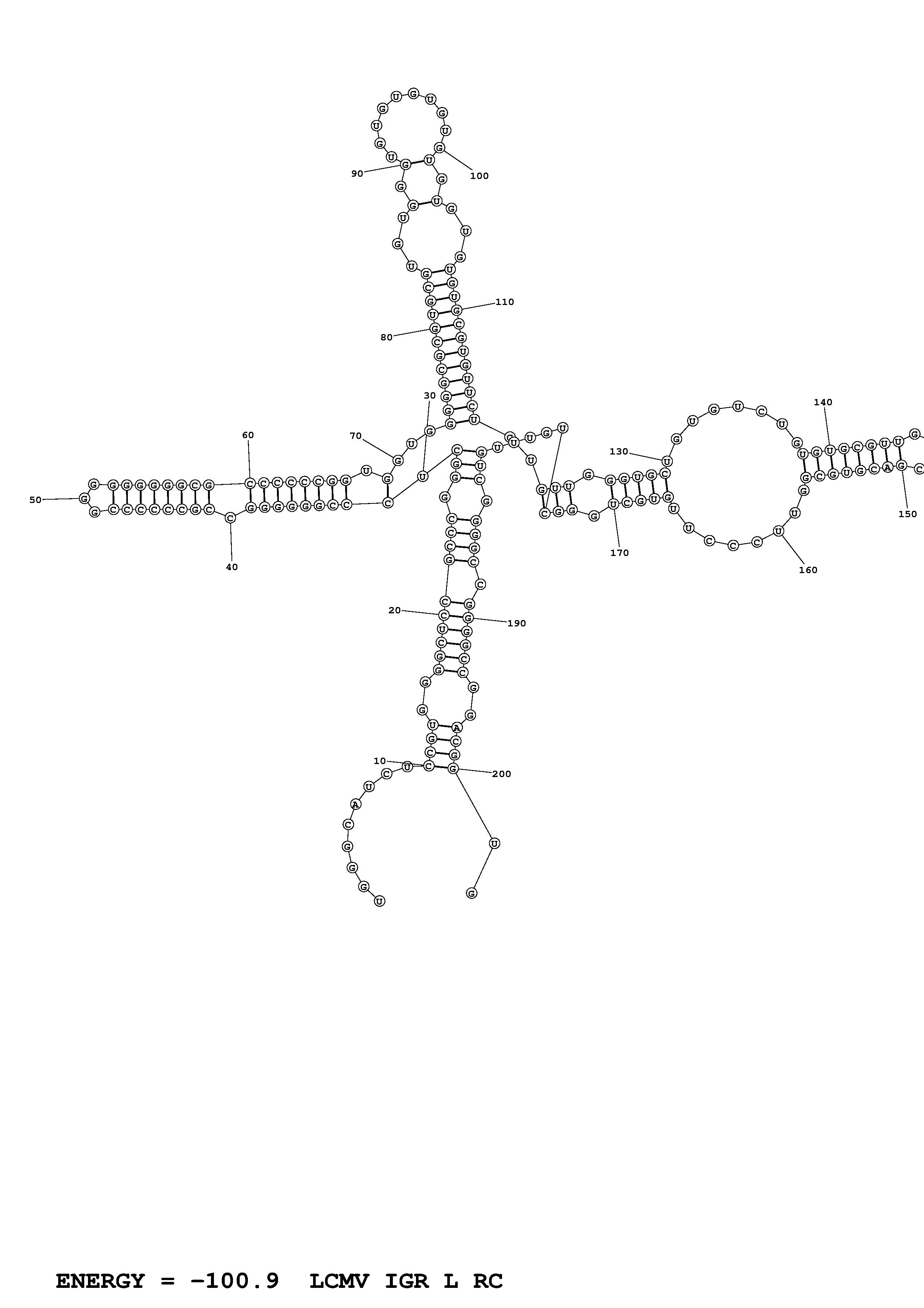
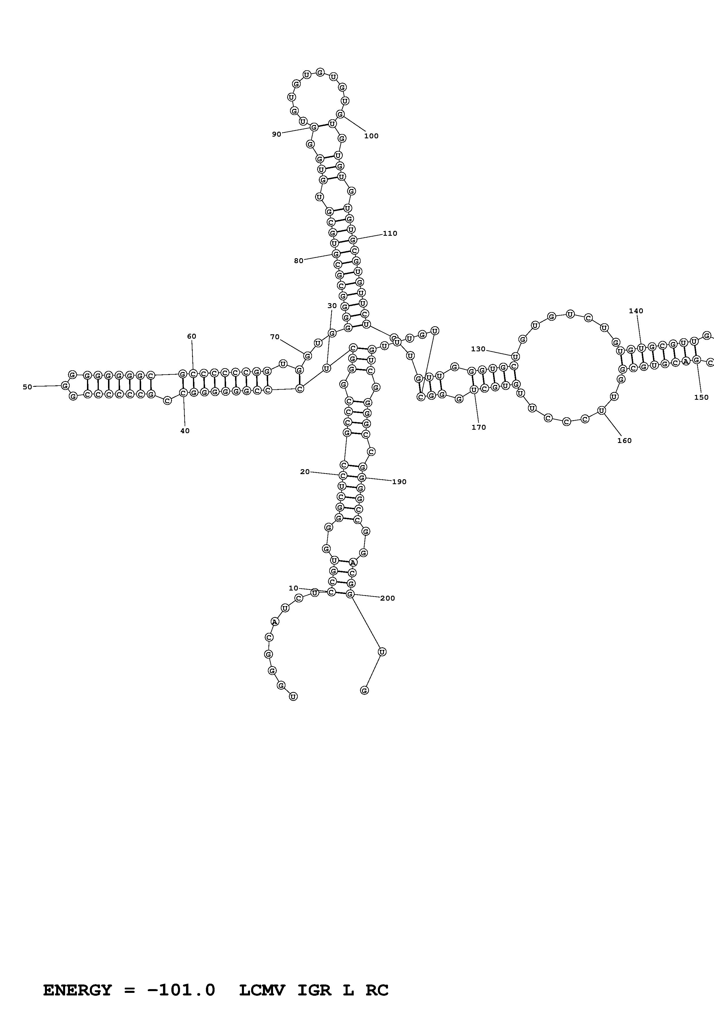
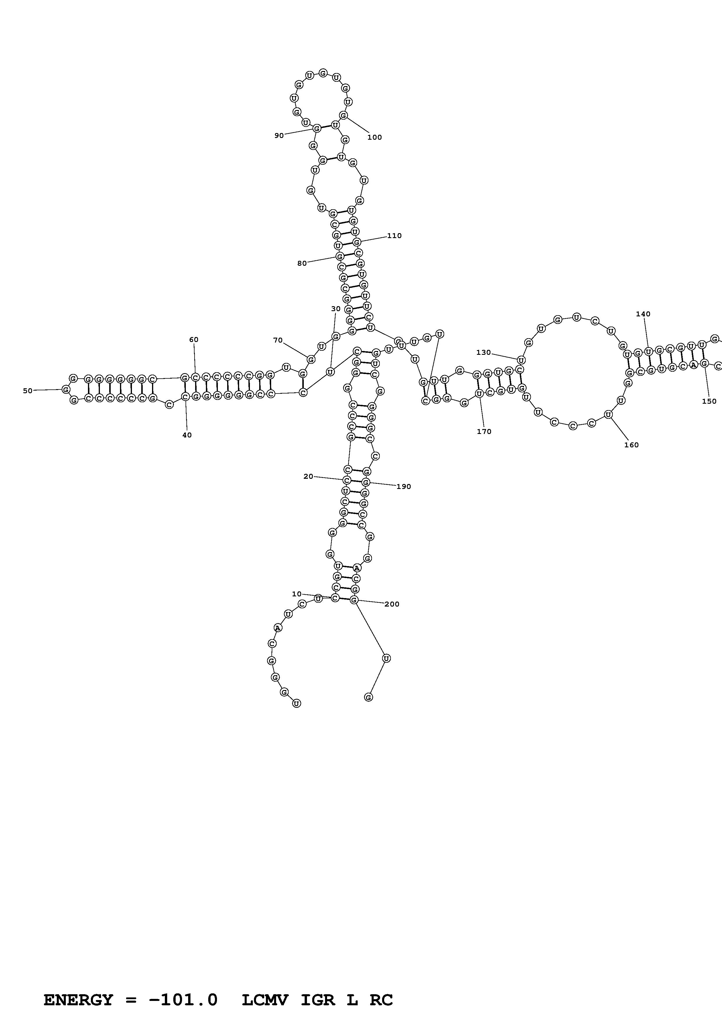
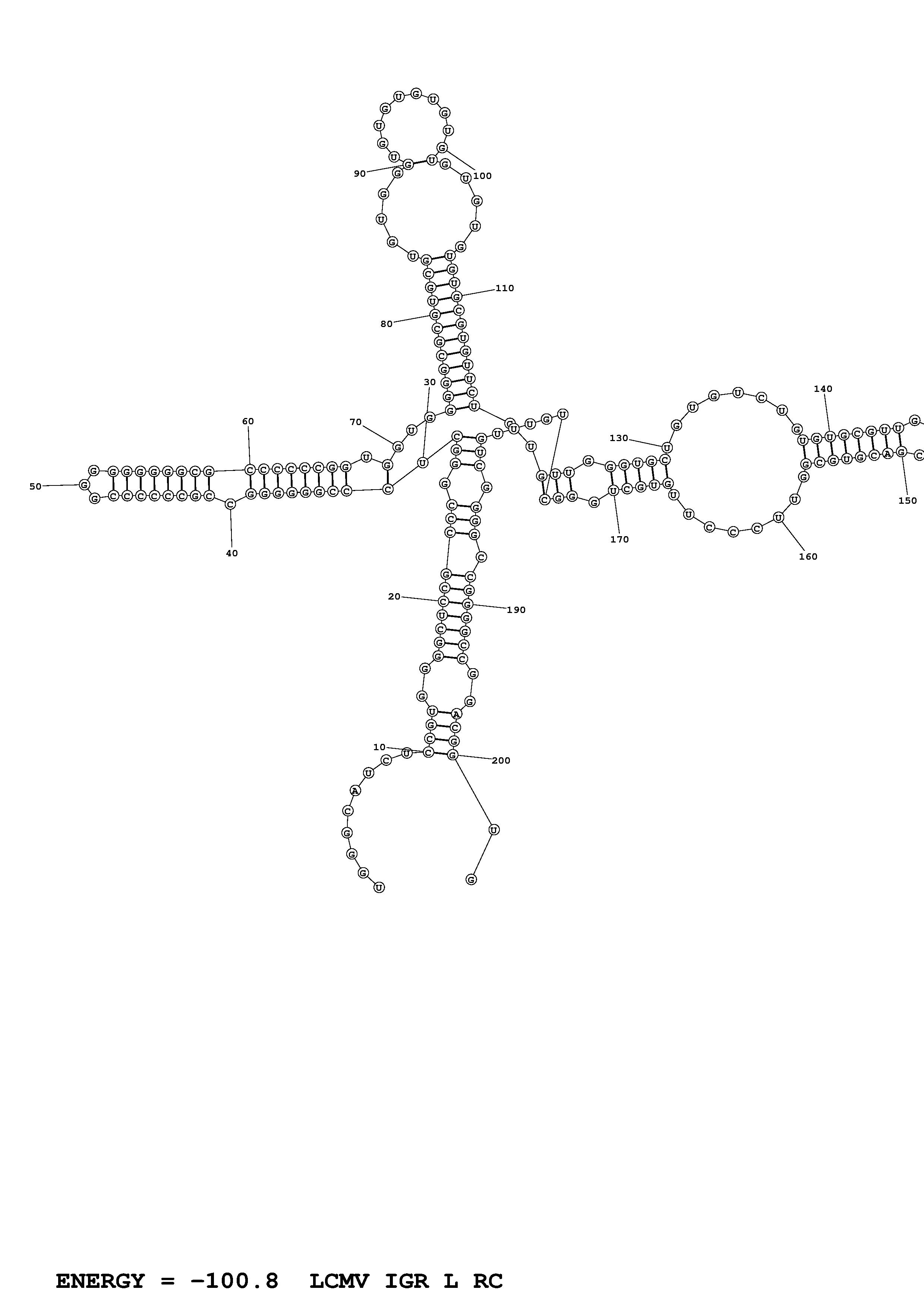
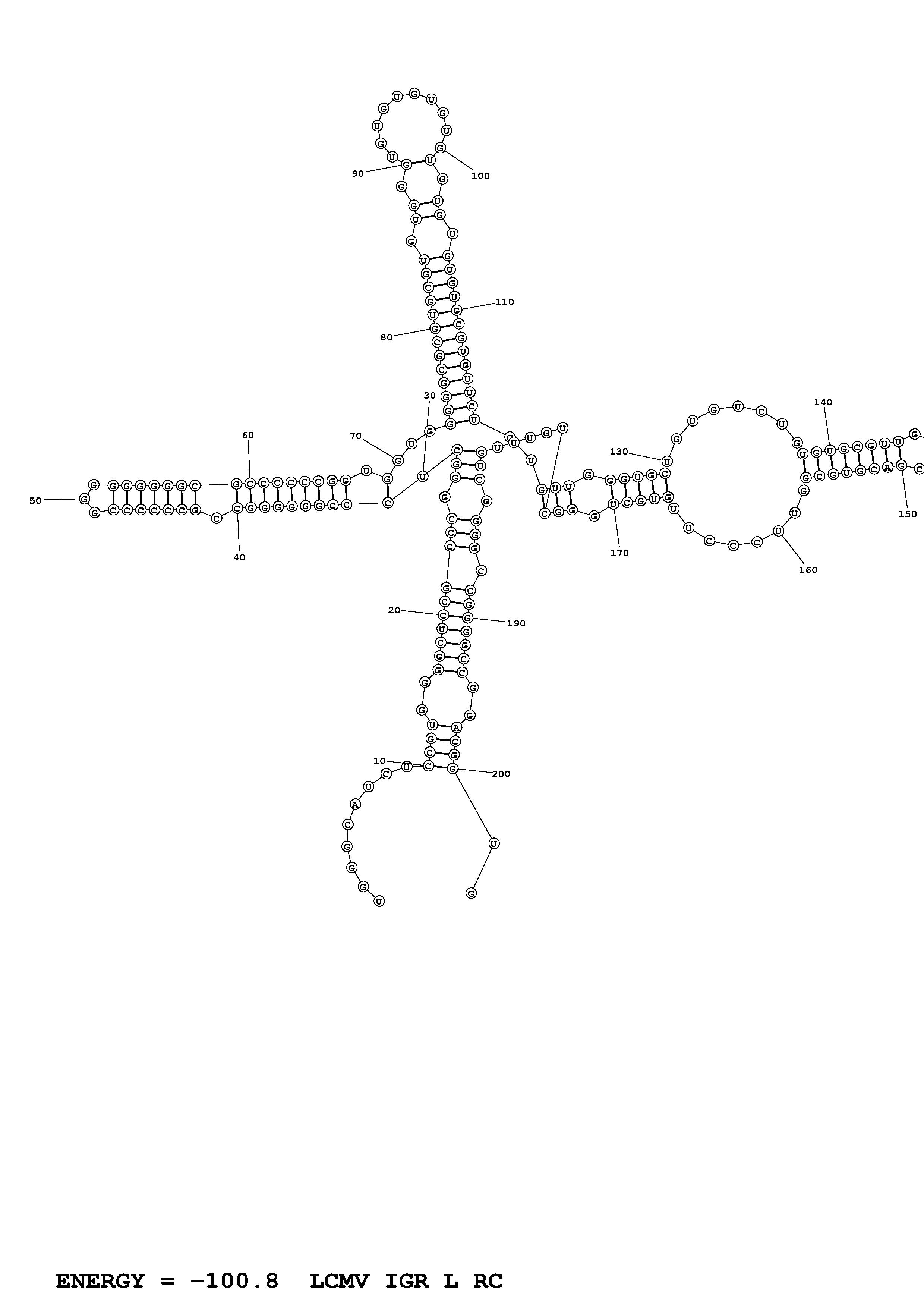
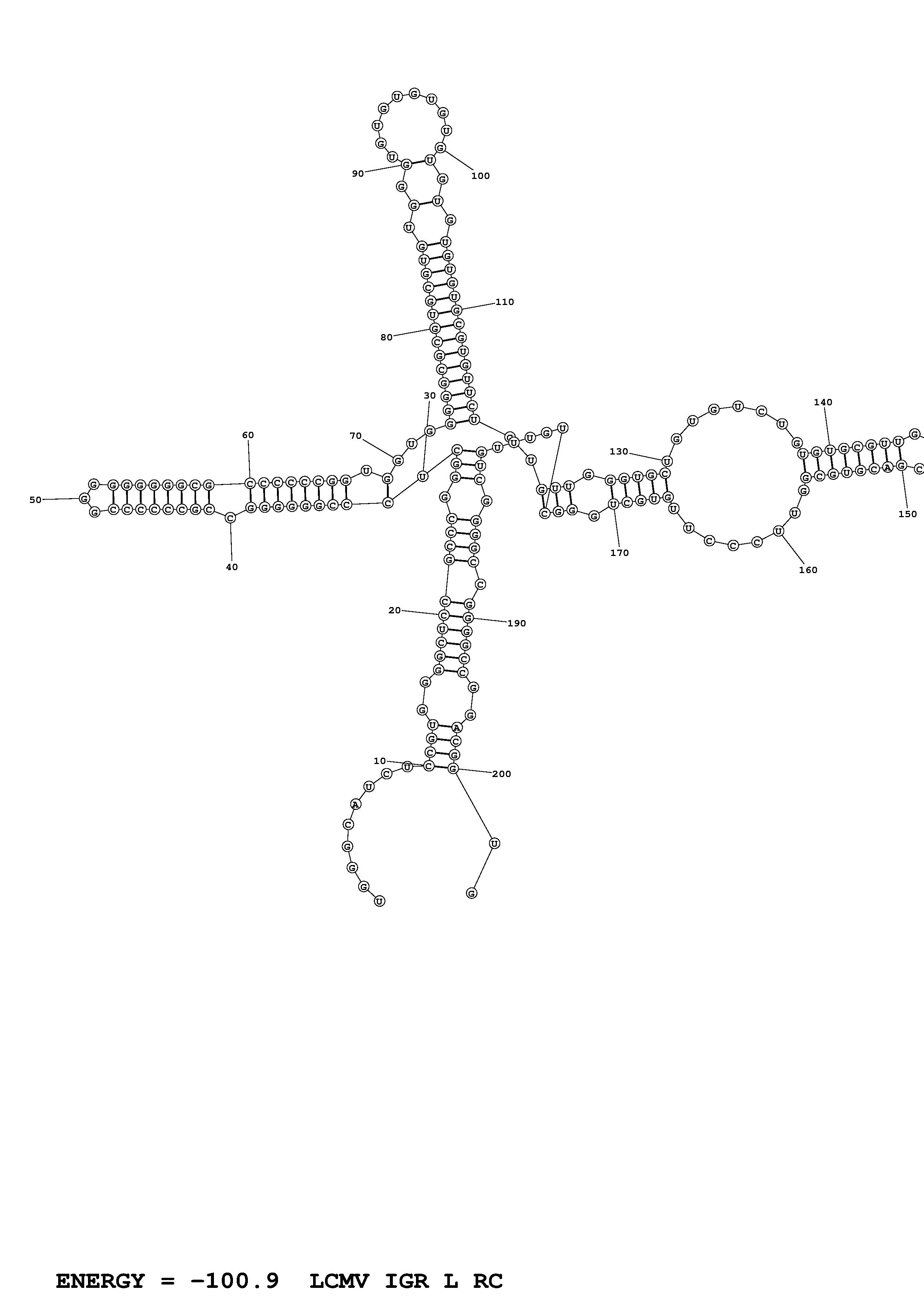
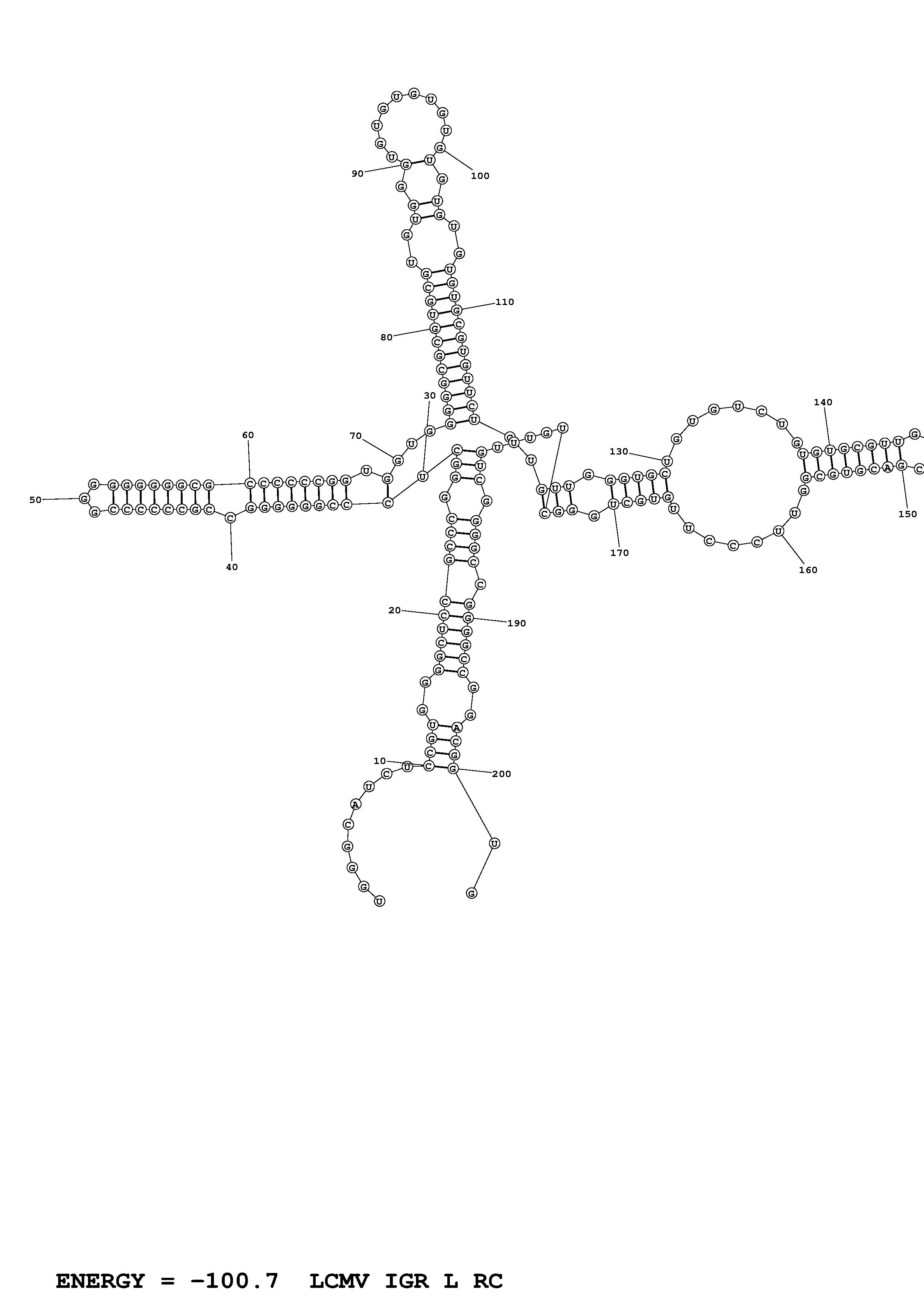
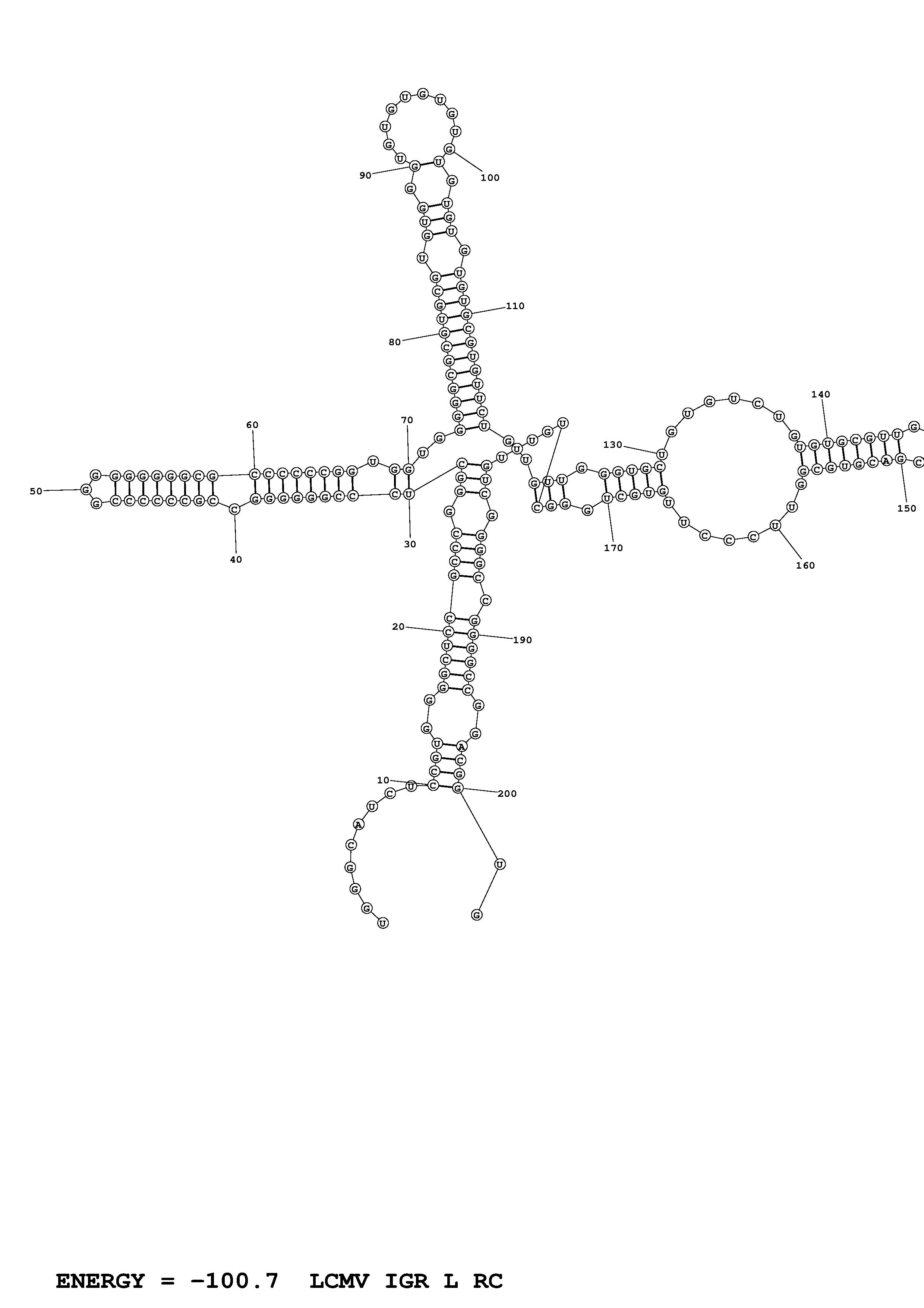
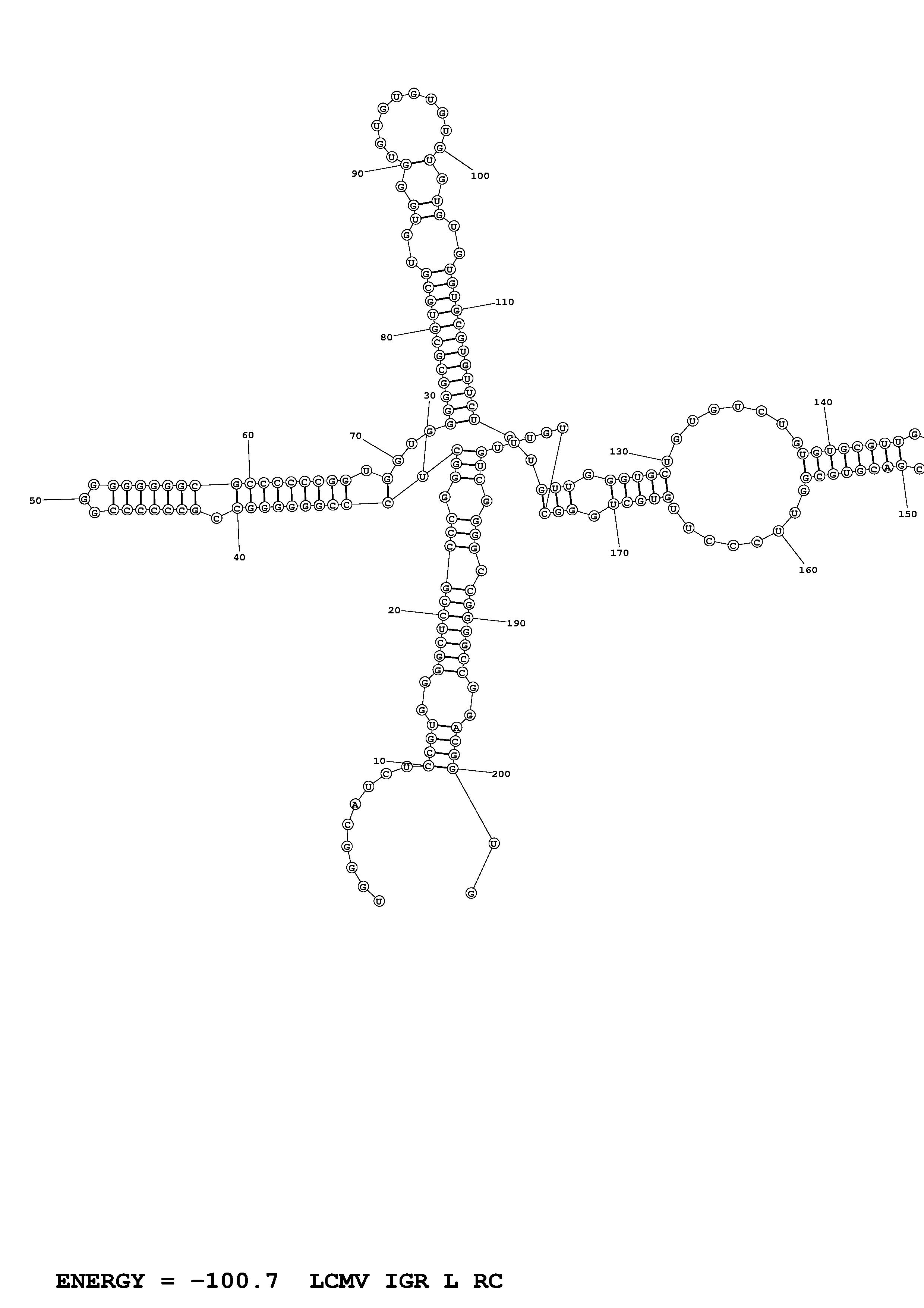
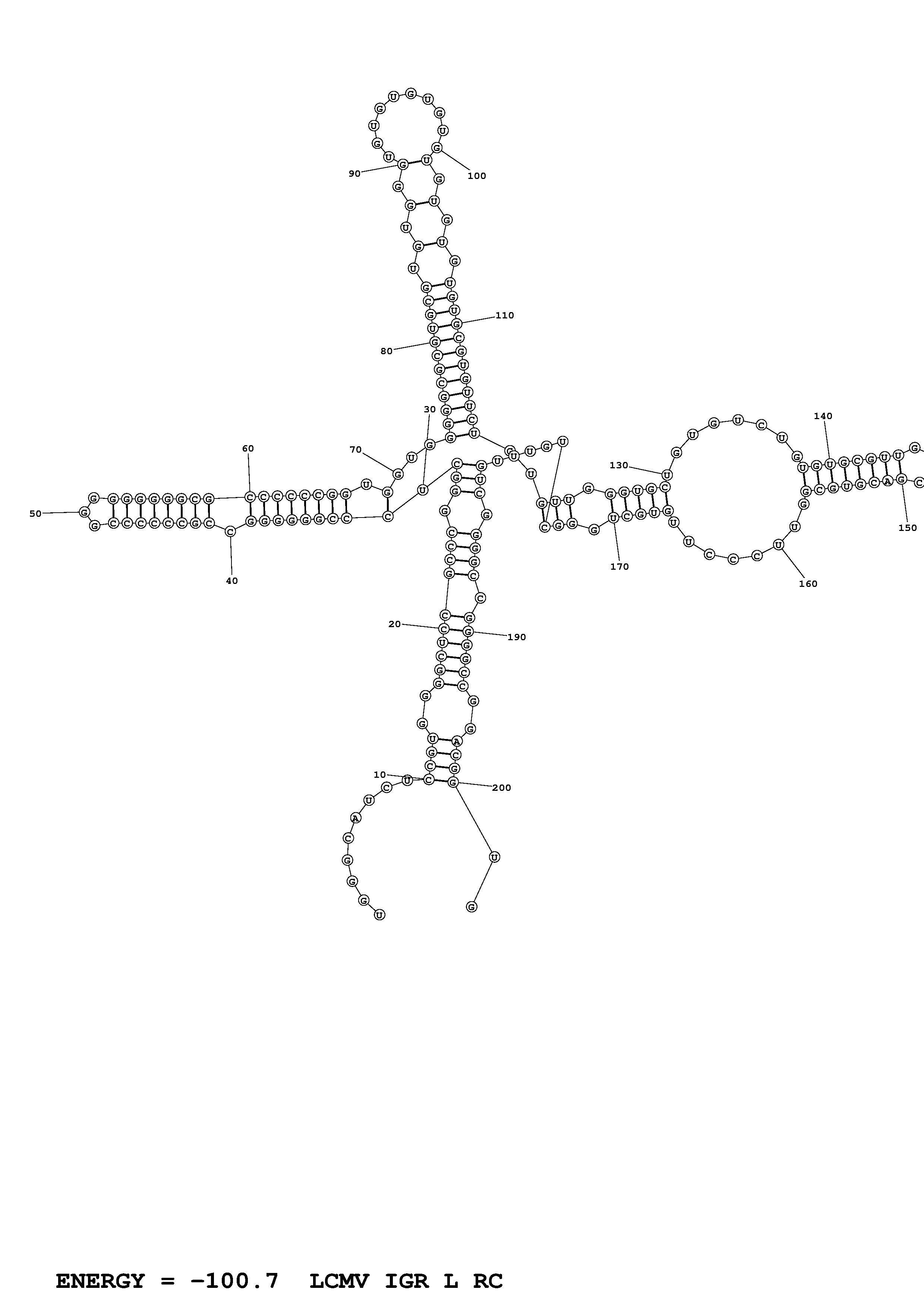
      Structure 1: PDF SVG PS JPEG PNG CT
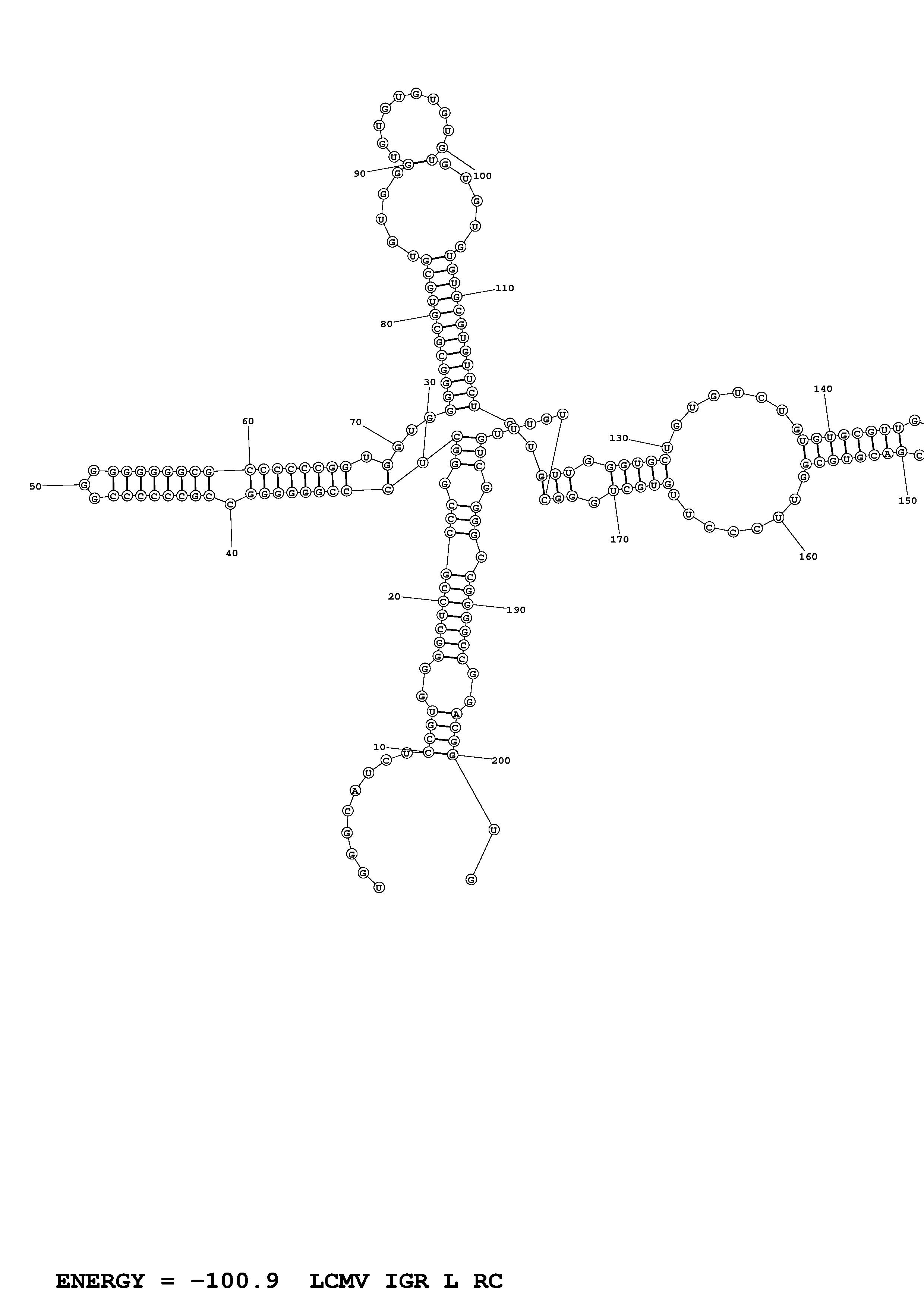
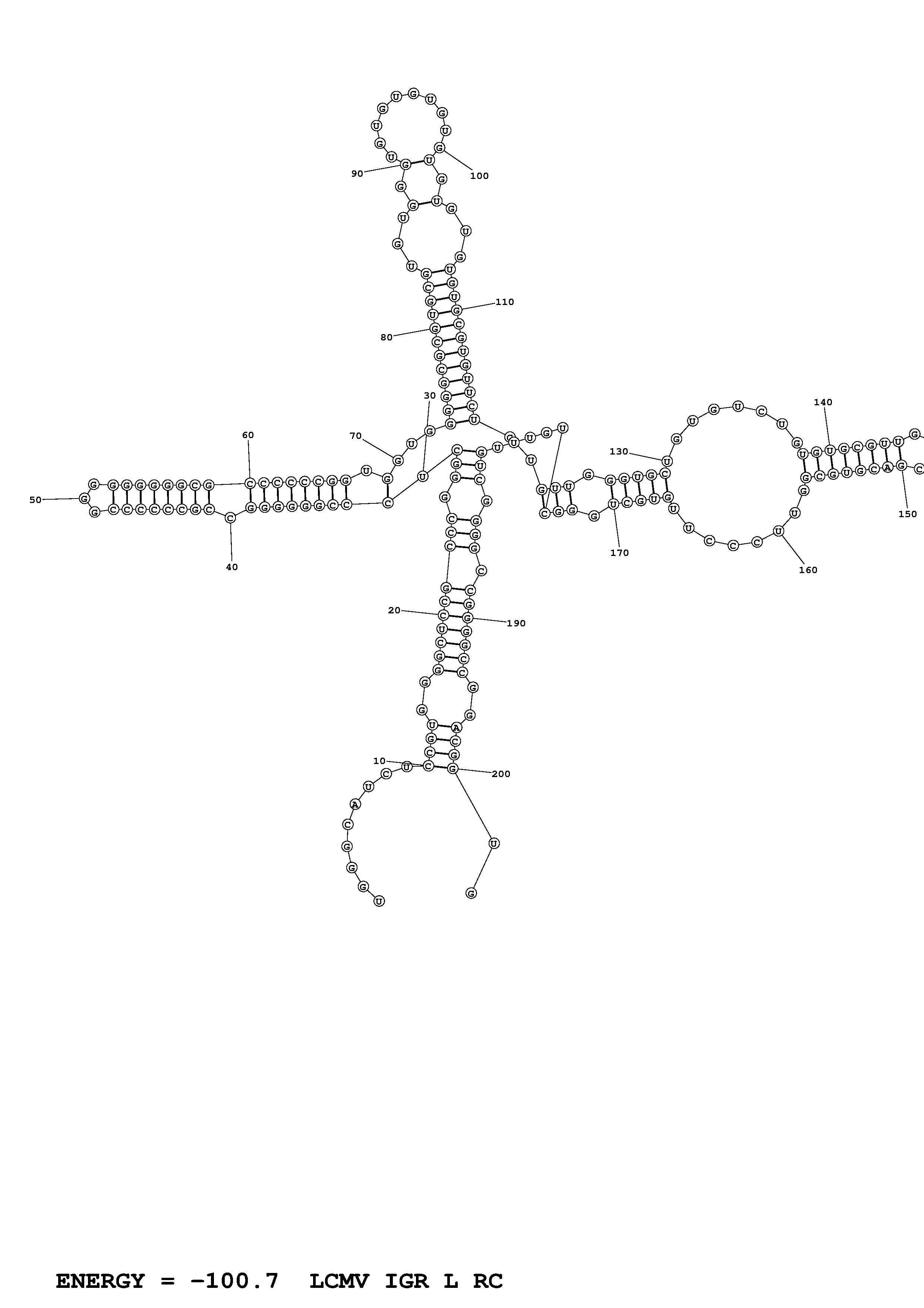
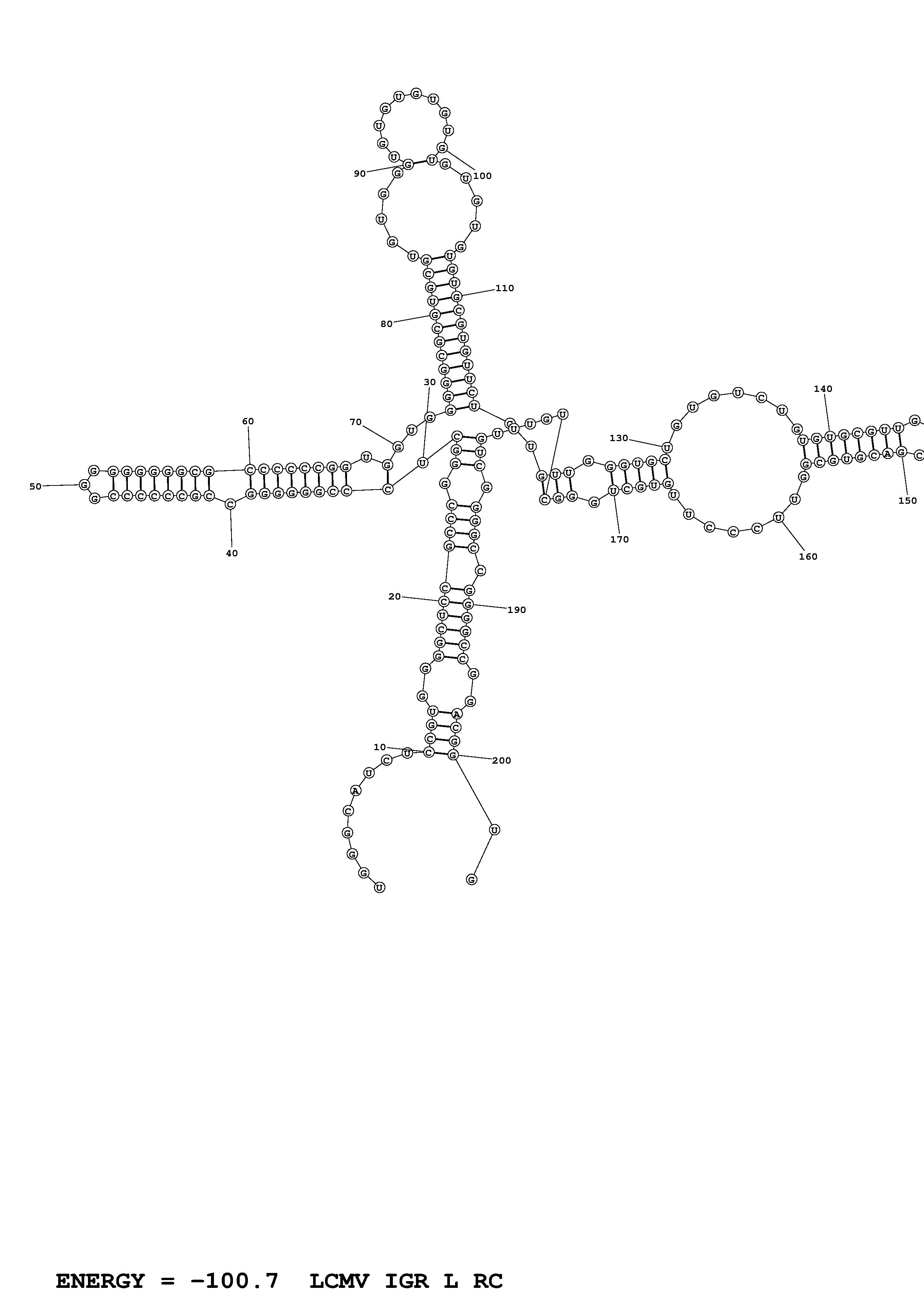
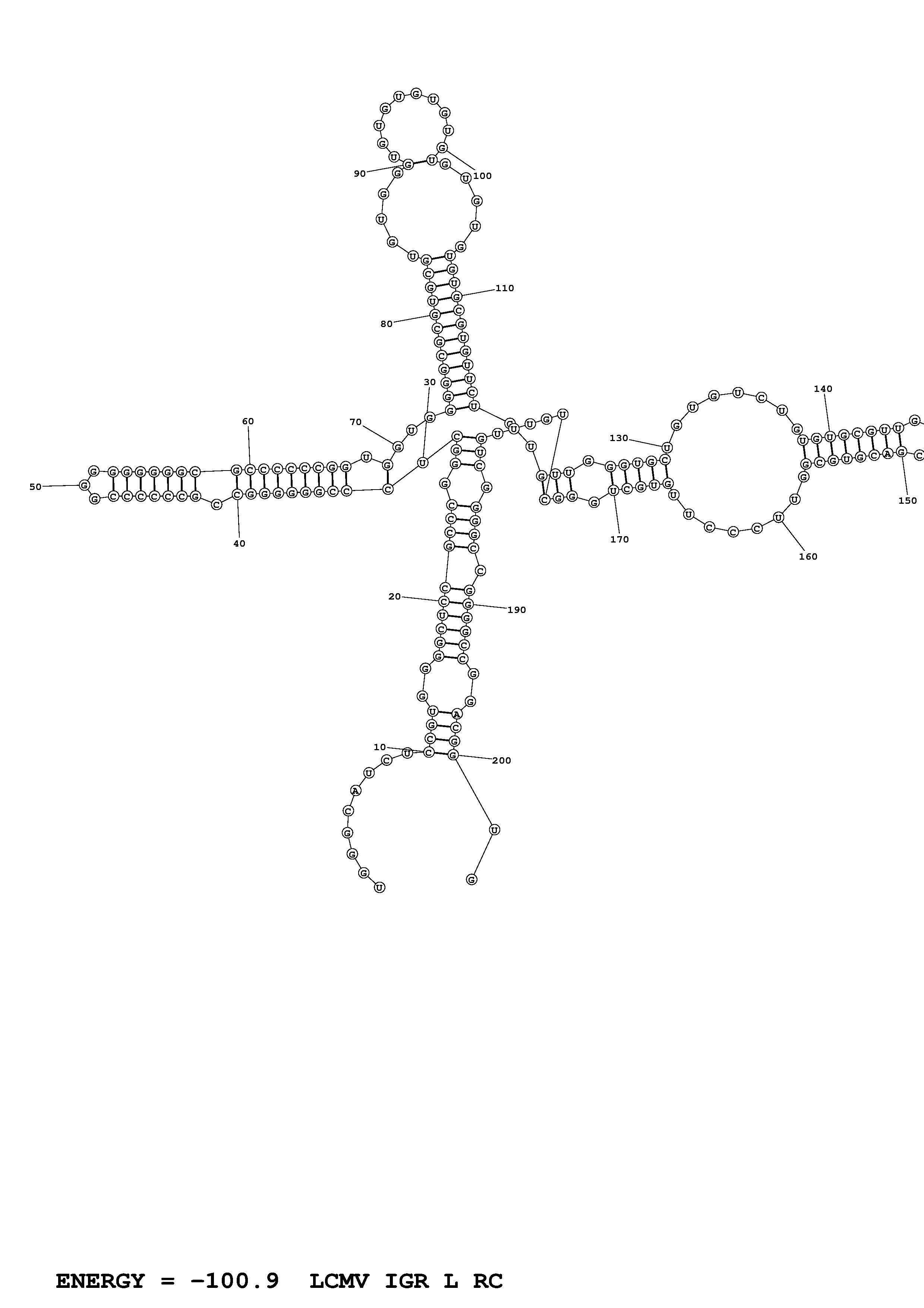
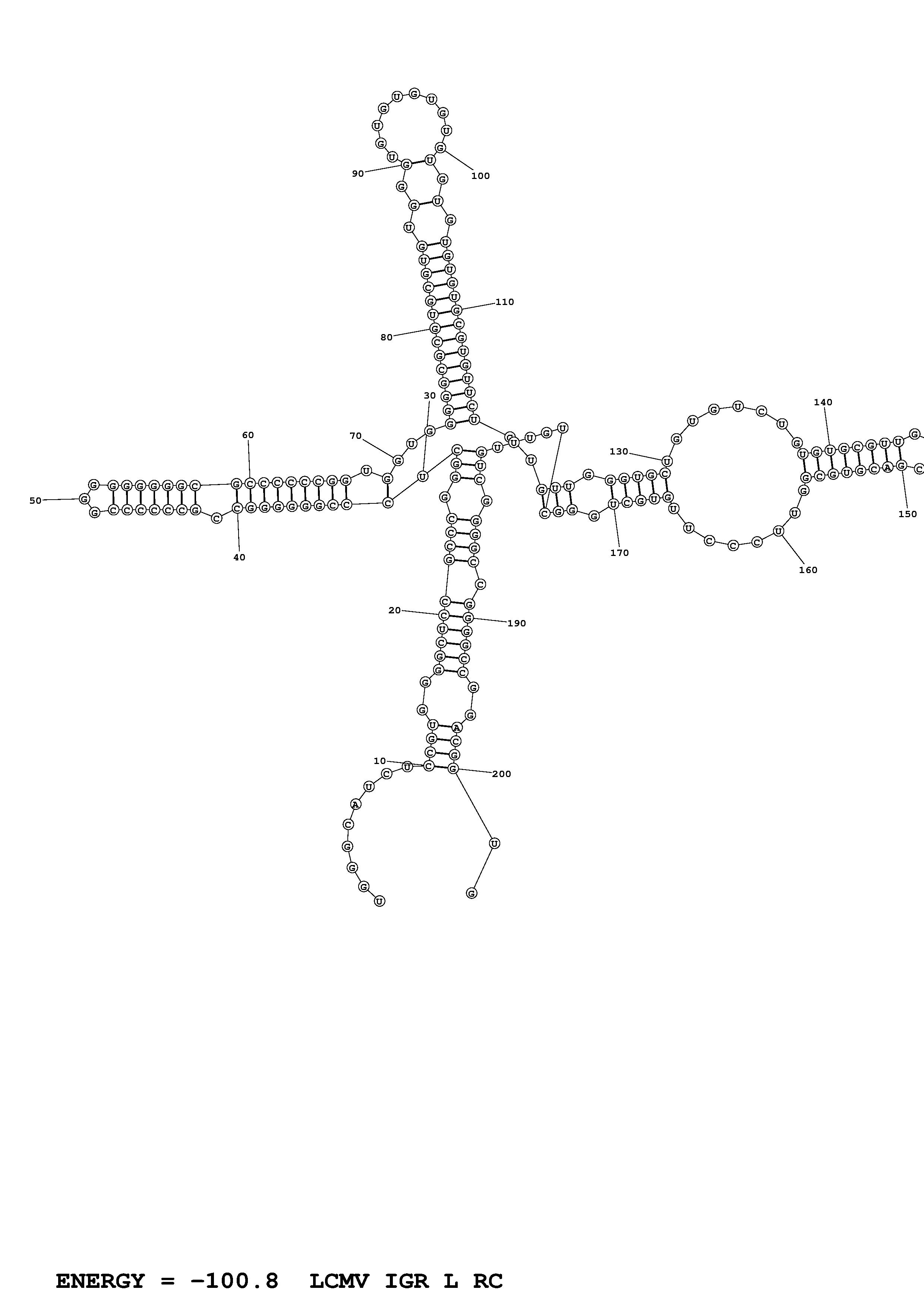
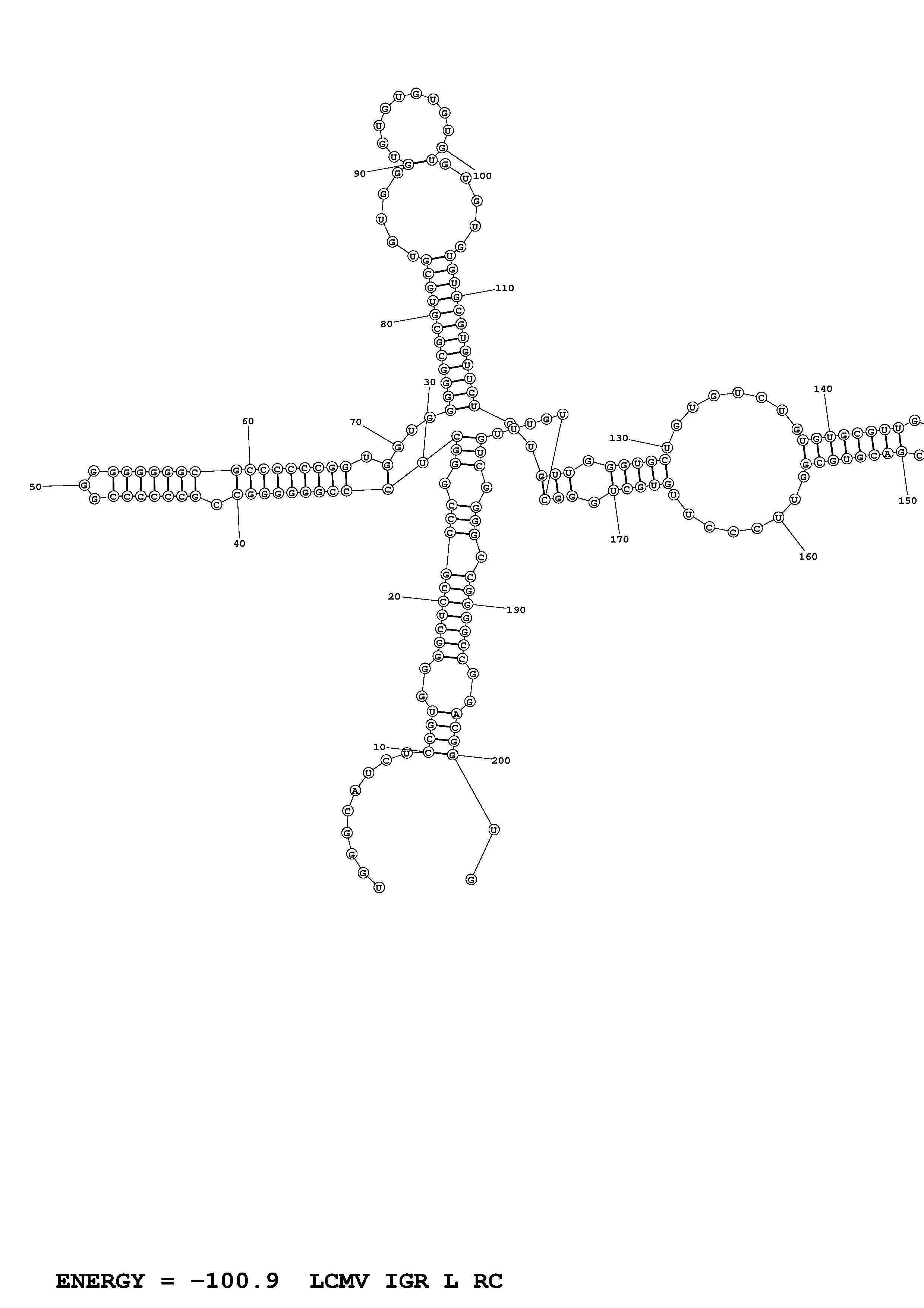
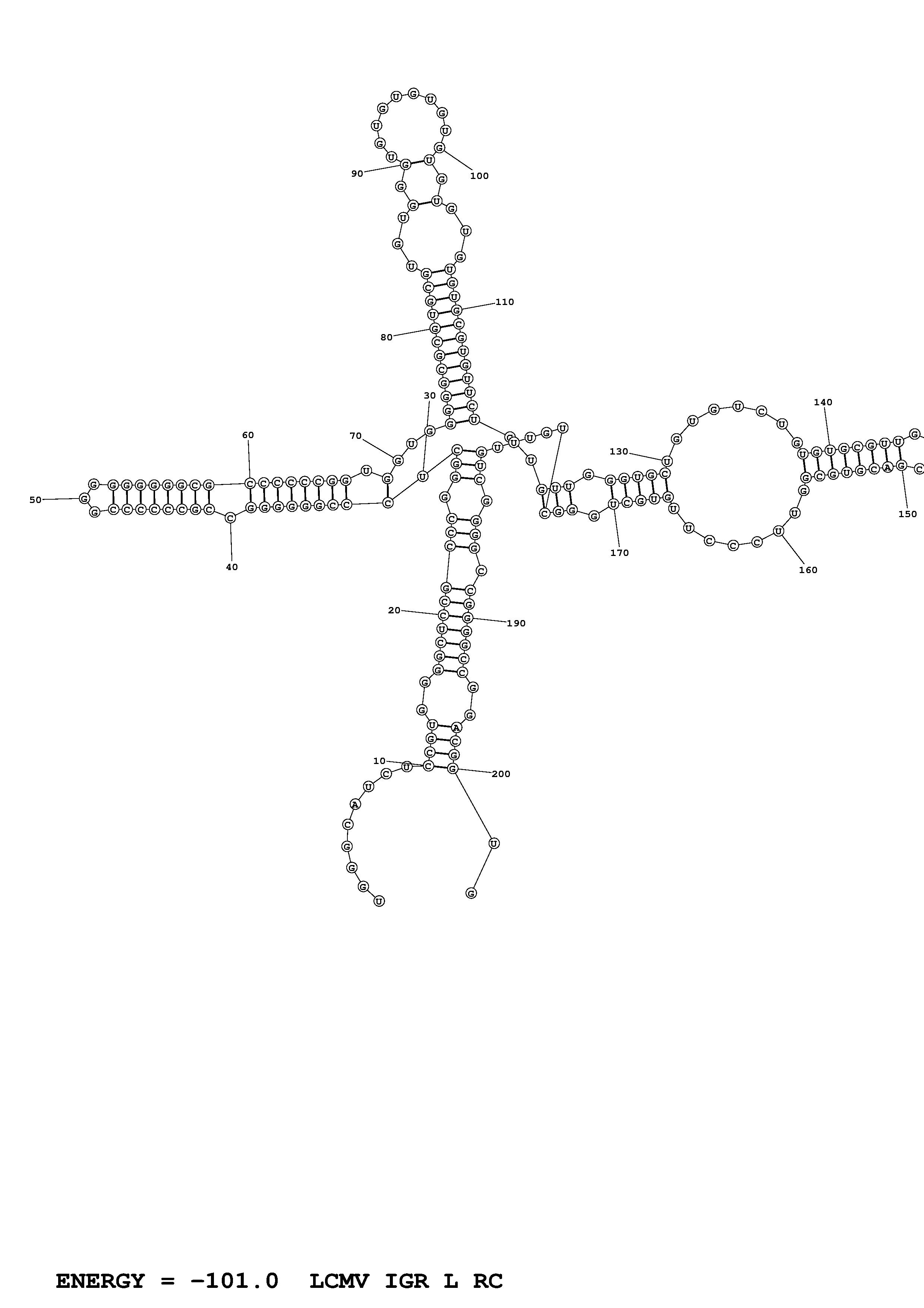
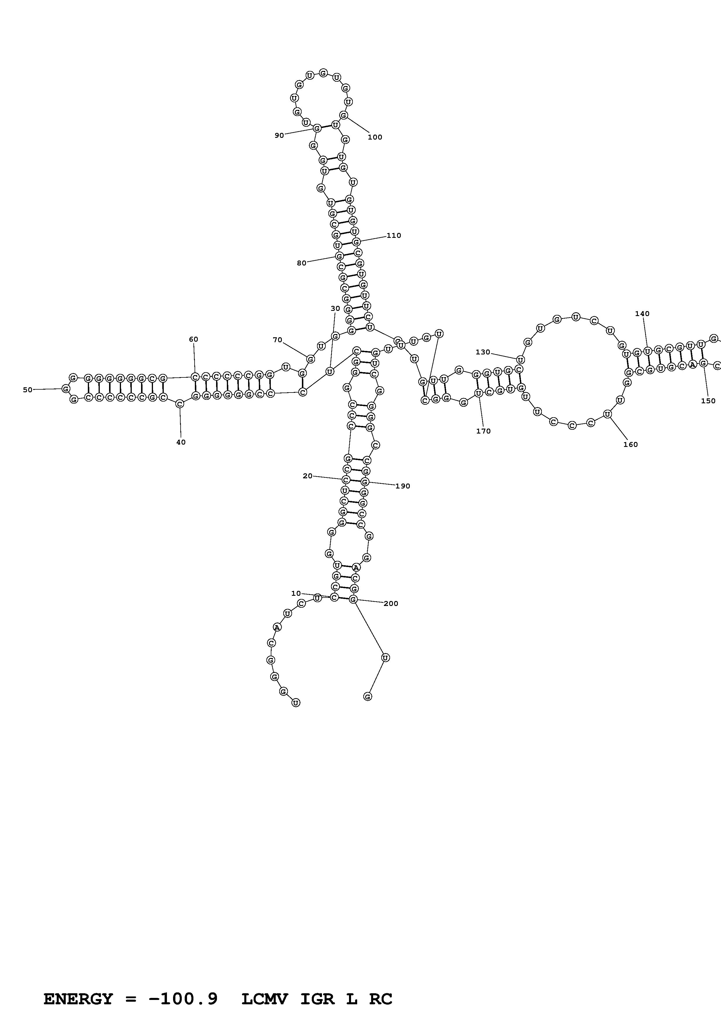
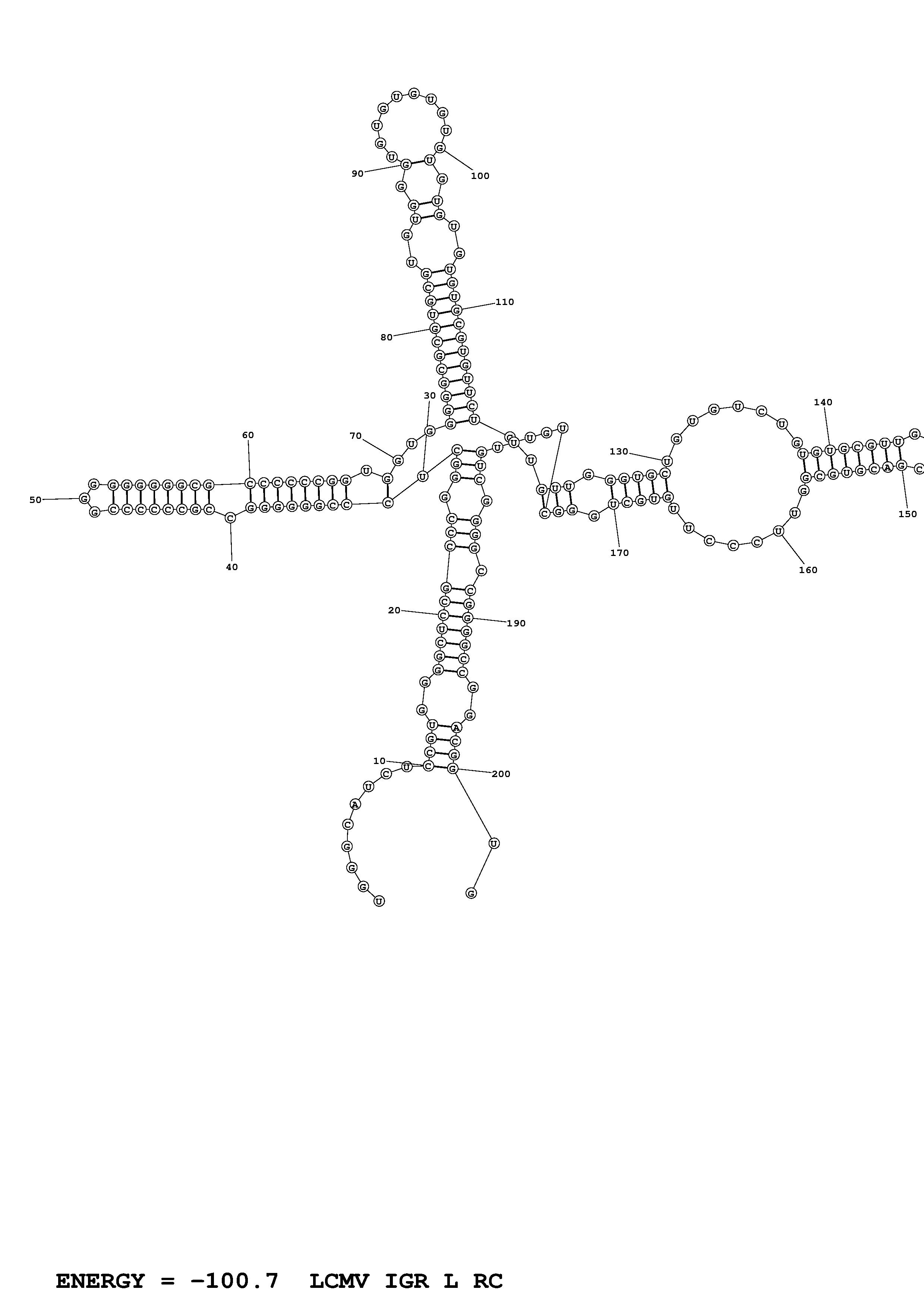
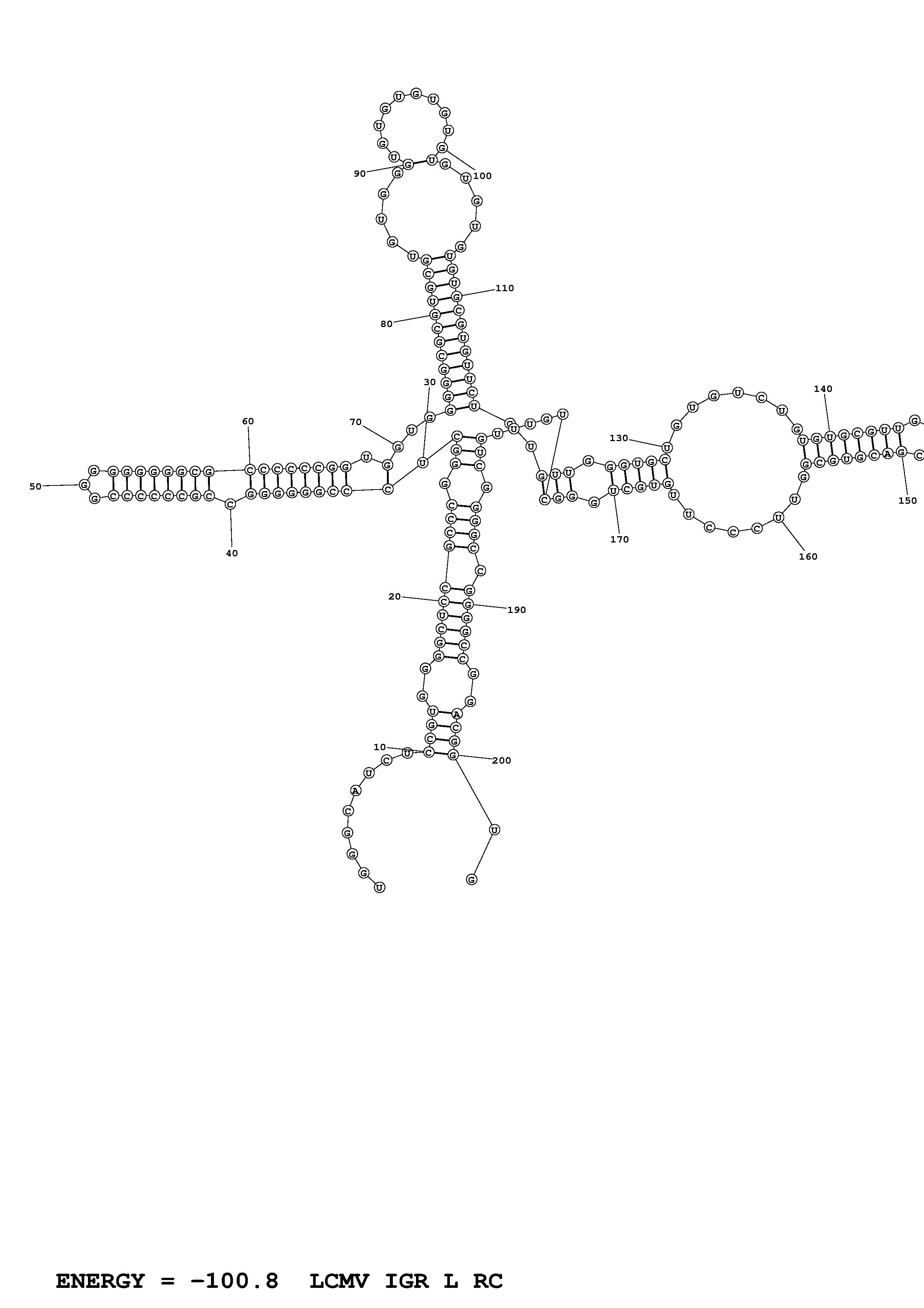
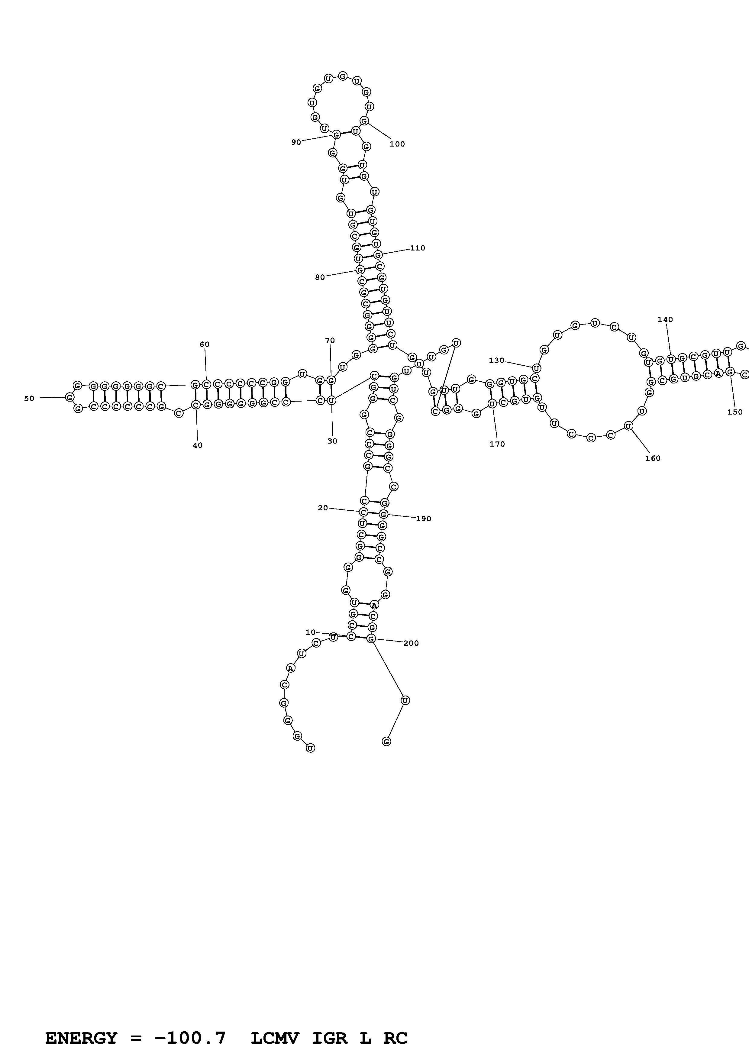
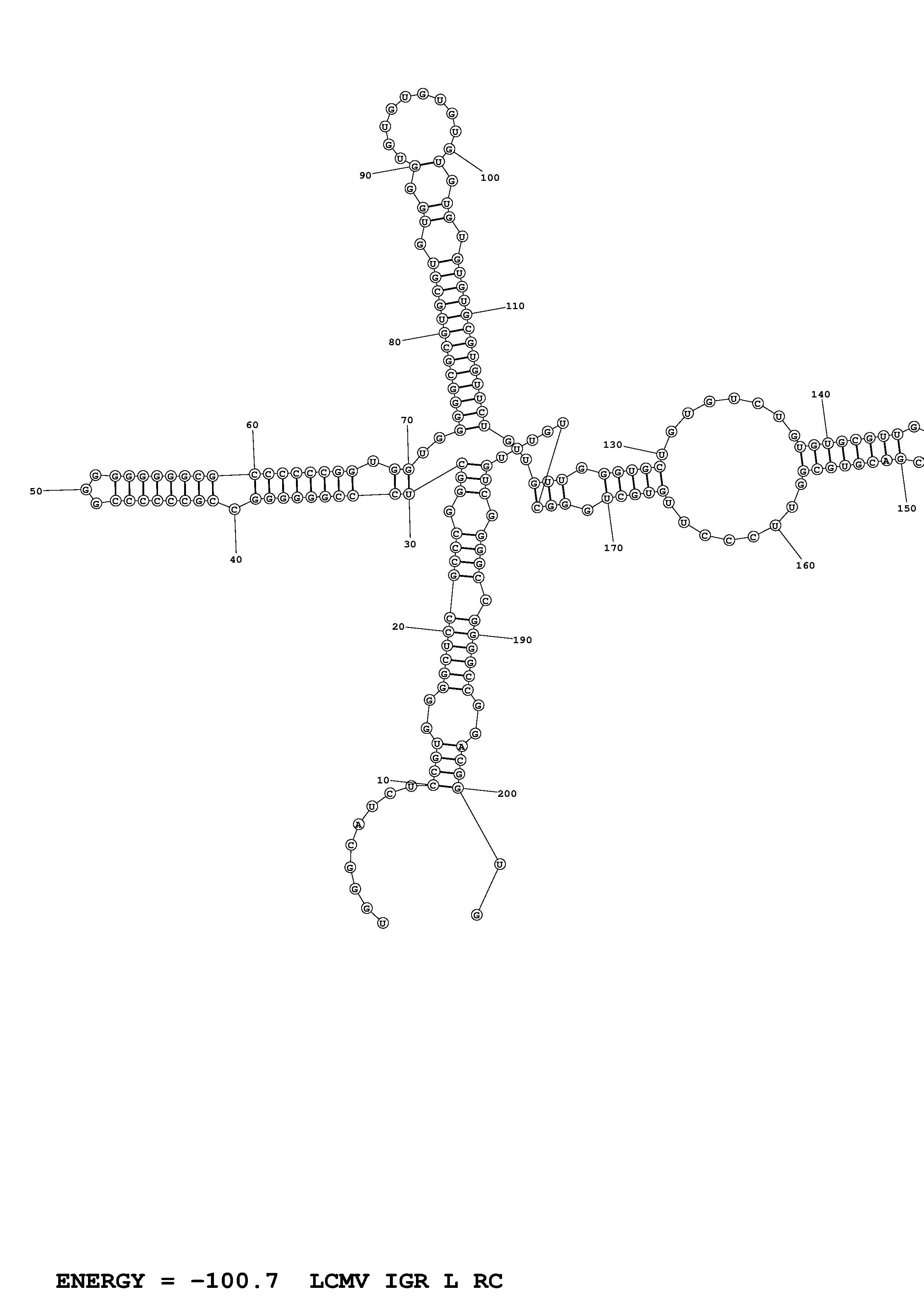
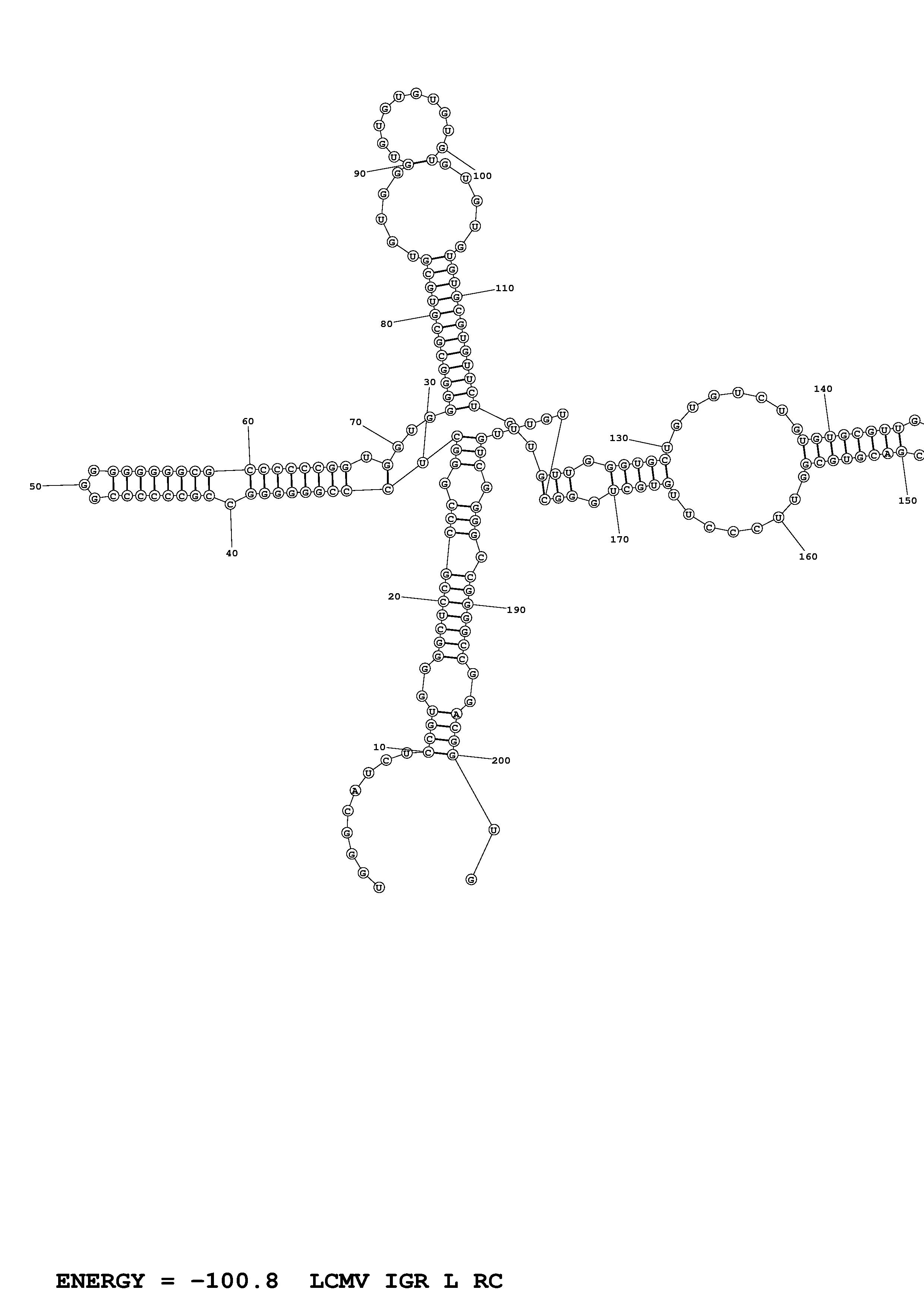
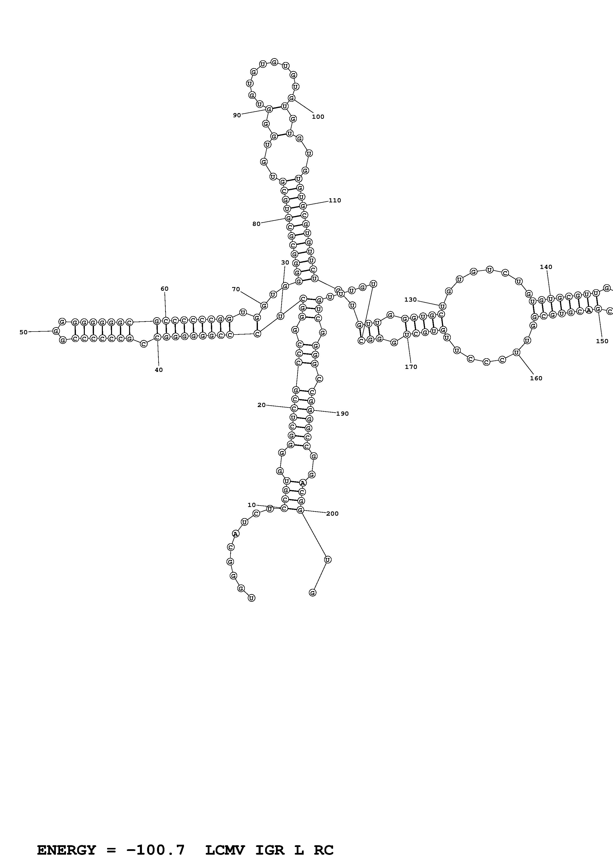
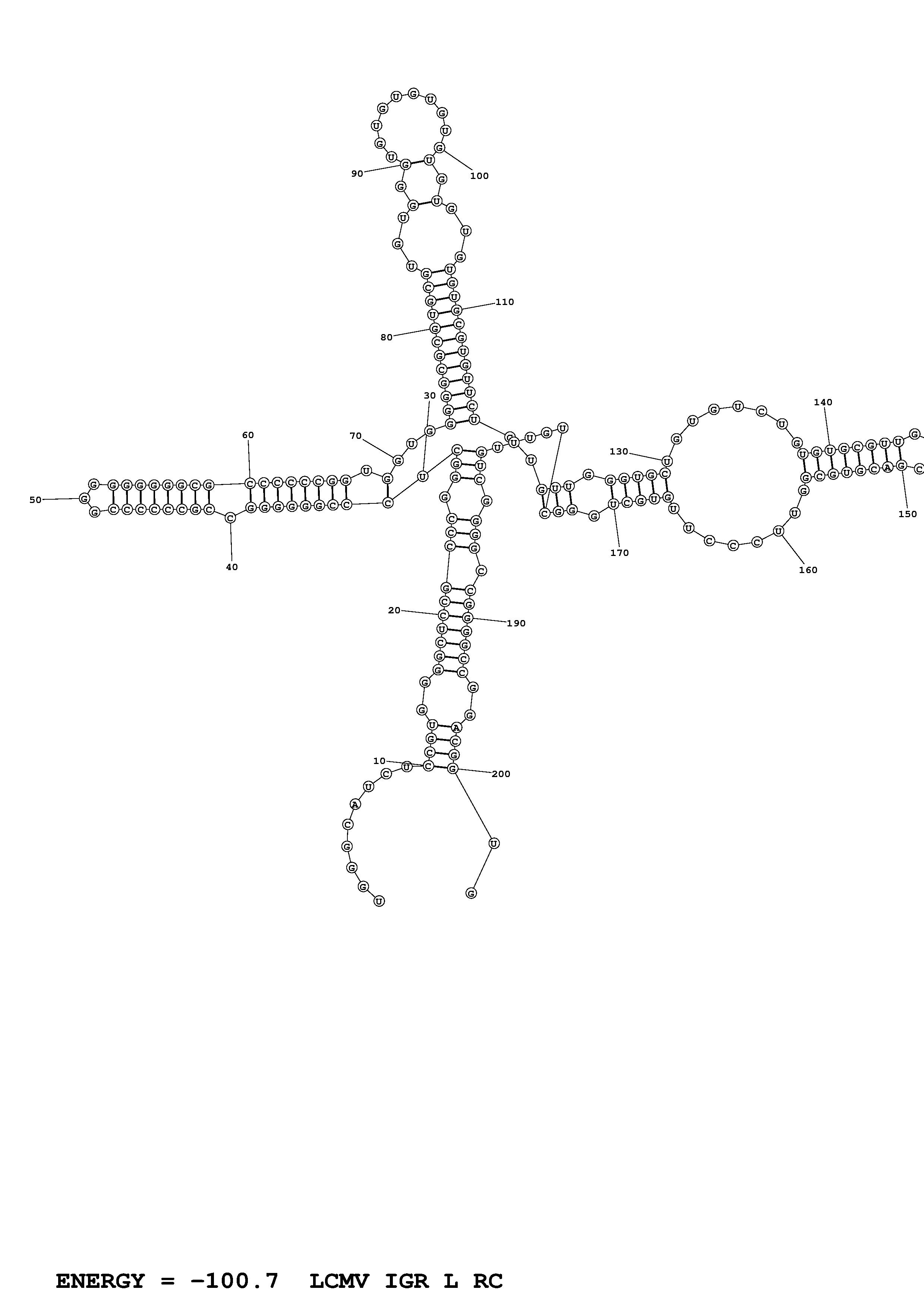
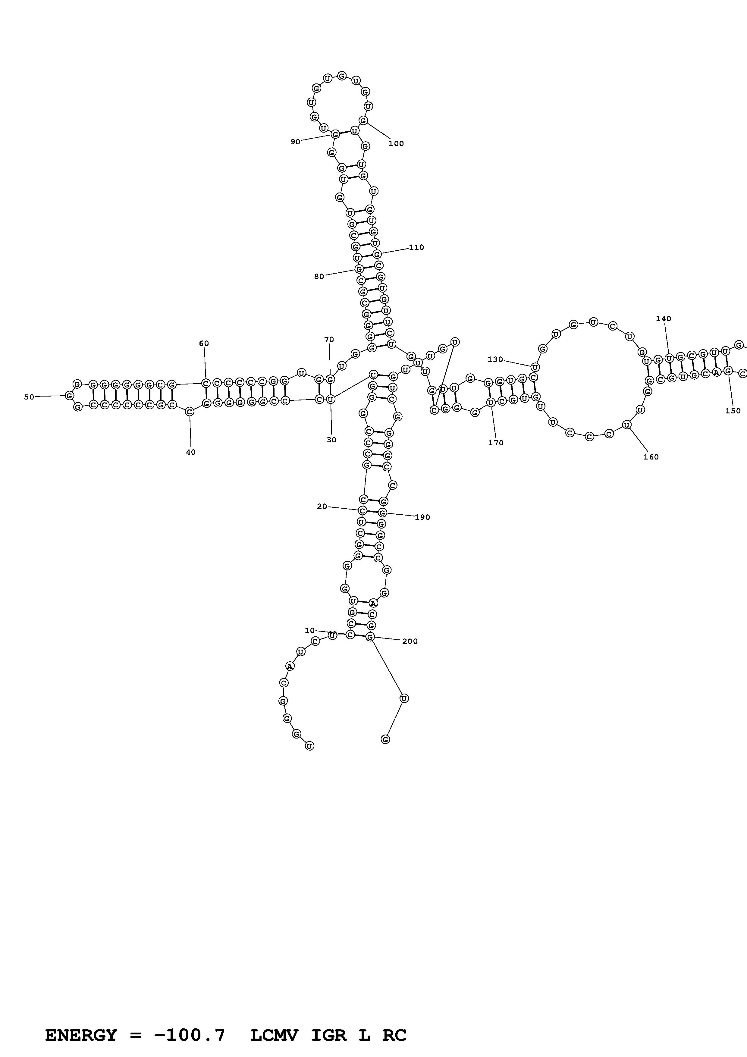
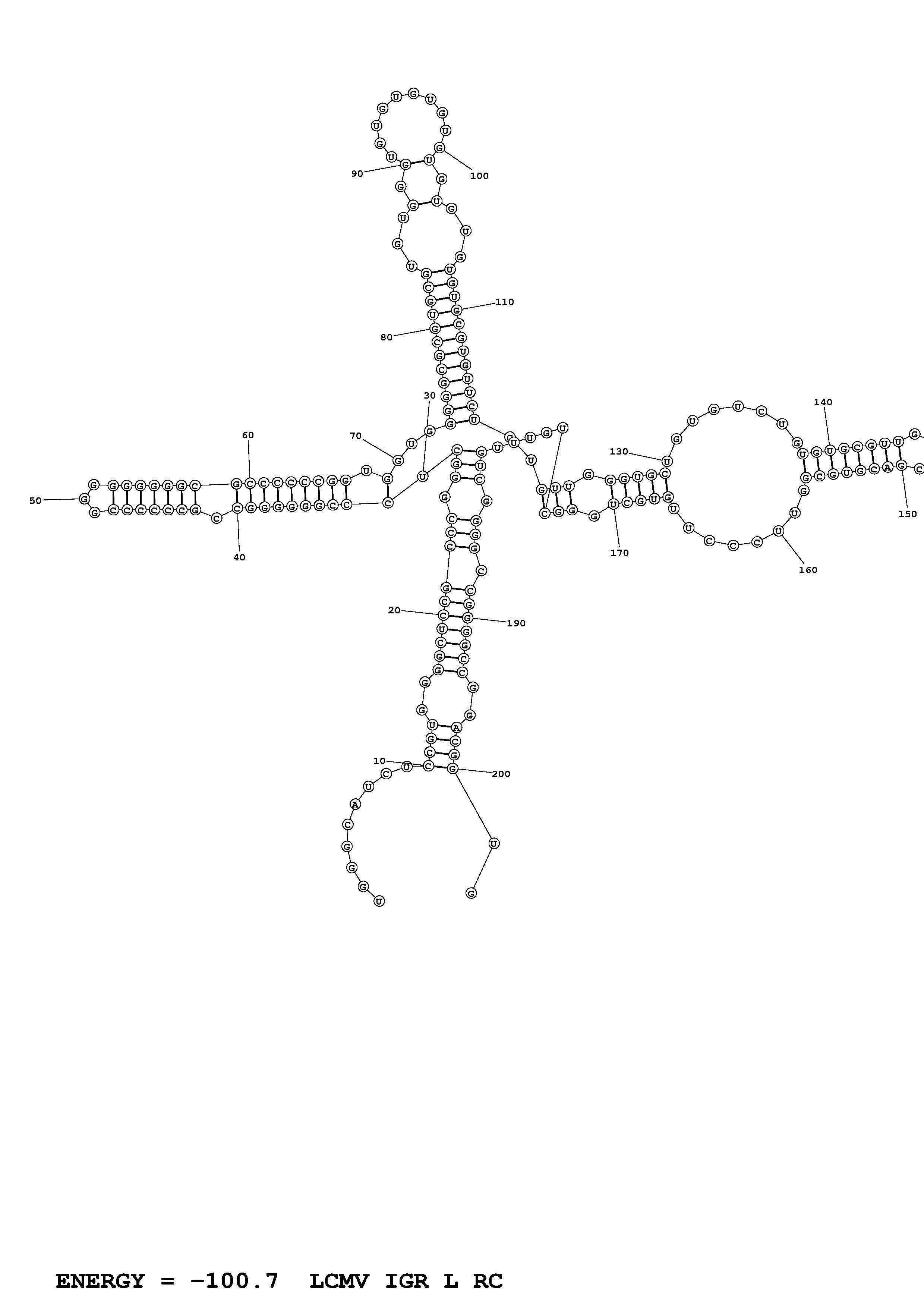
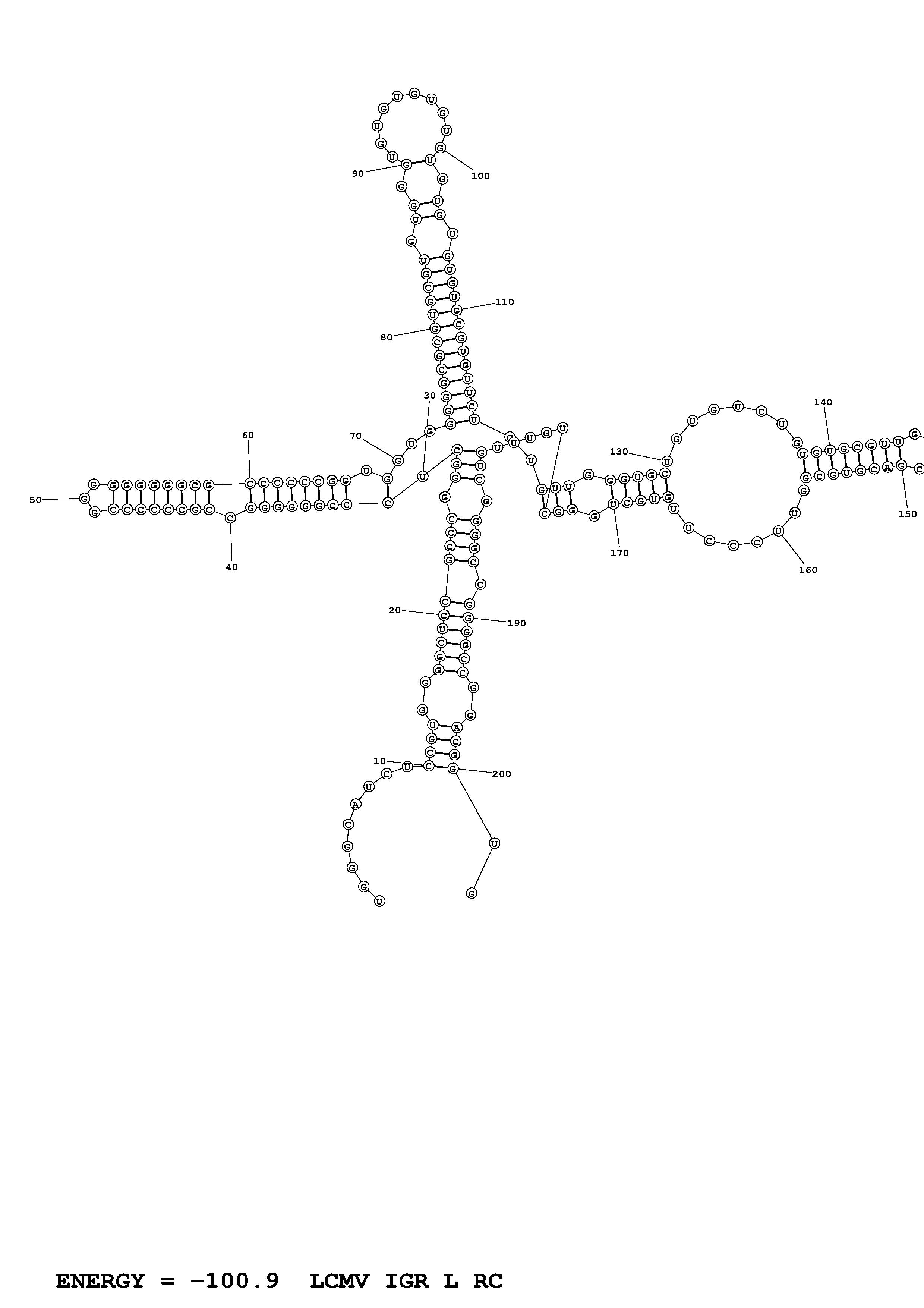
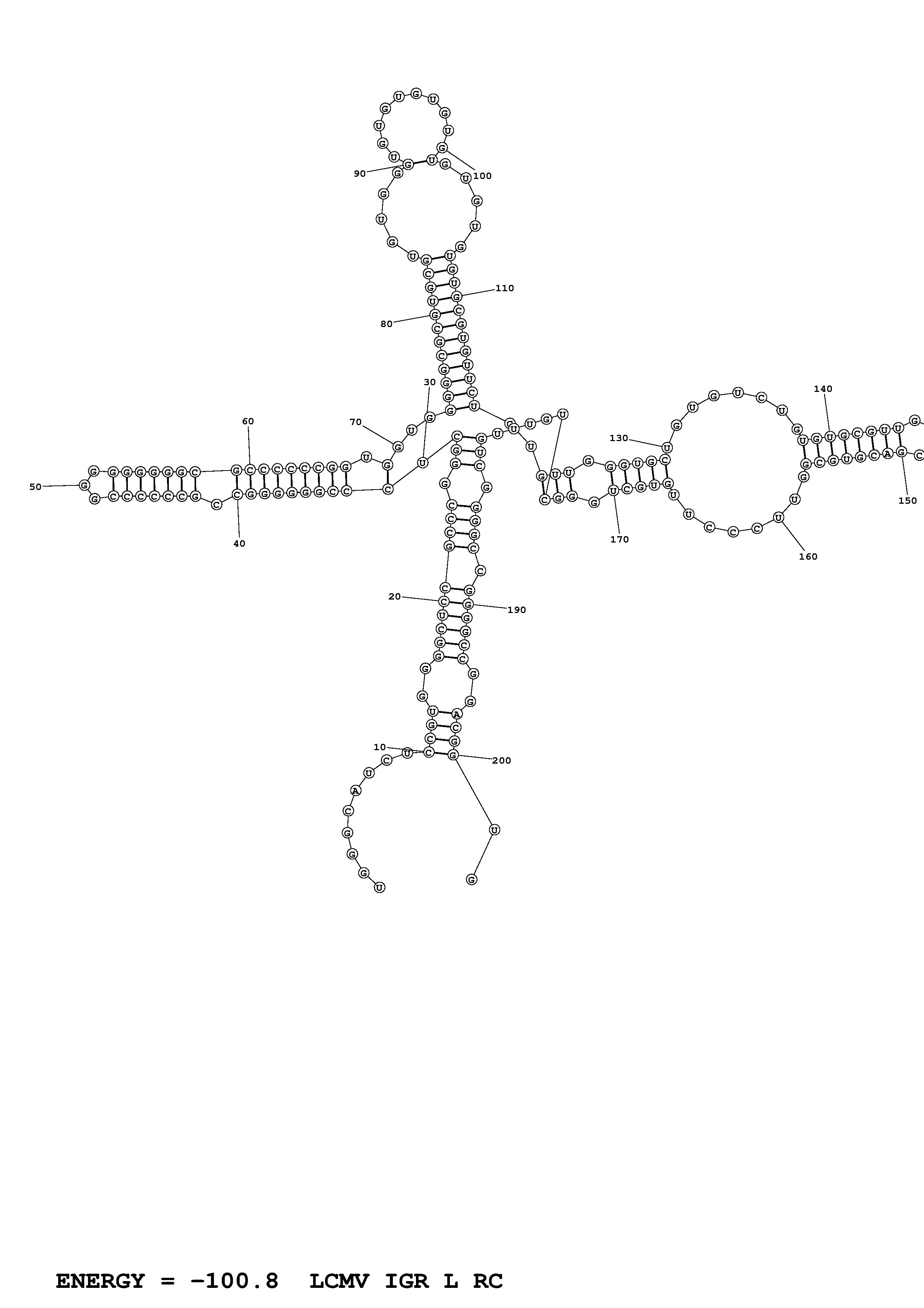
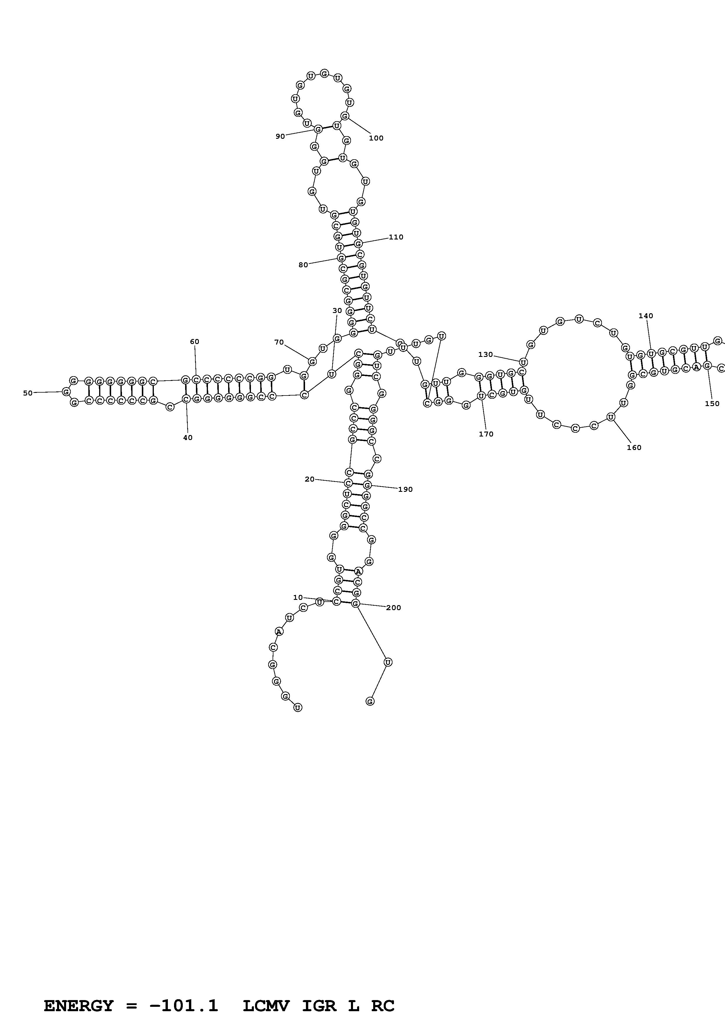
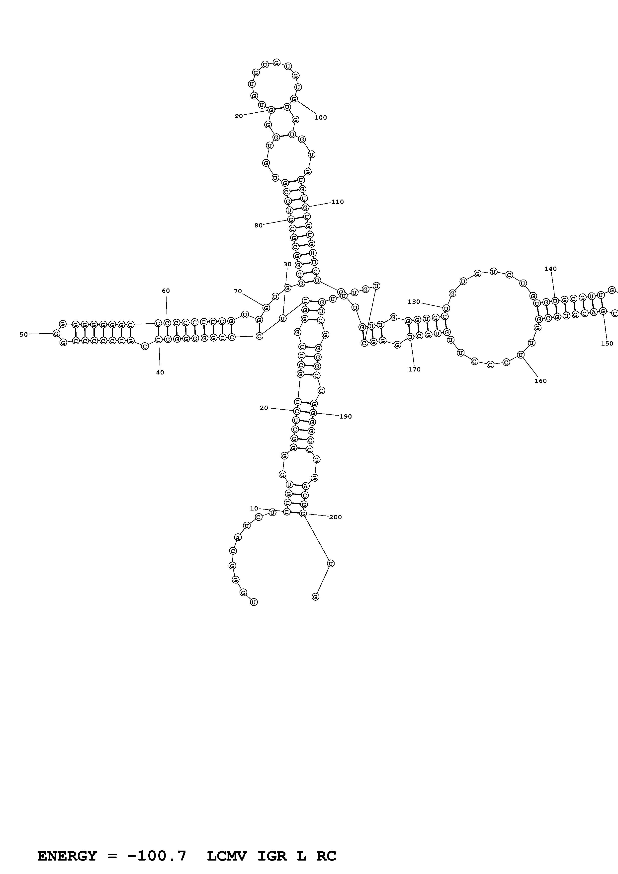
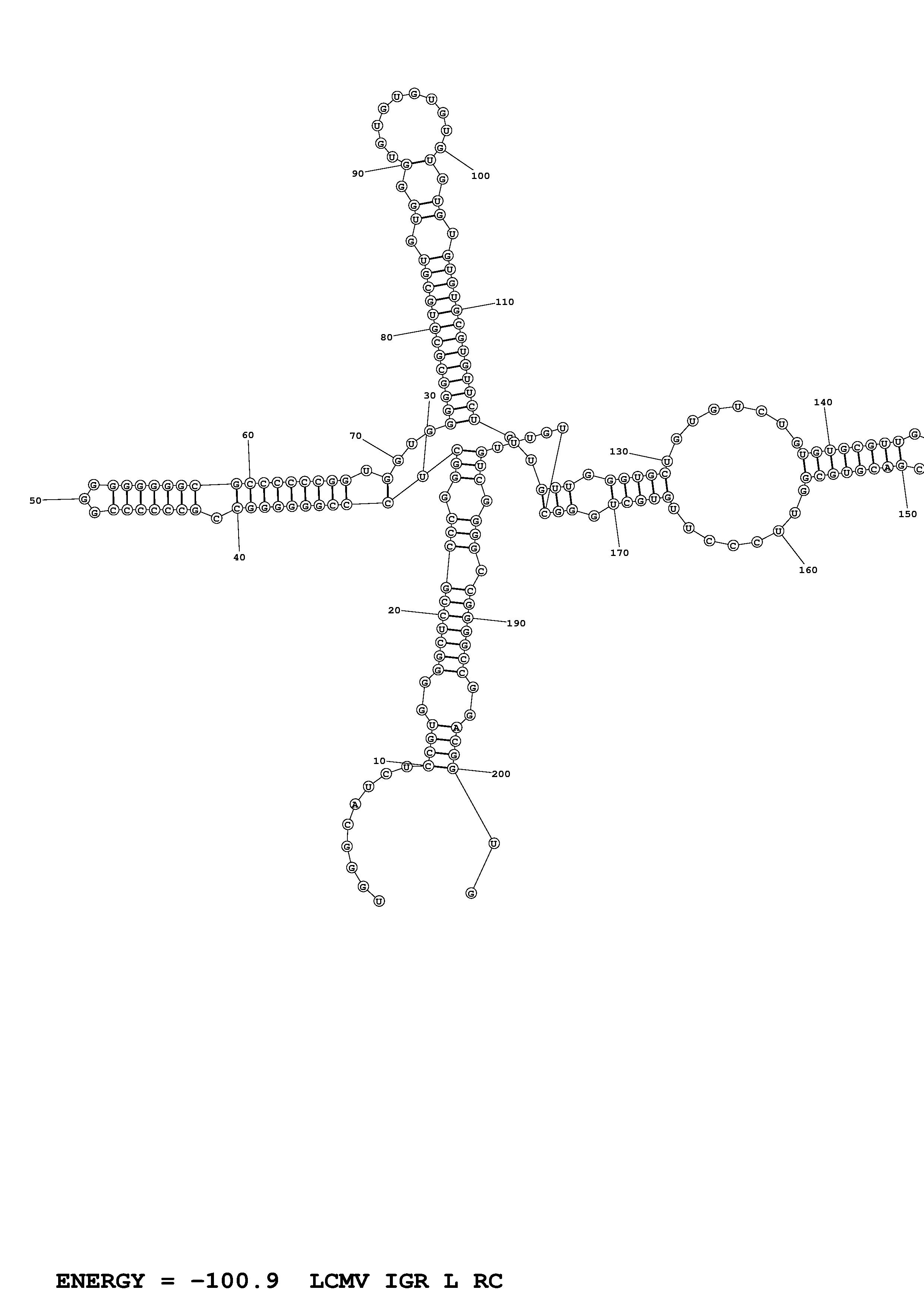
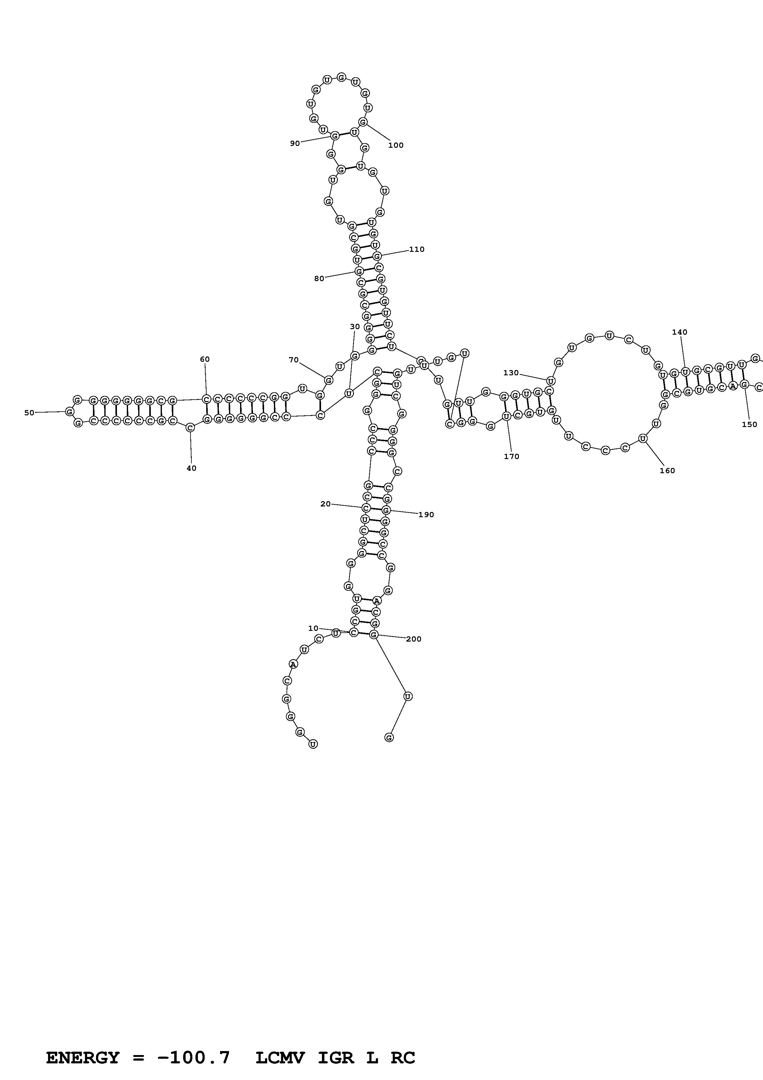
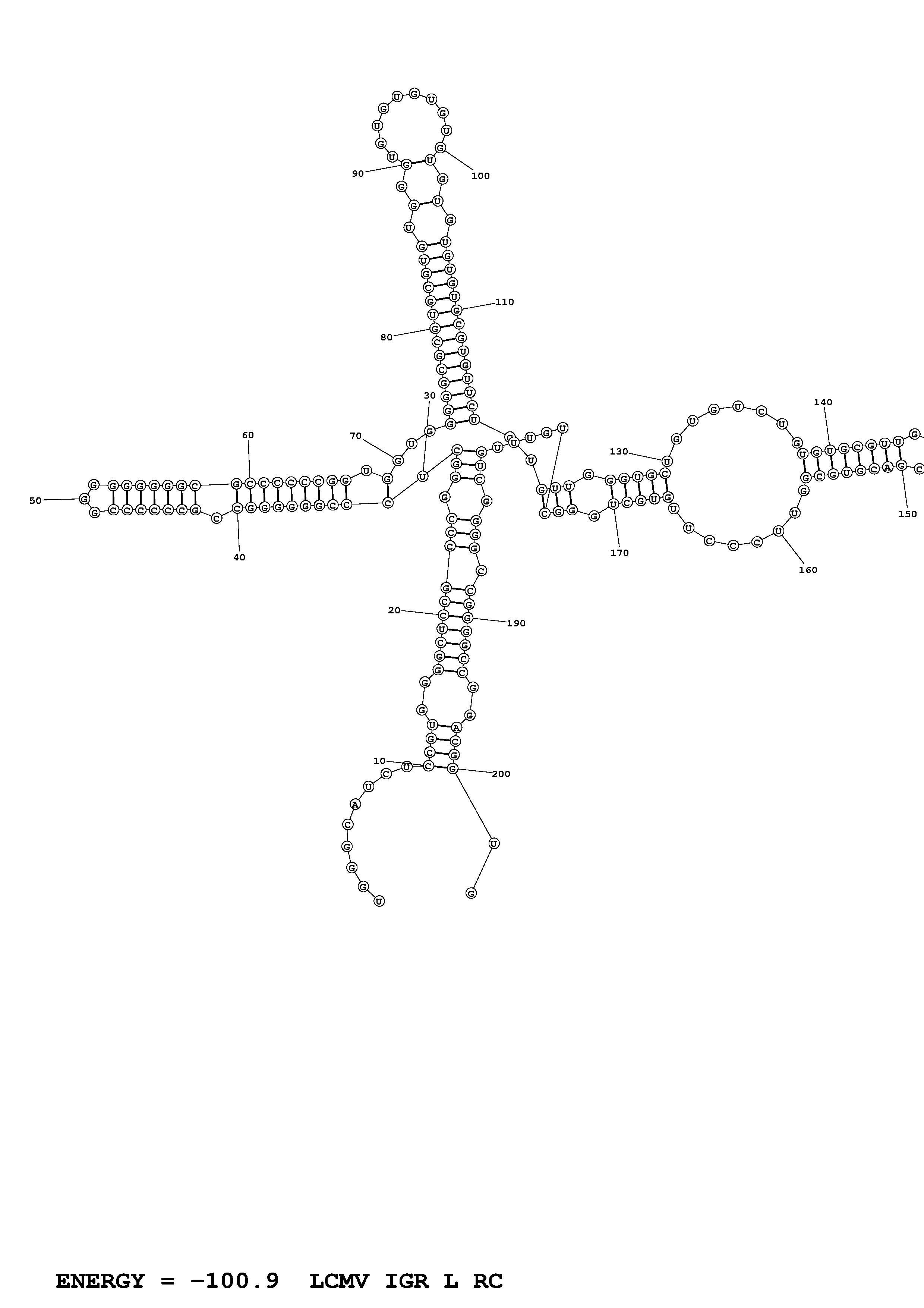
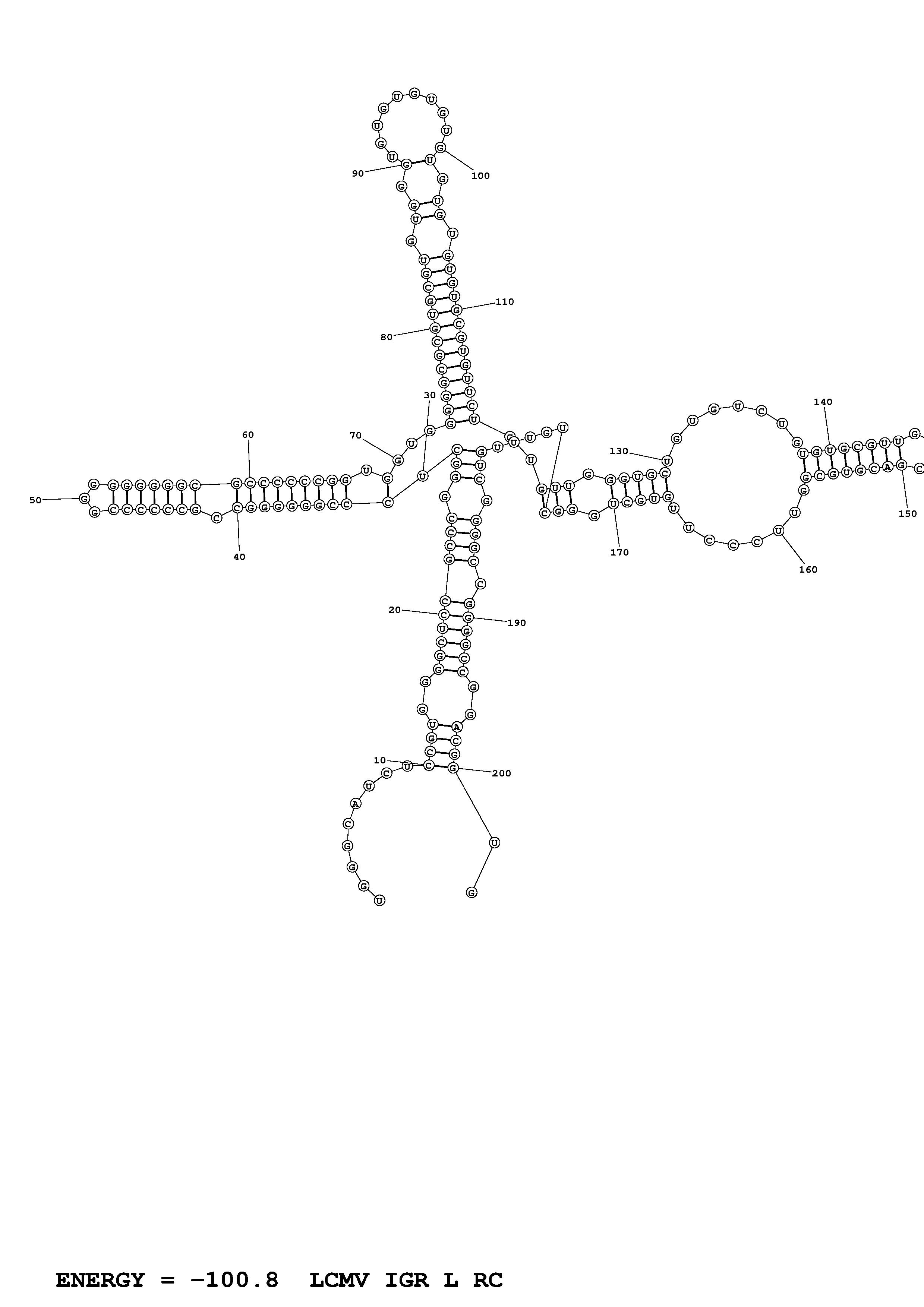
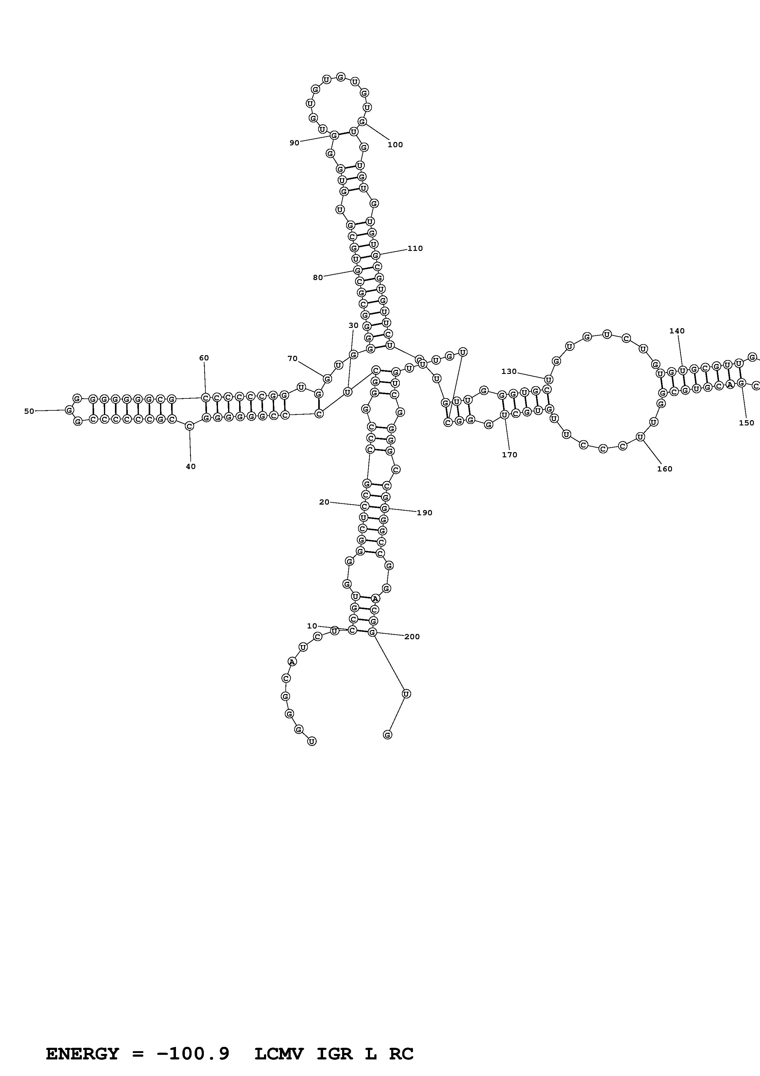
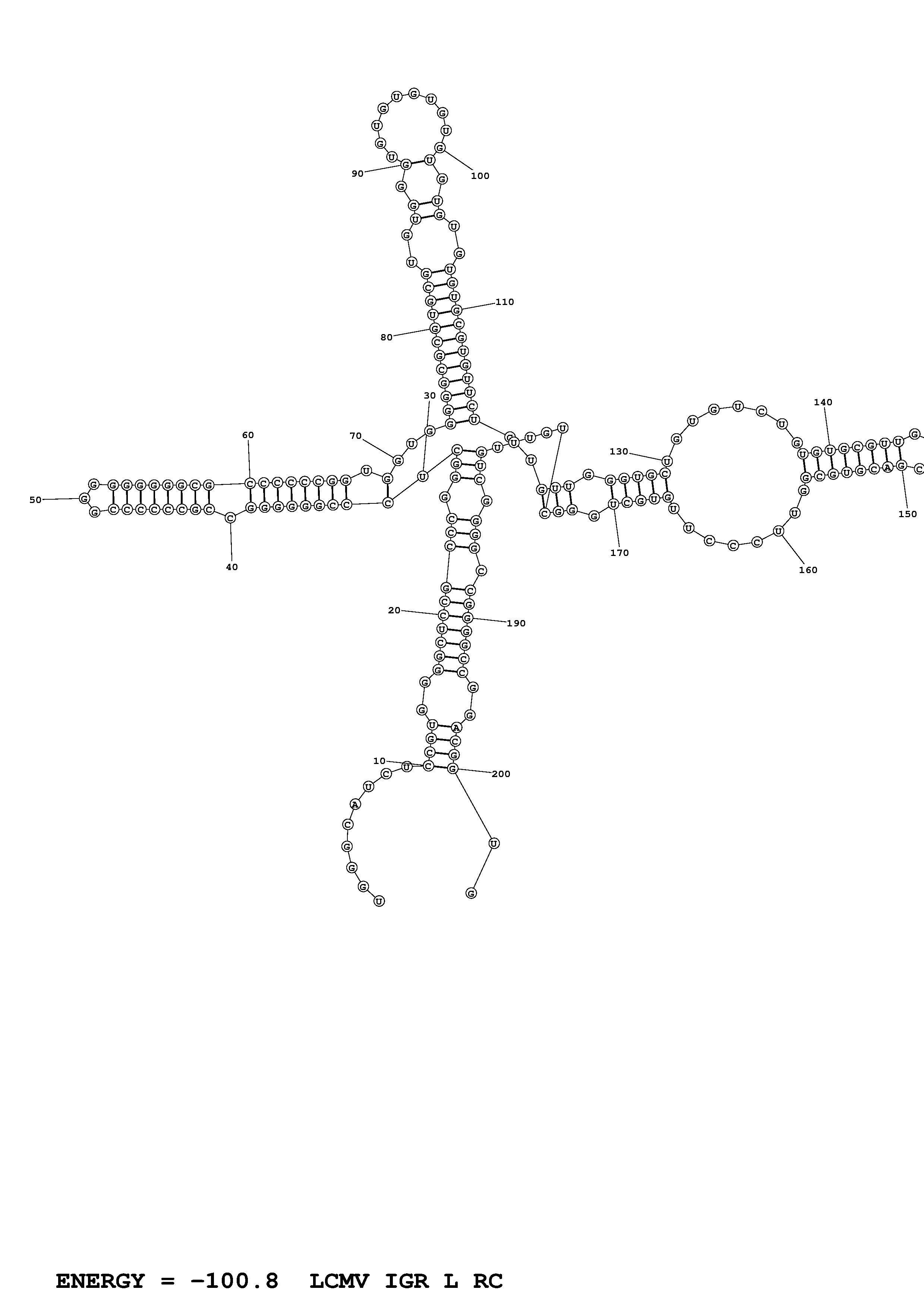
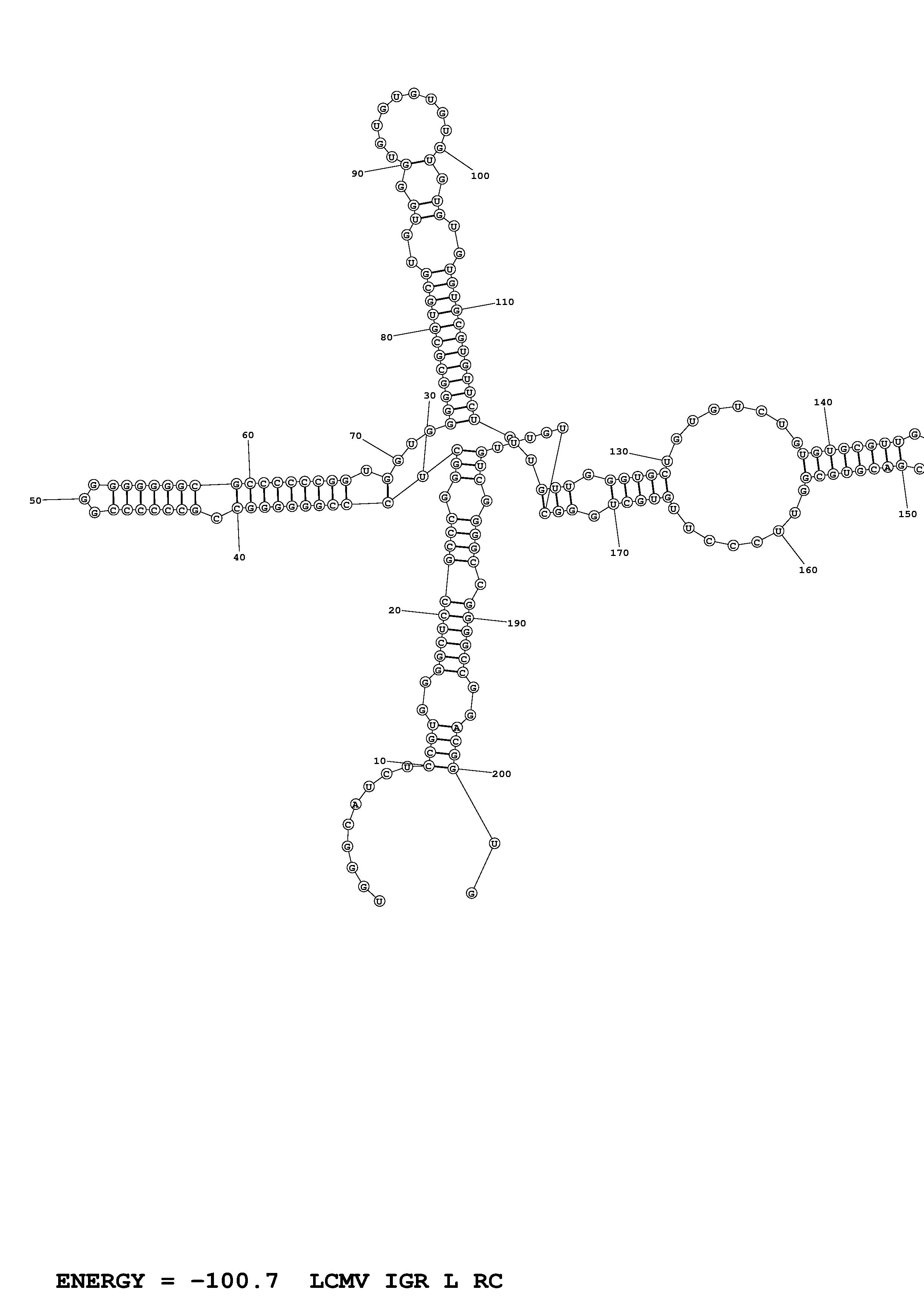
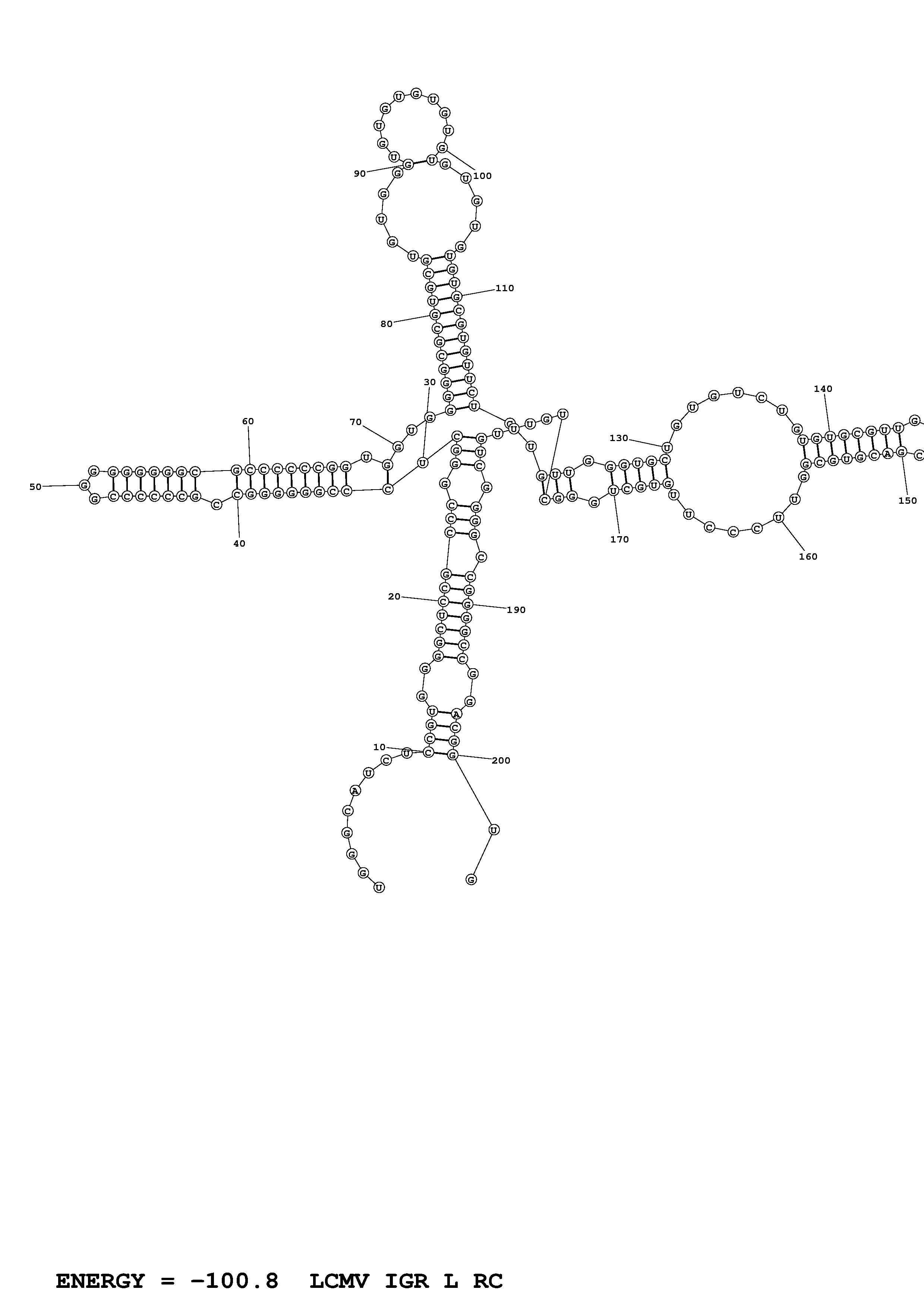
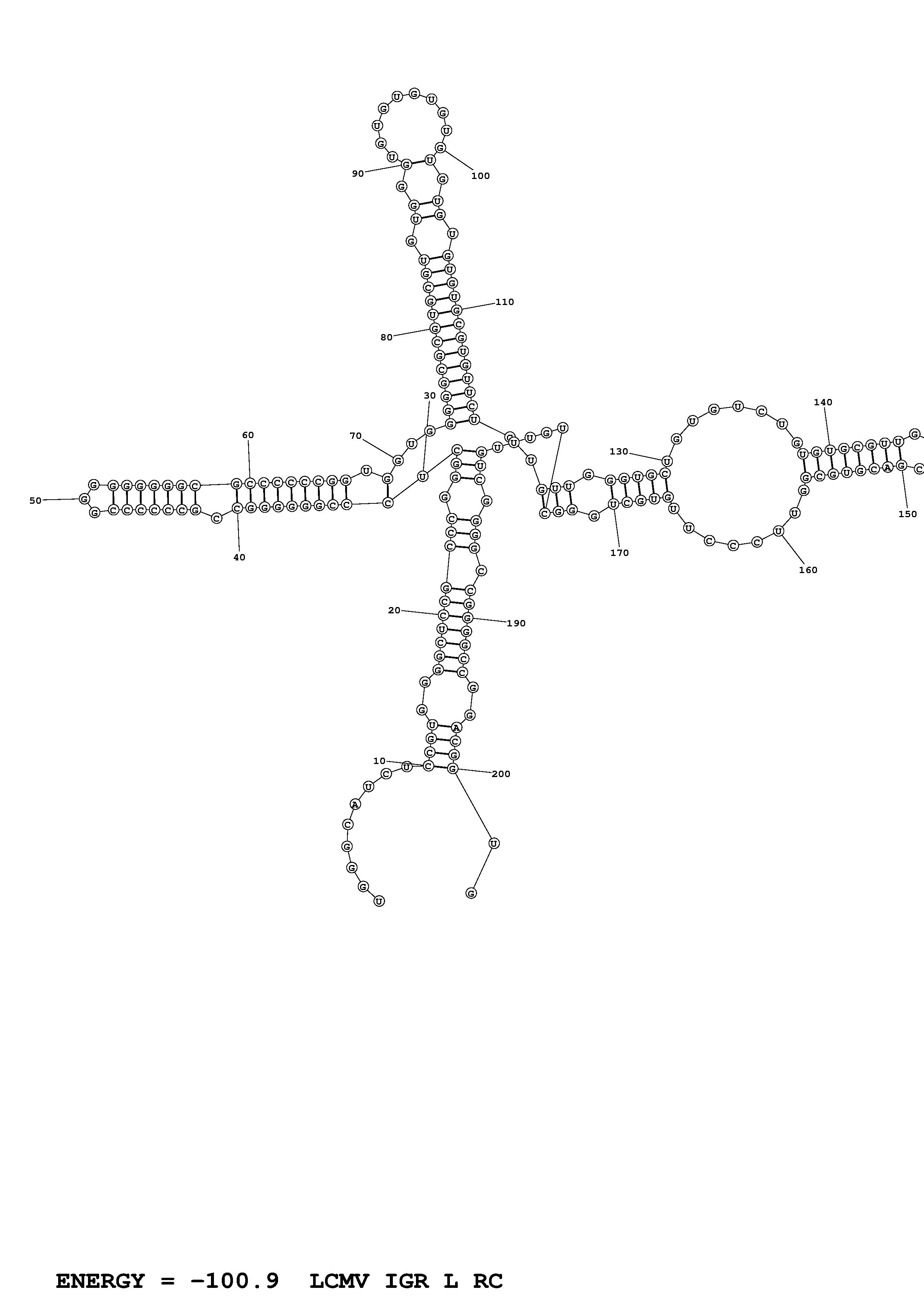
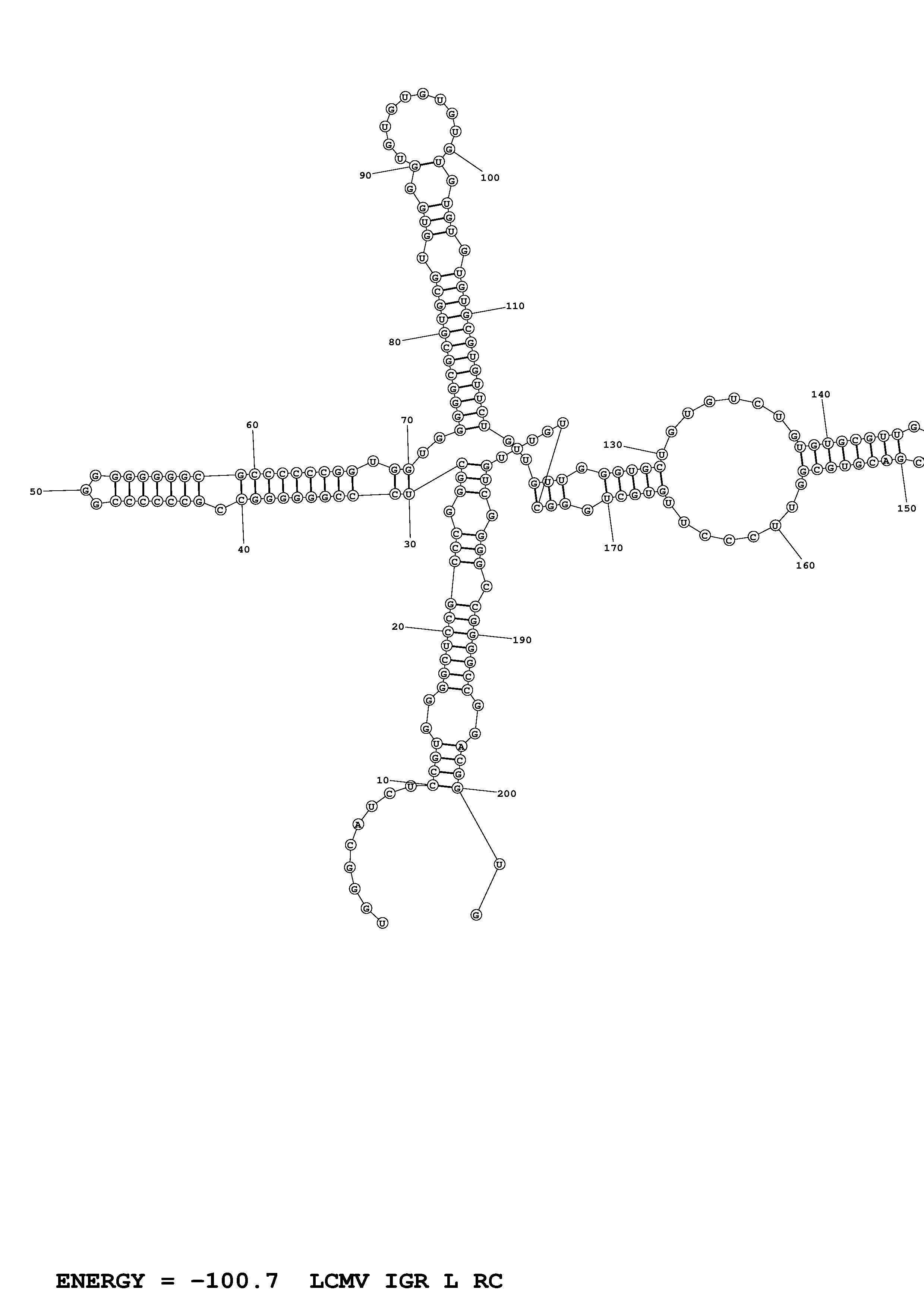
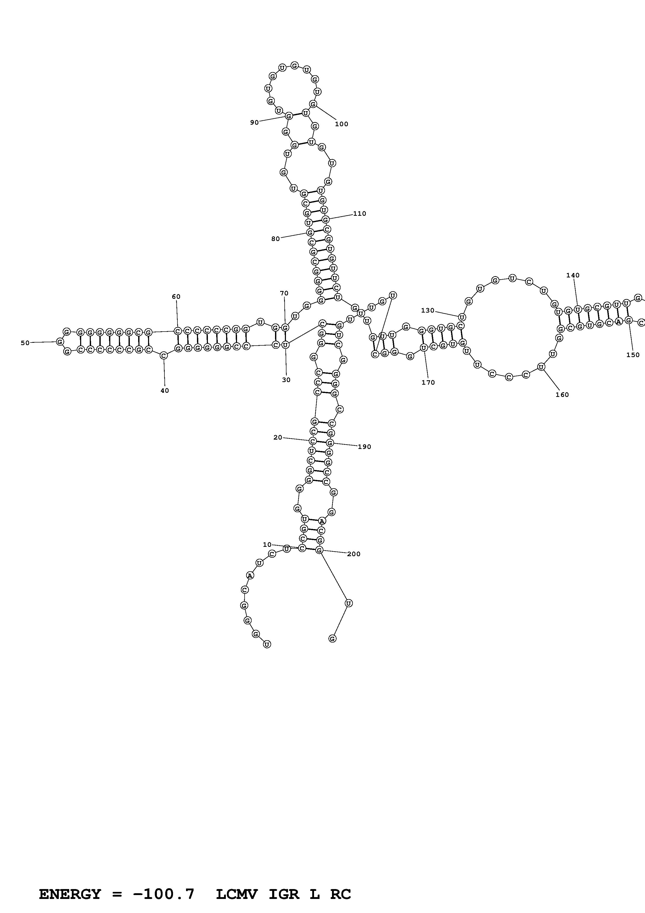
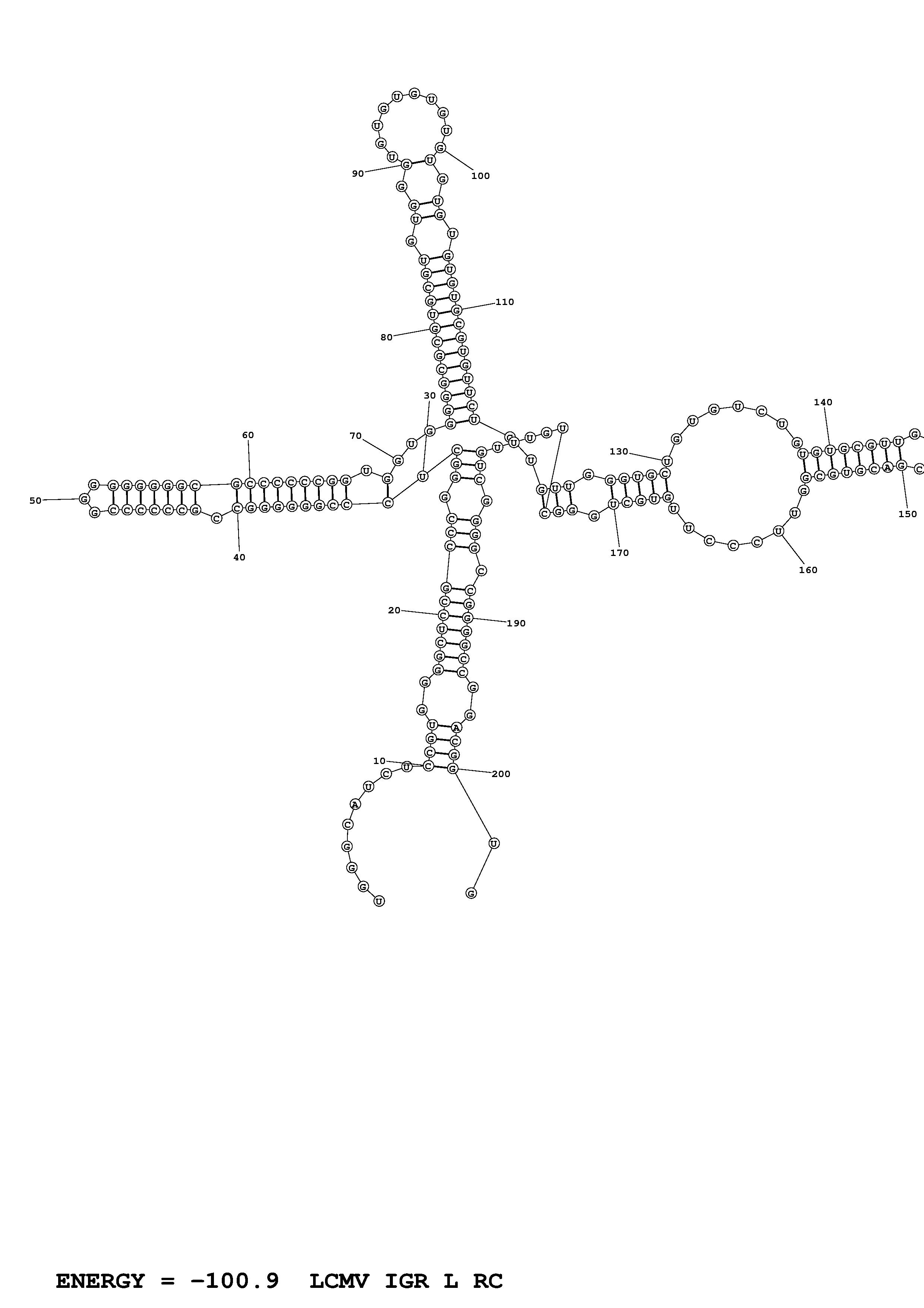
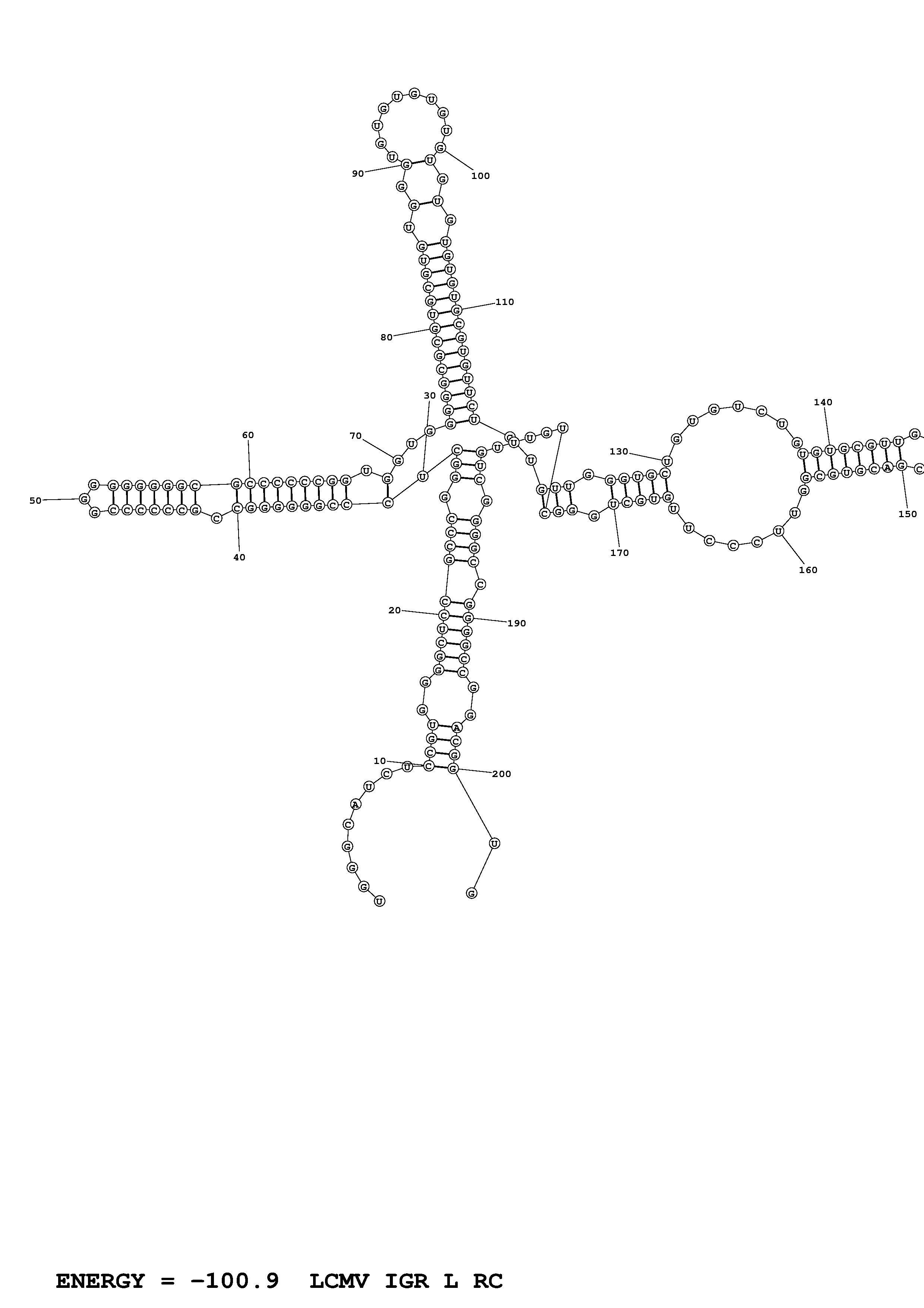
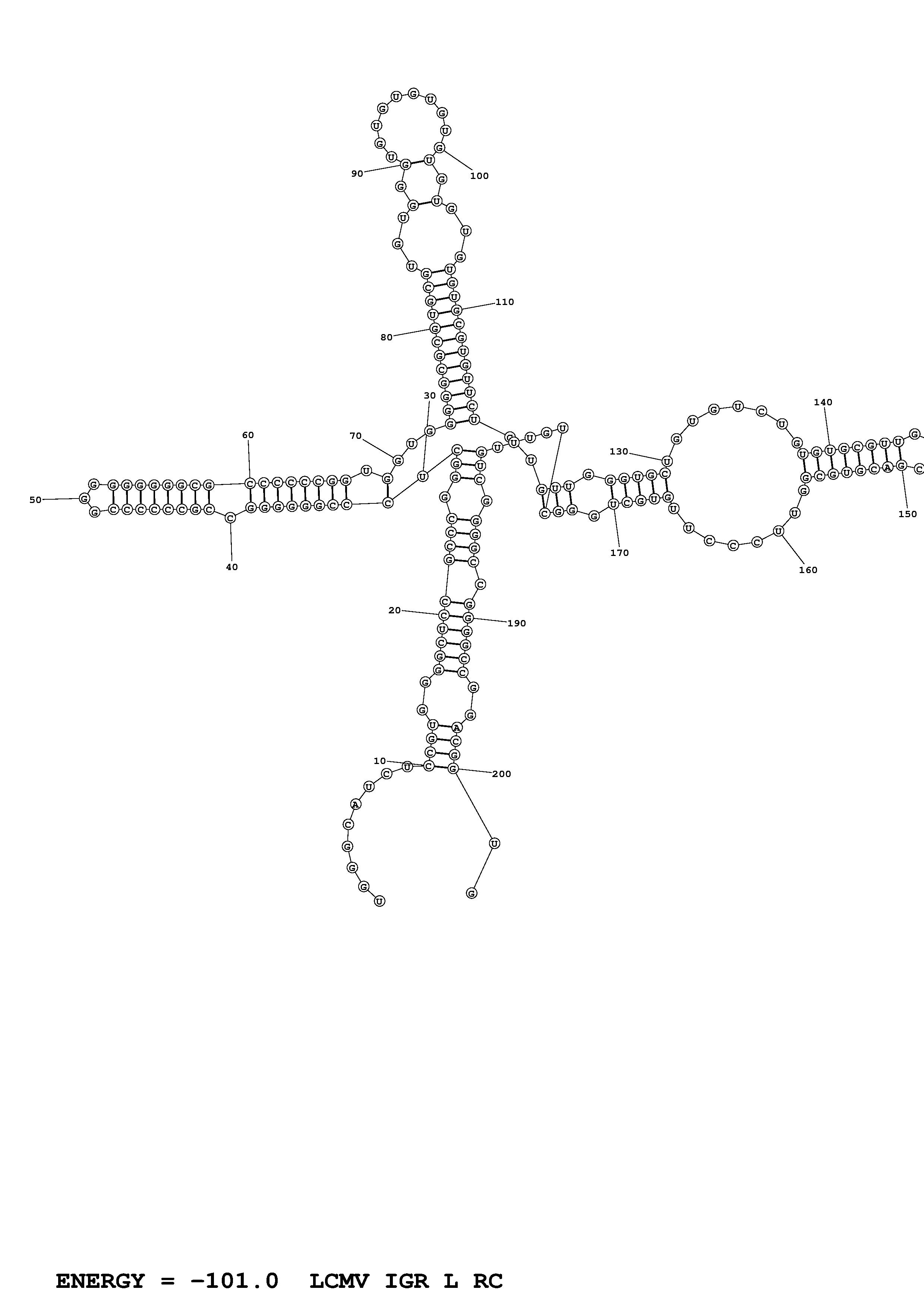
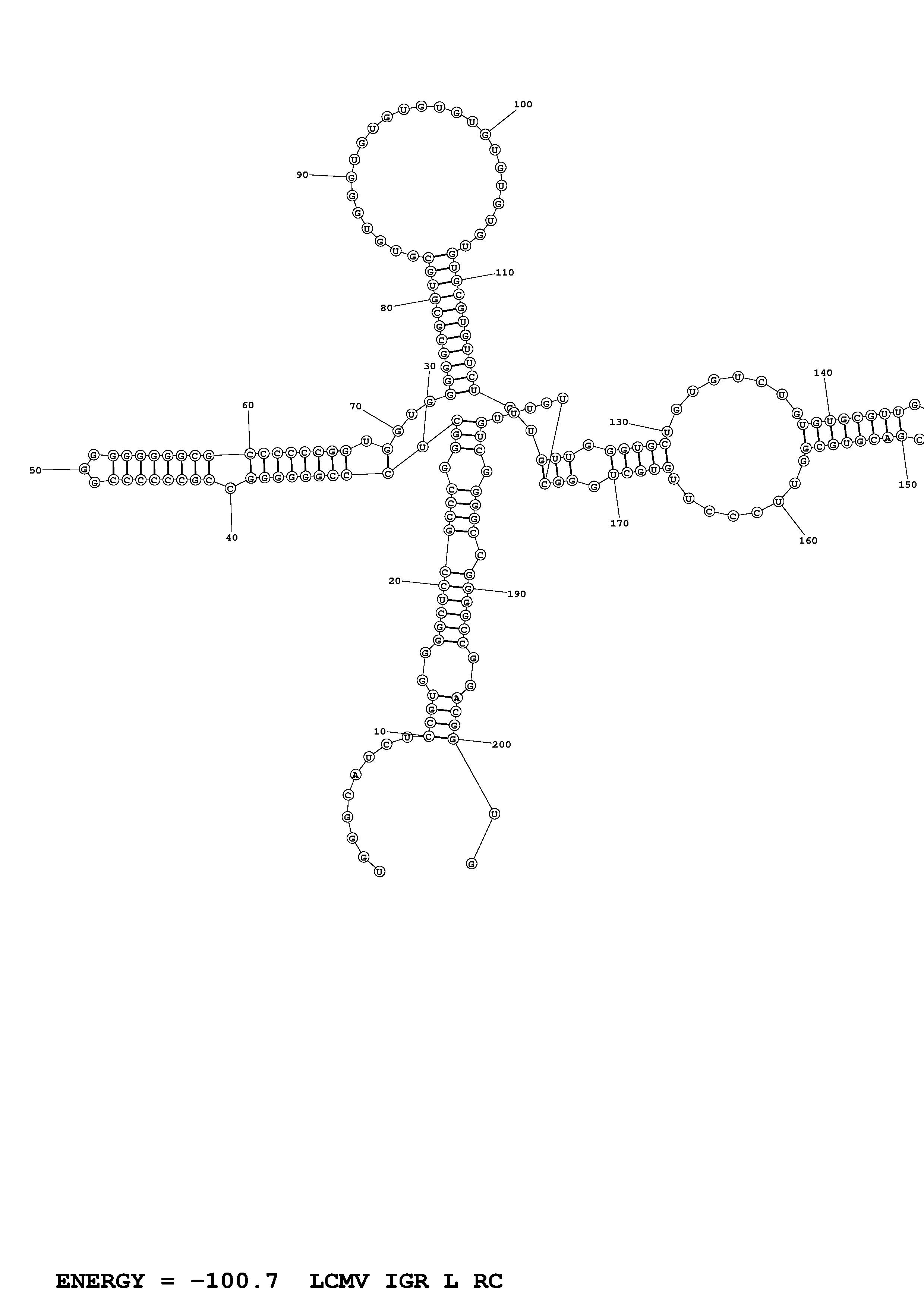
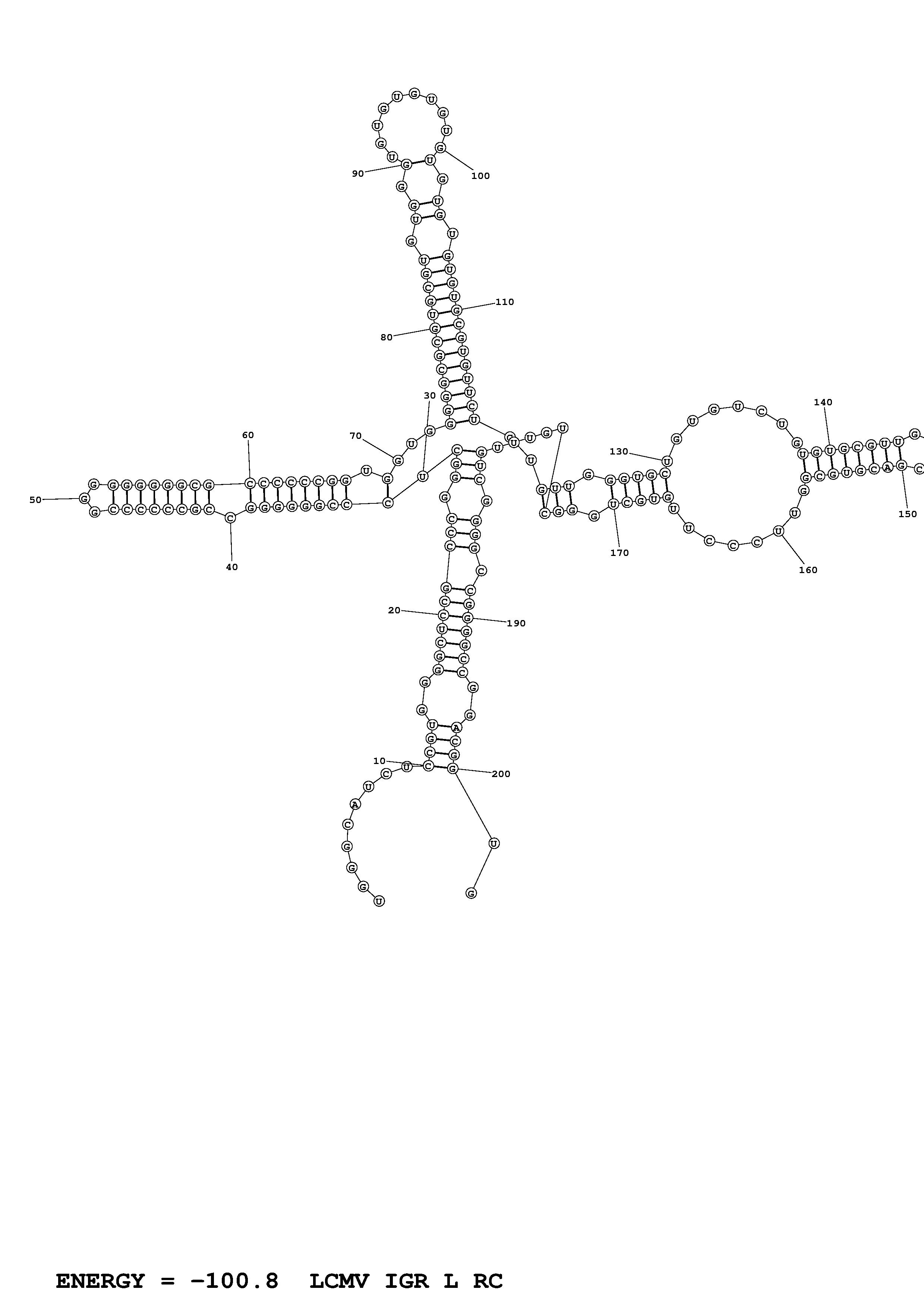
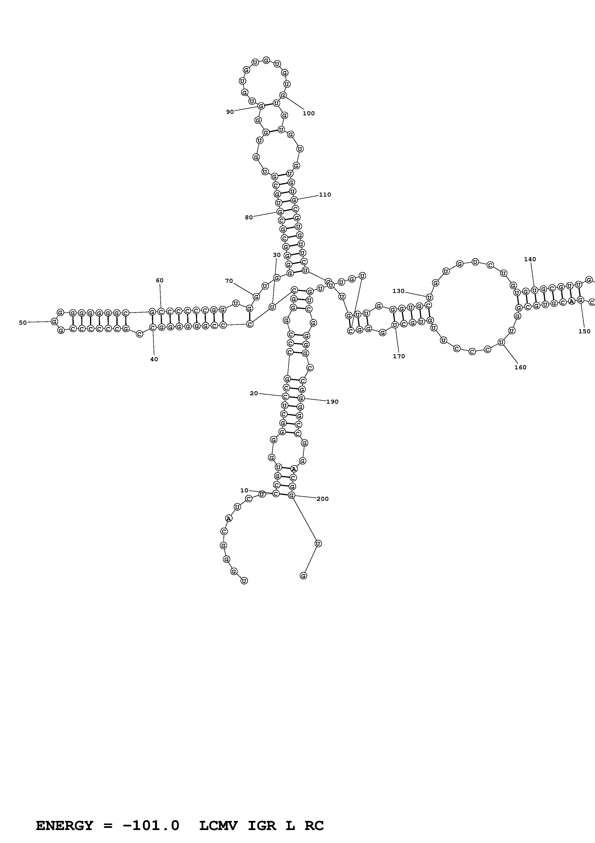
      Structure 2: PDF SVG PS JPEG PNG CT
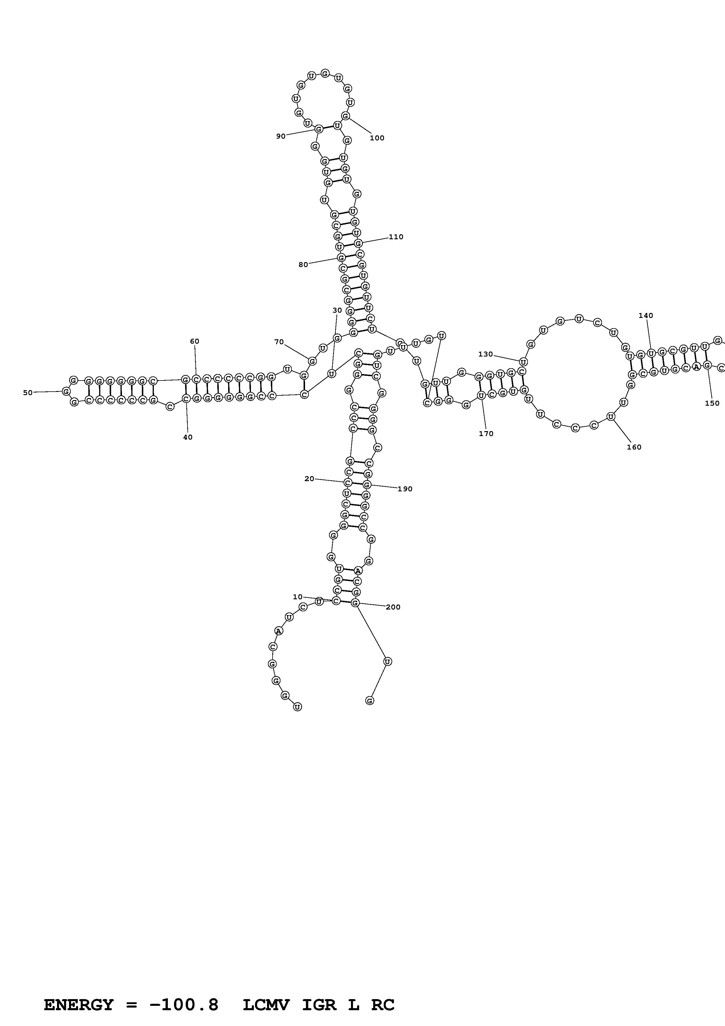
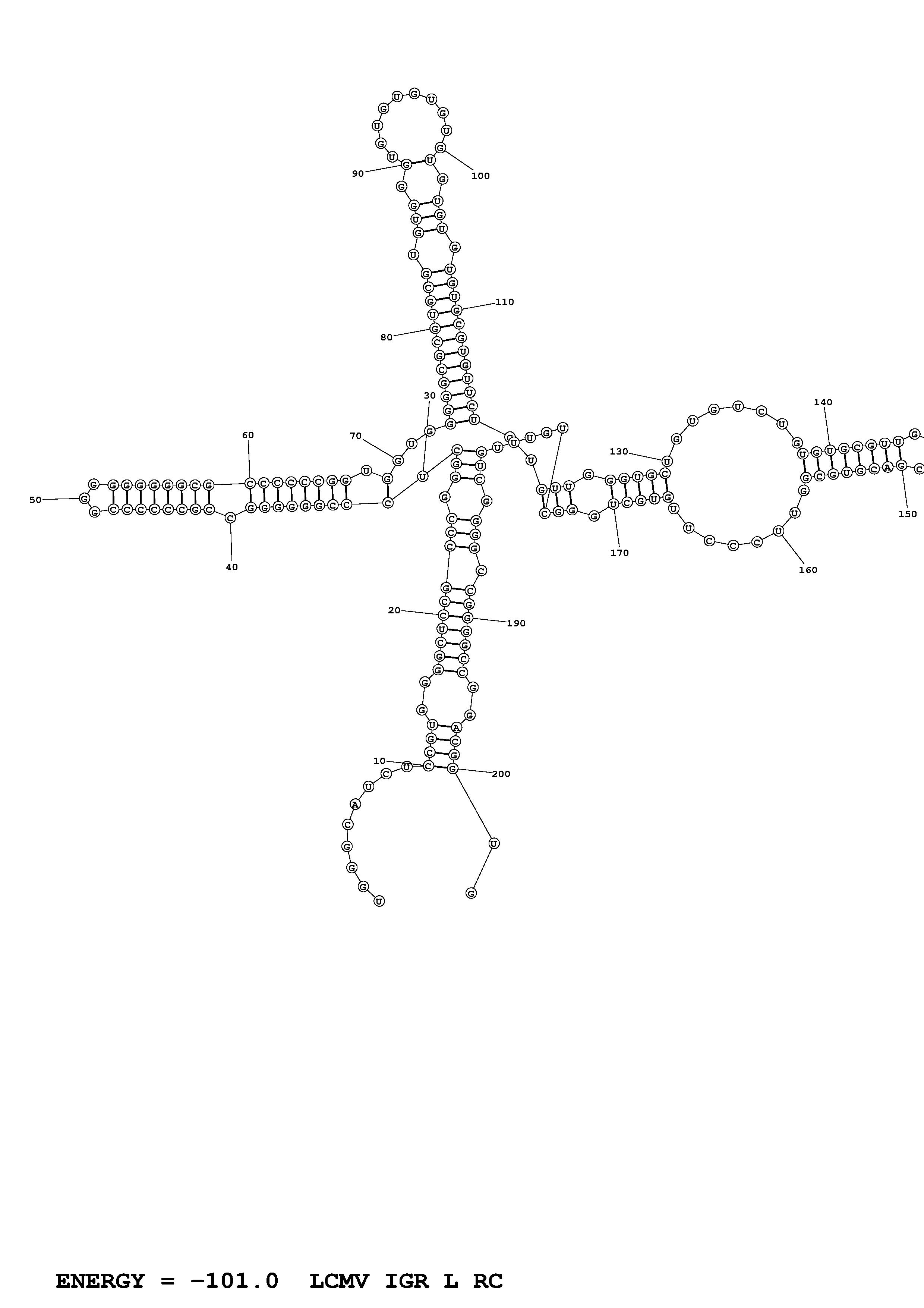
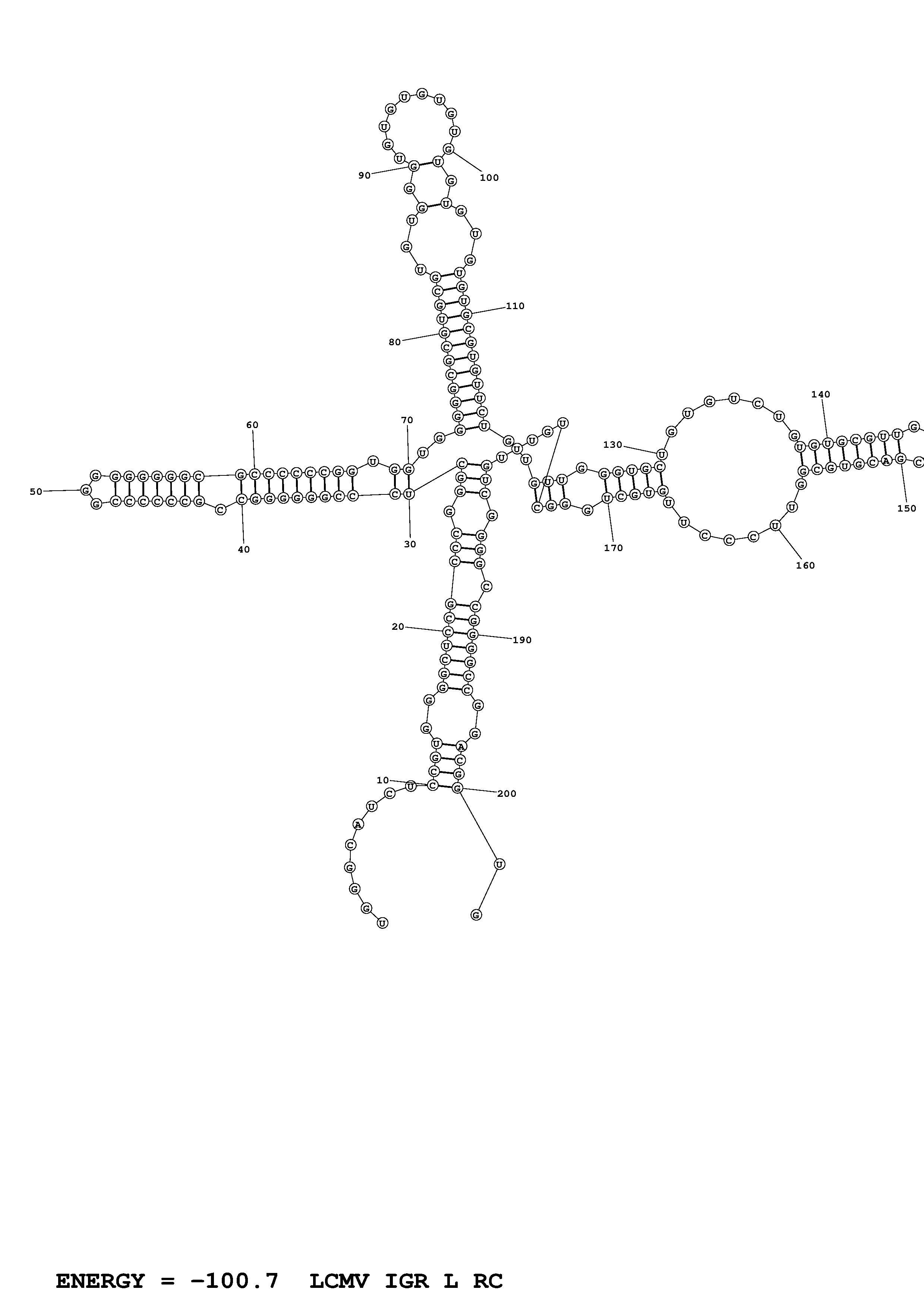
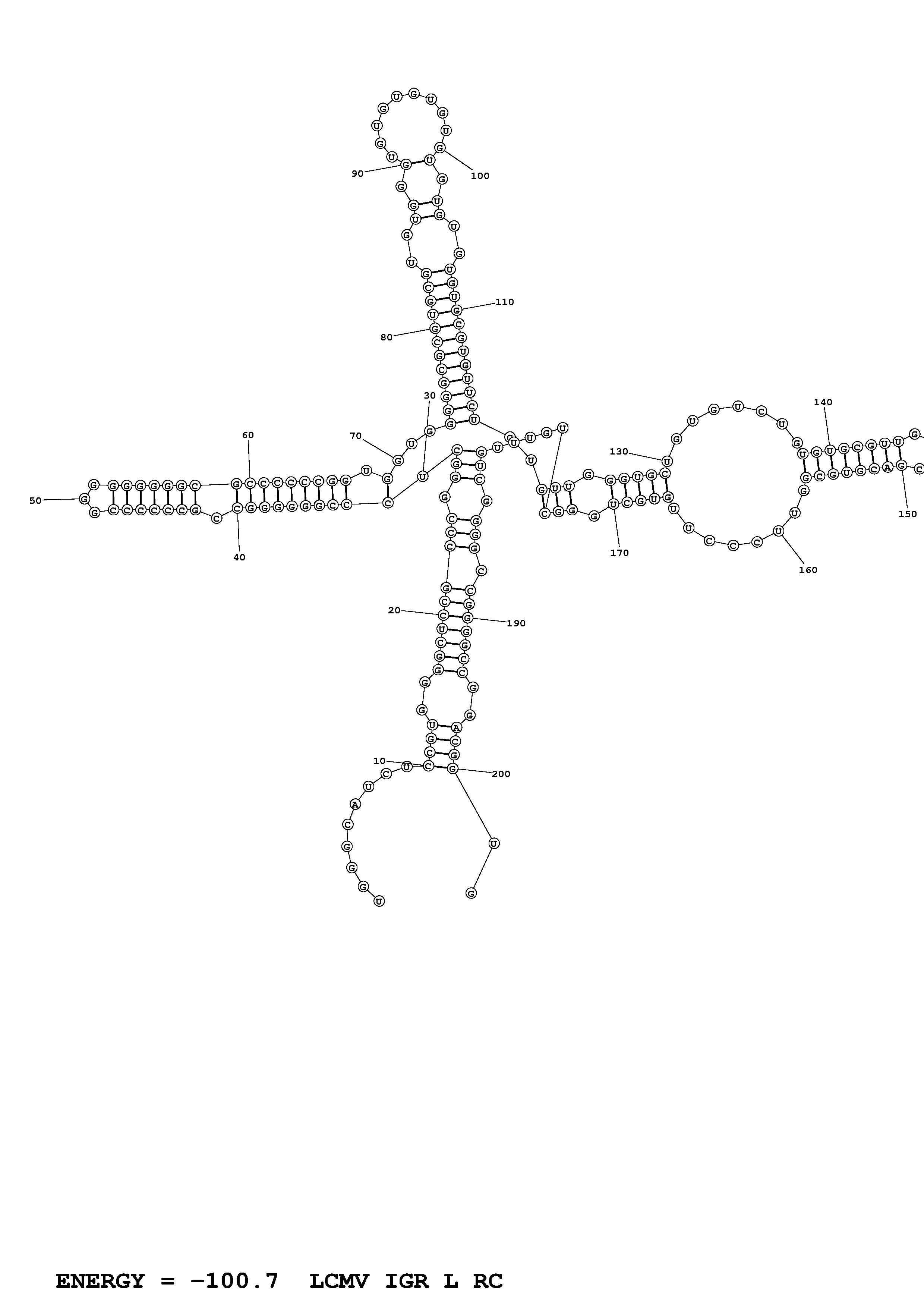
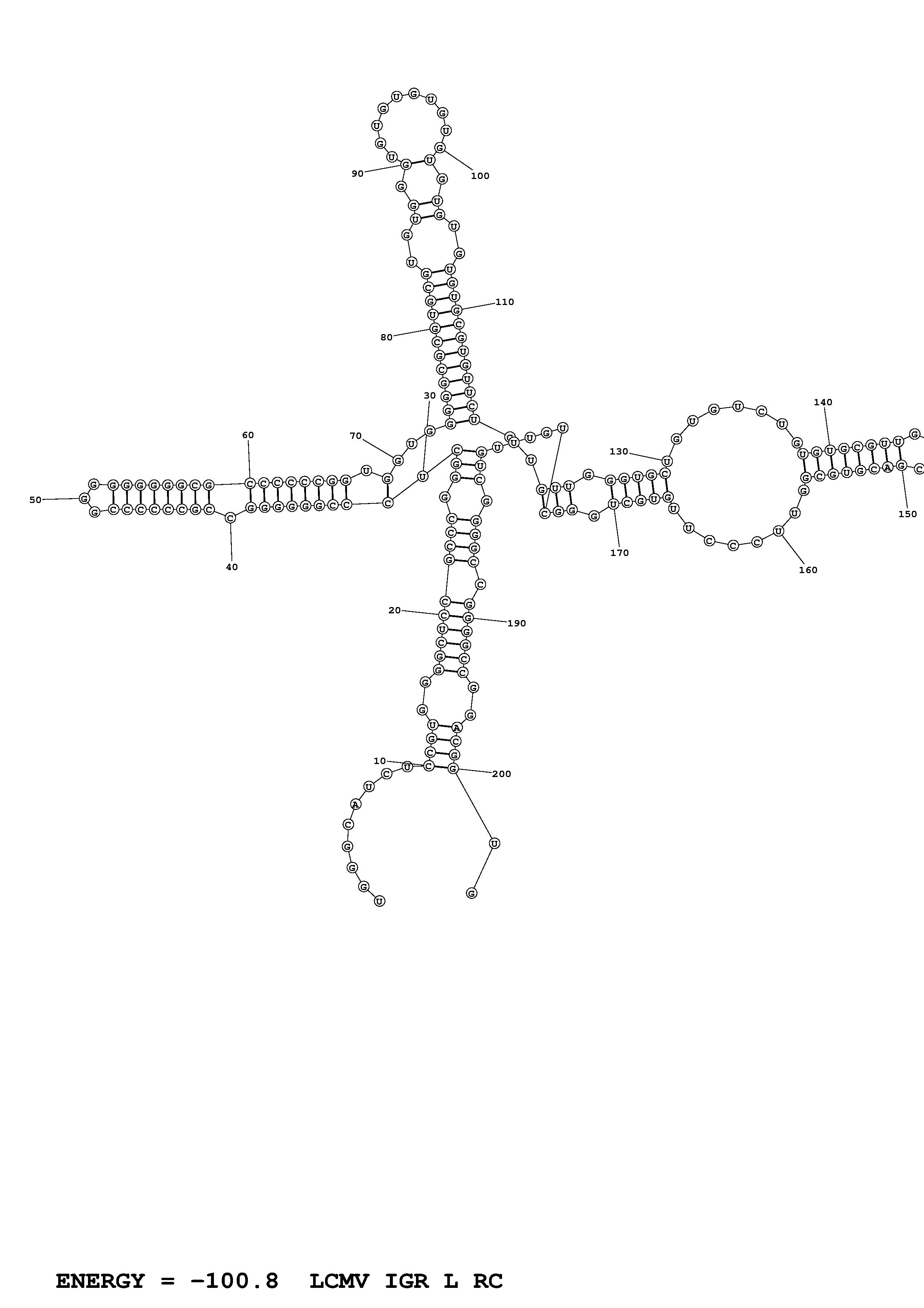
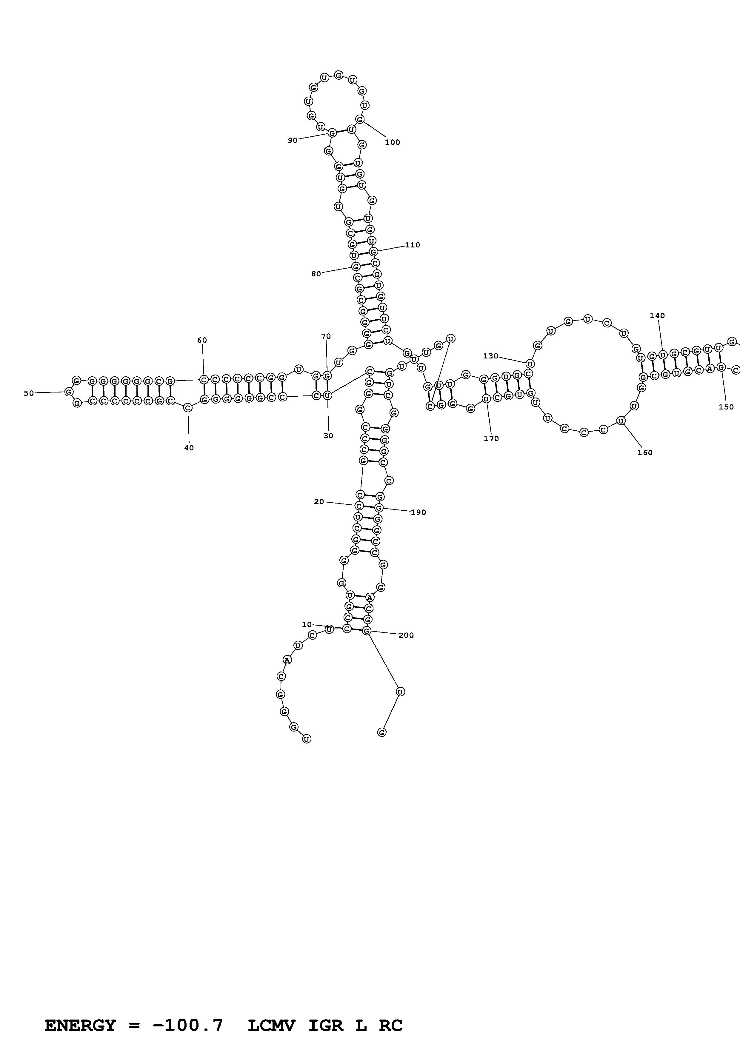
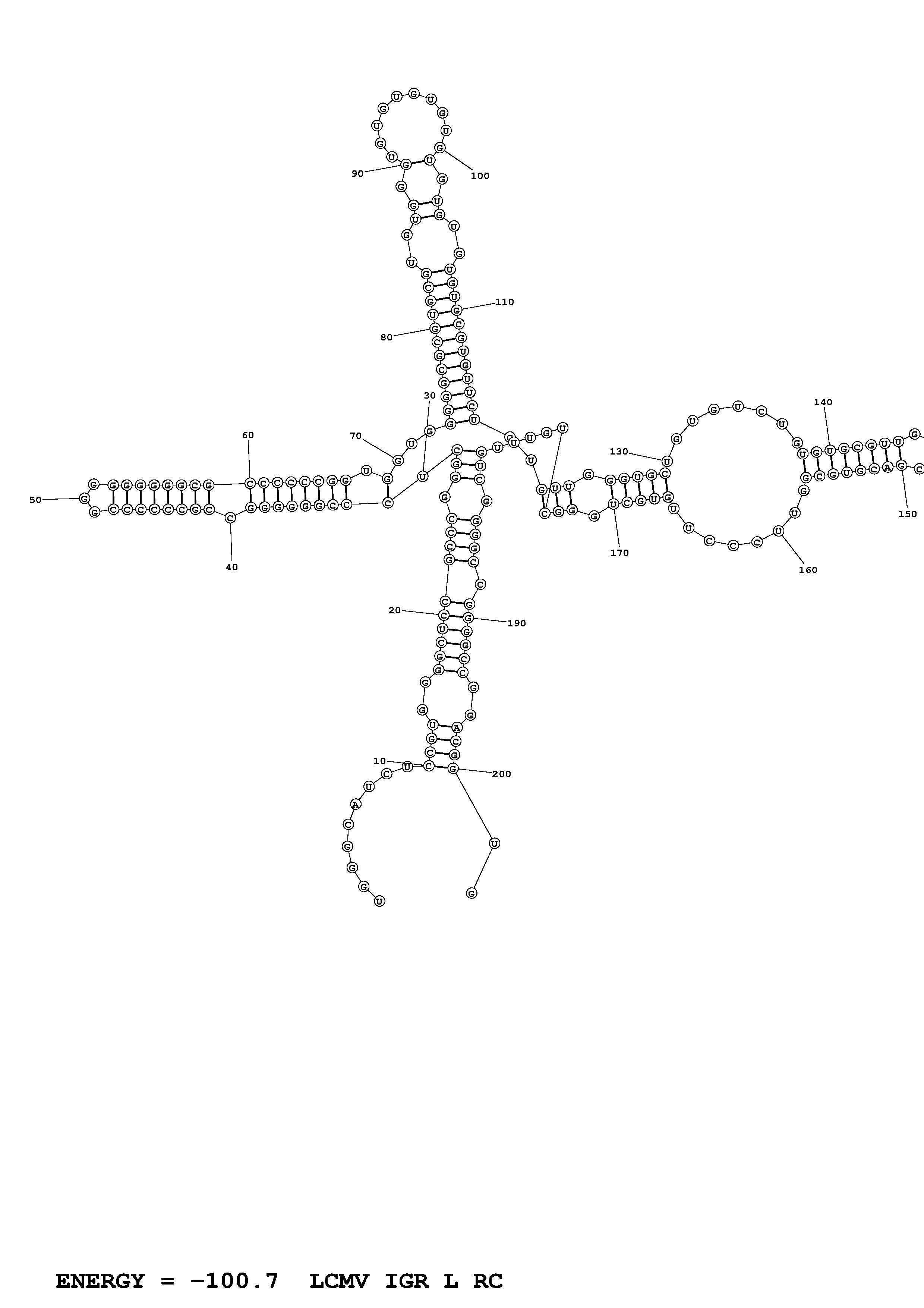
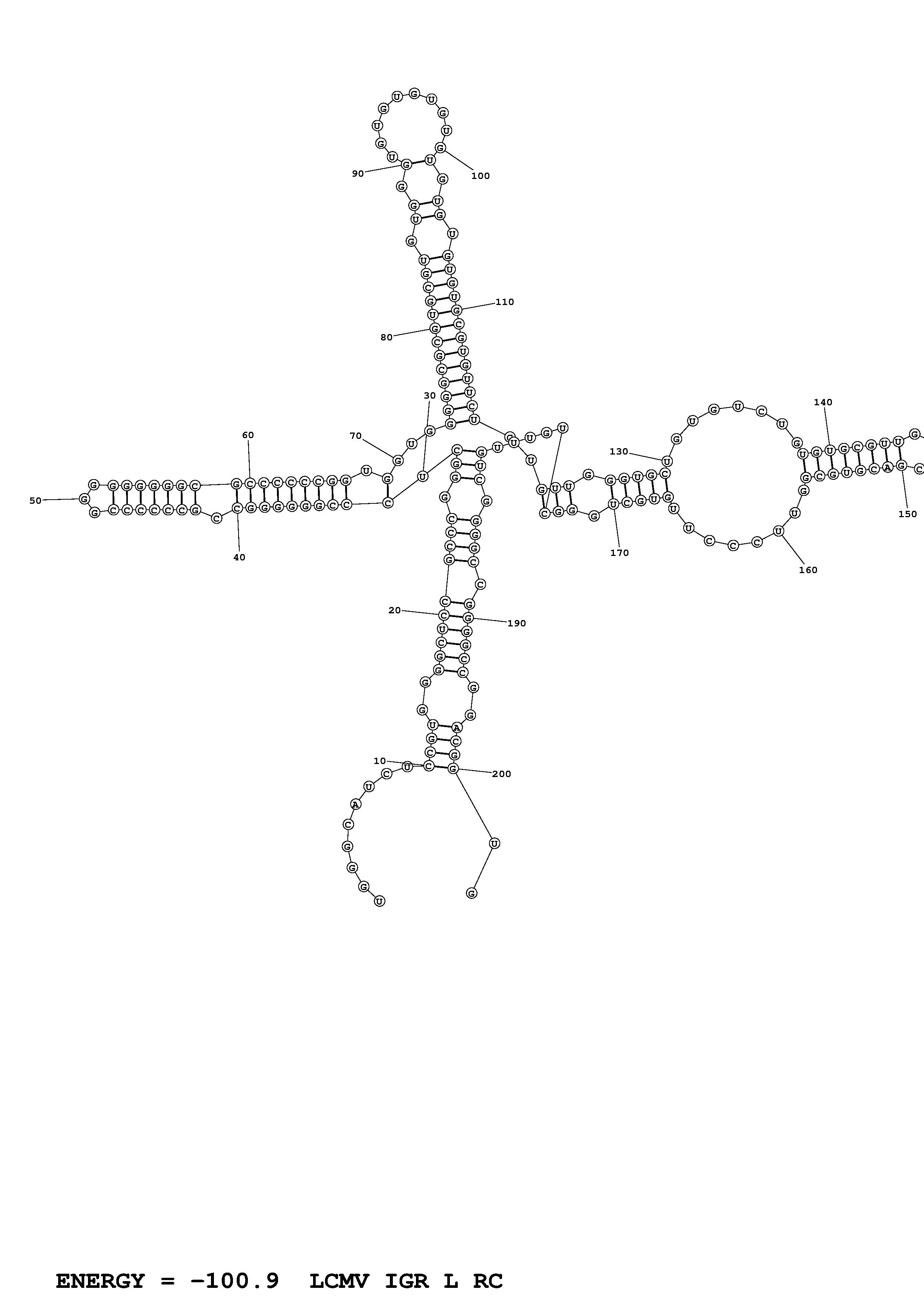
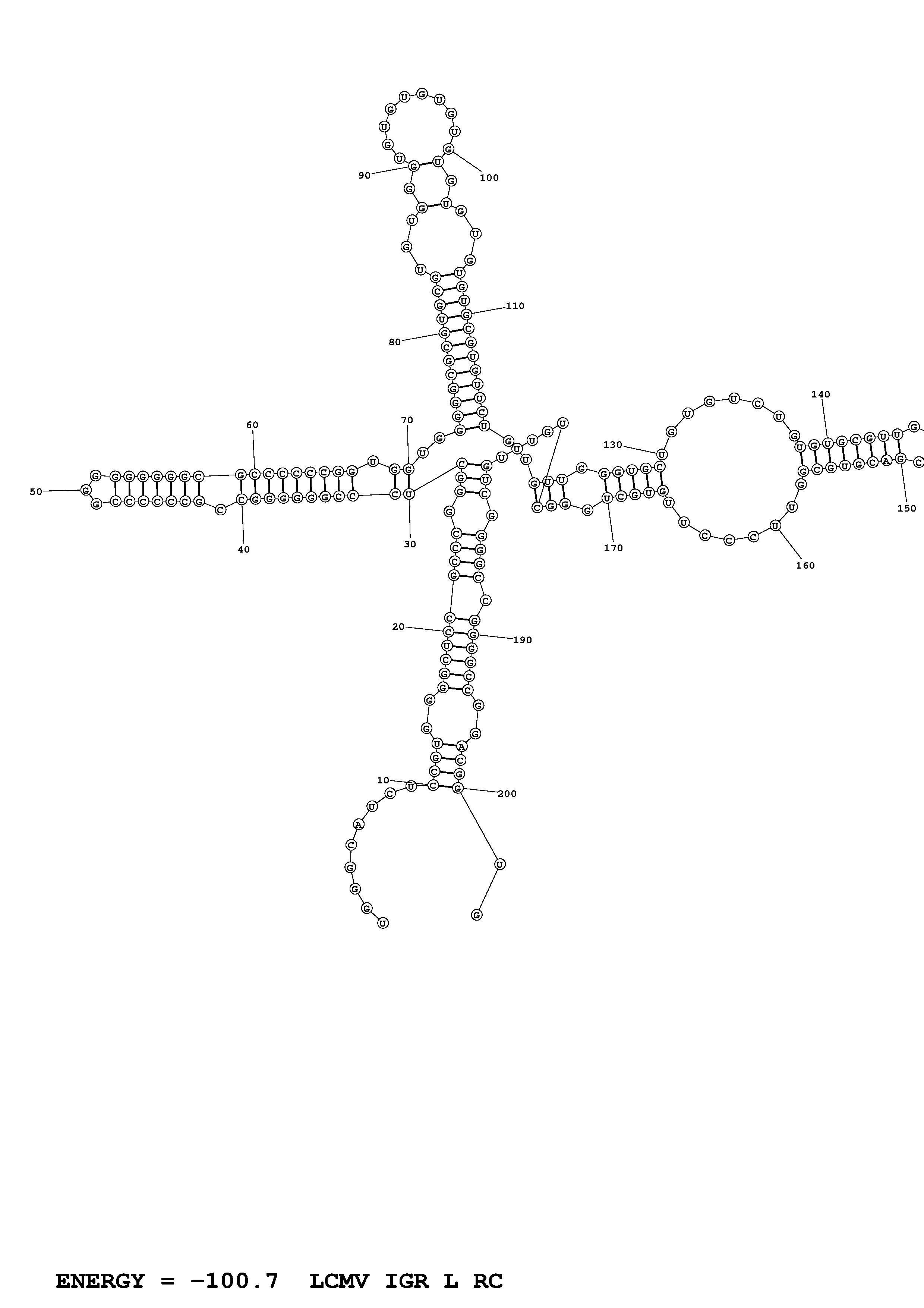
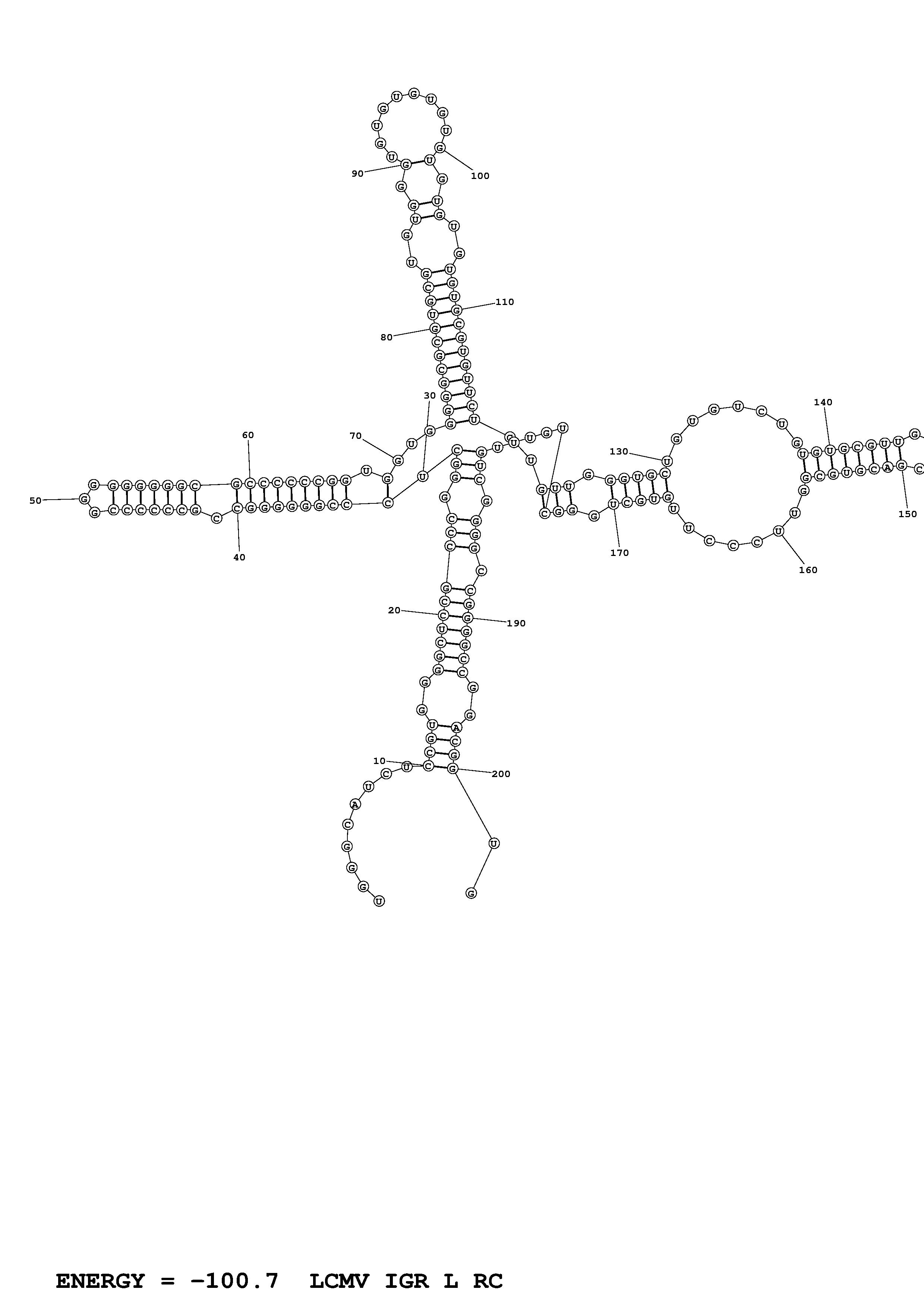
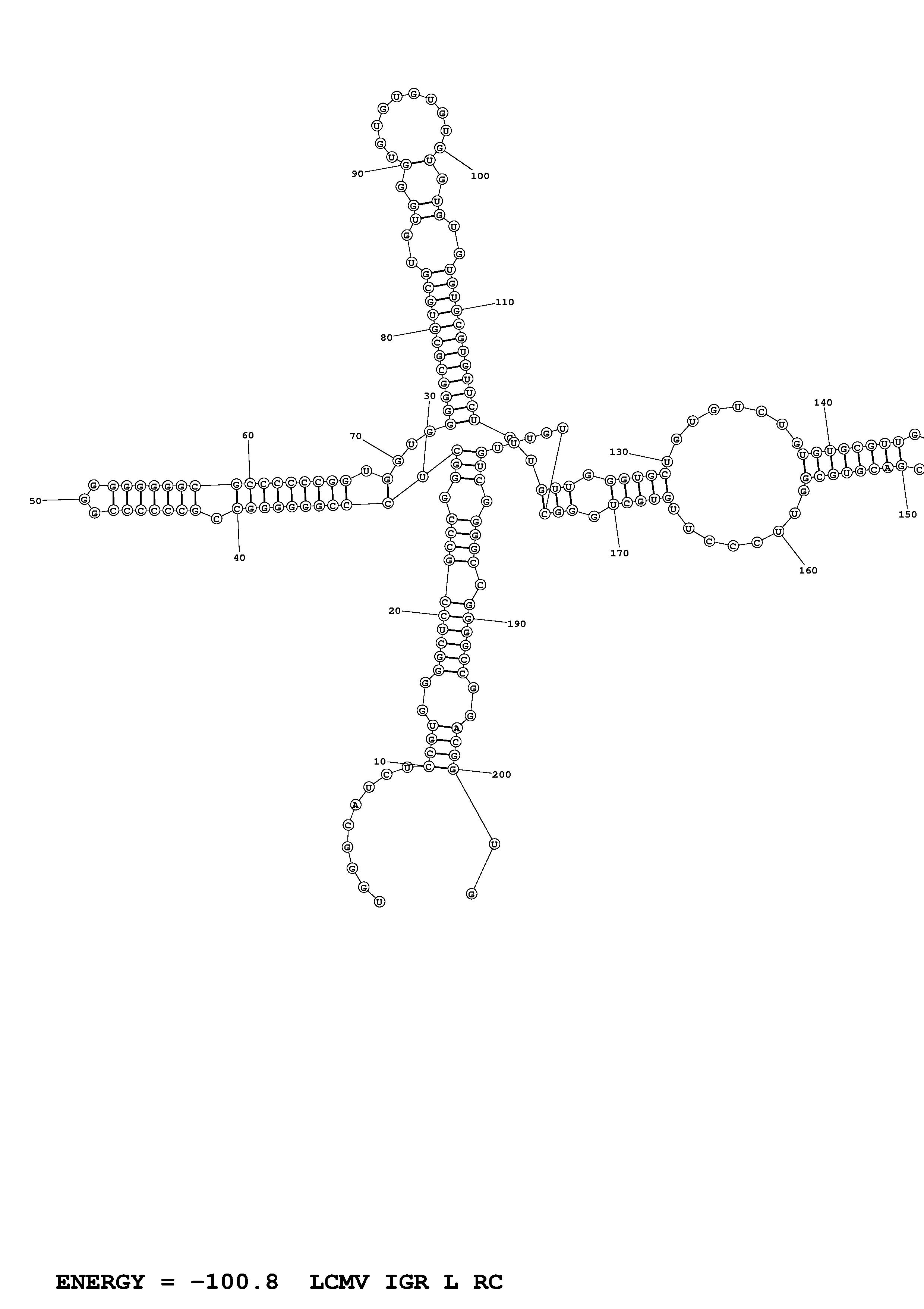
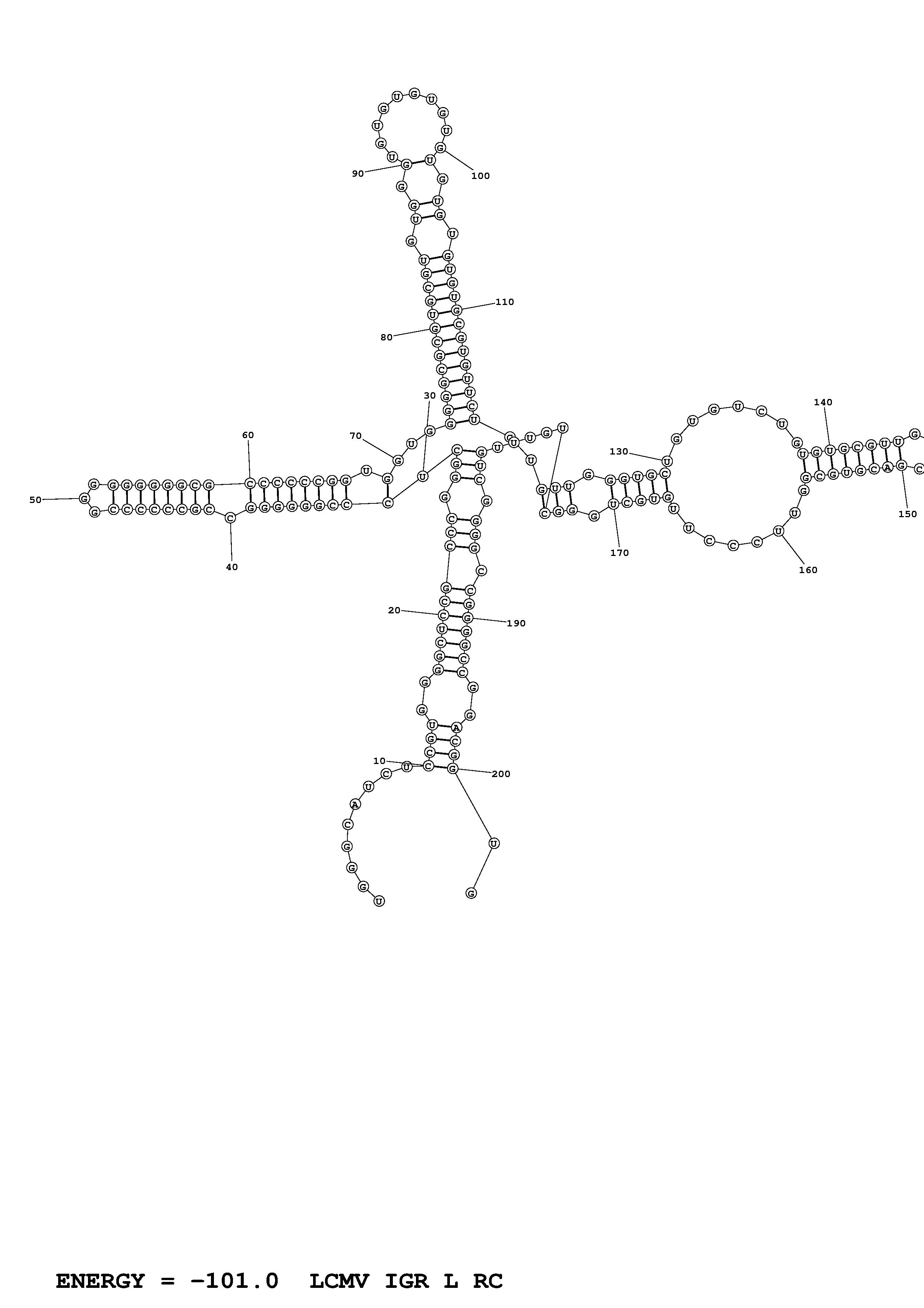
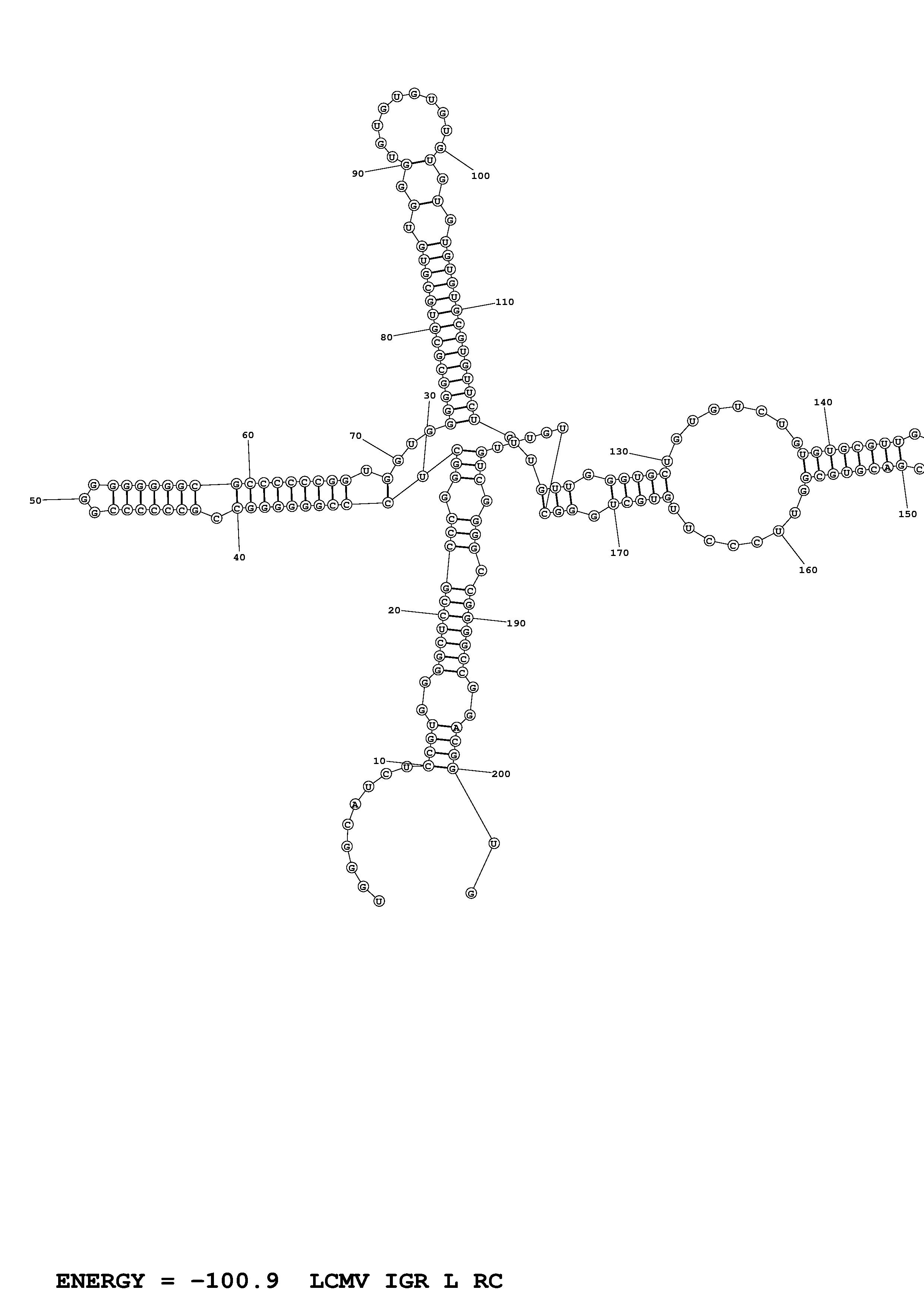
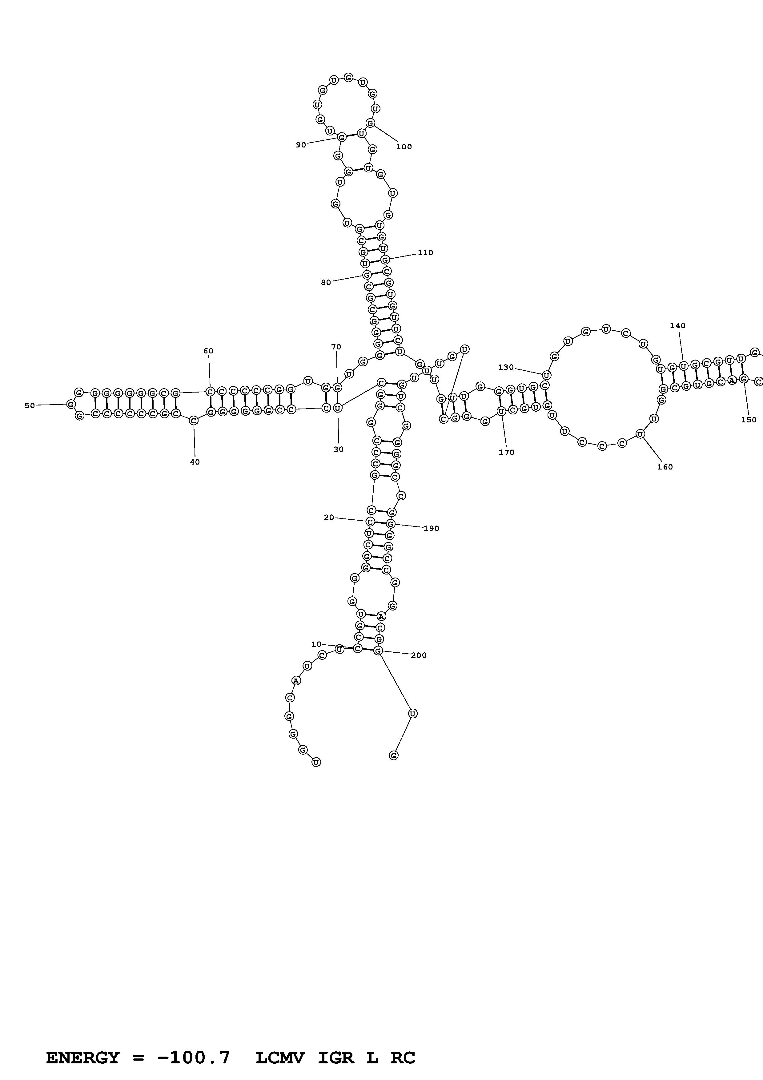
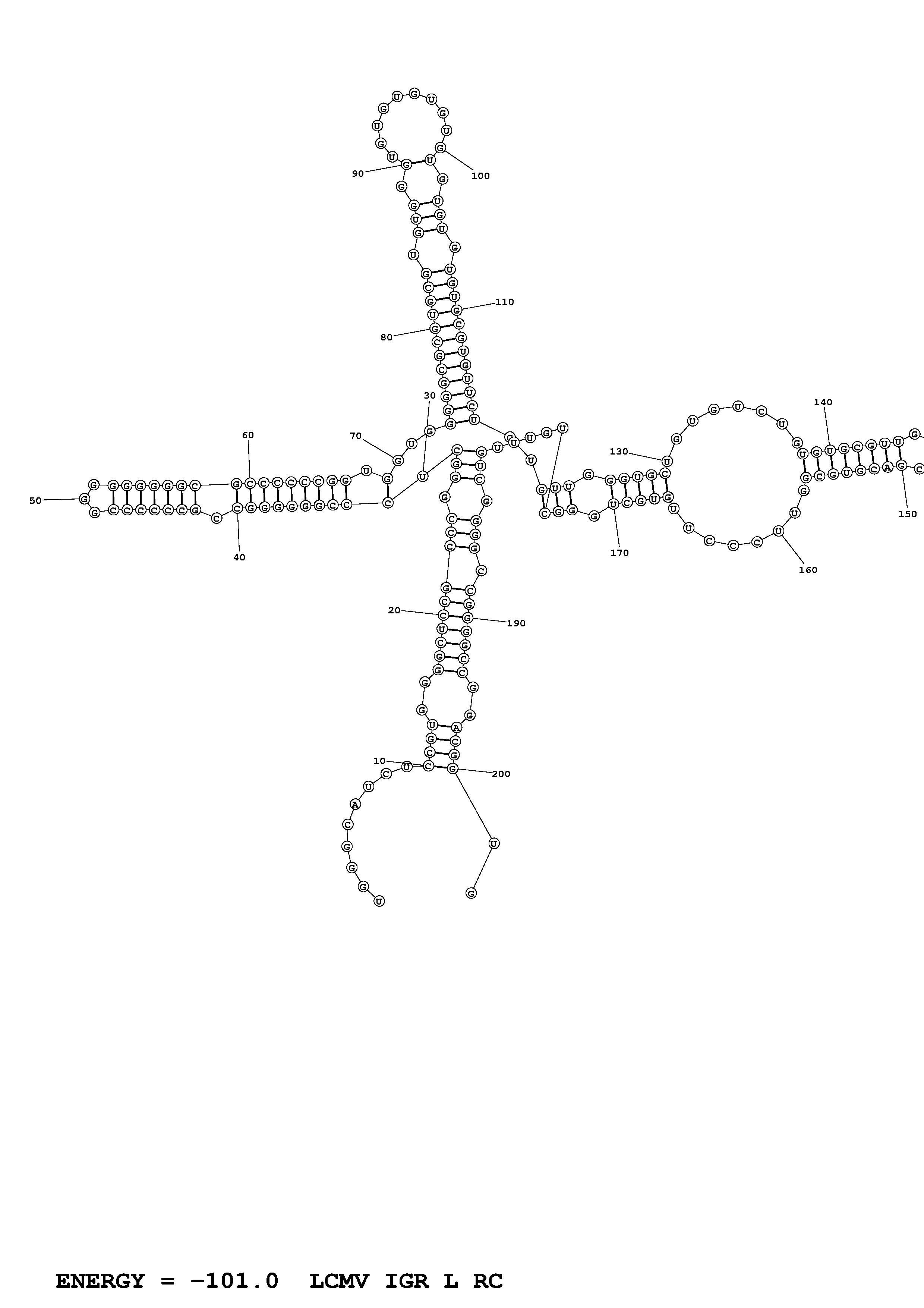
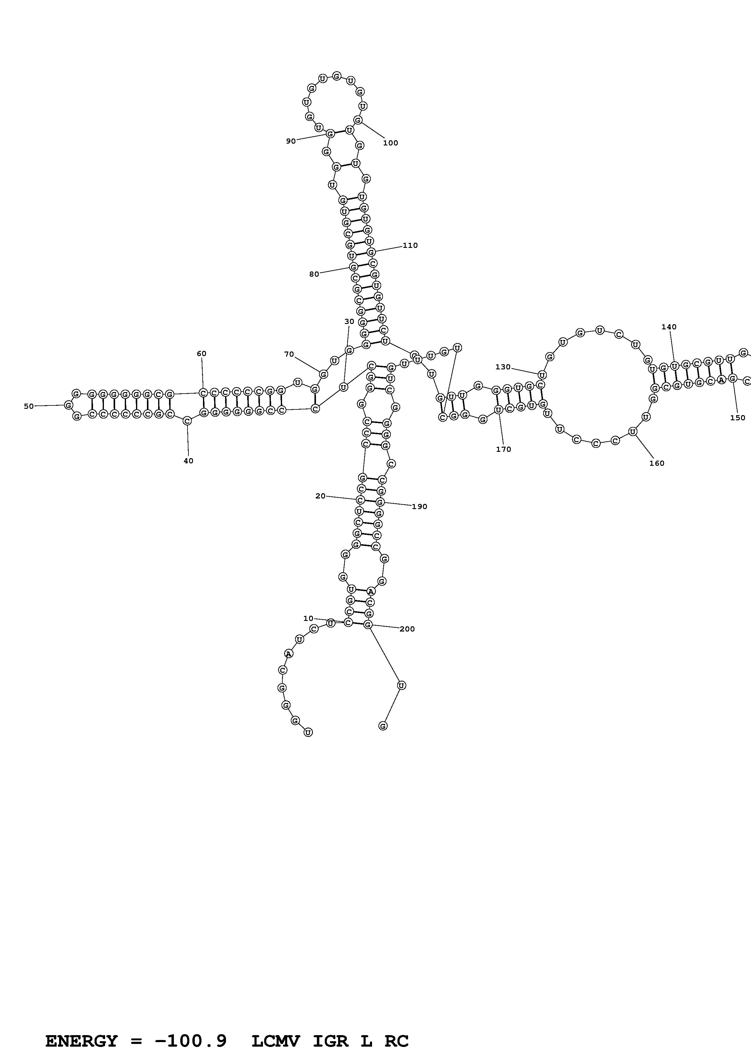
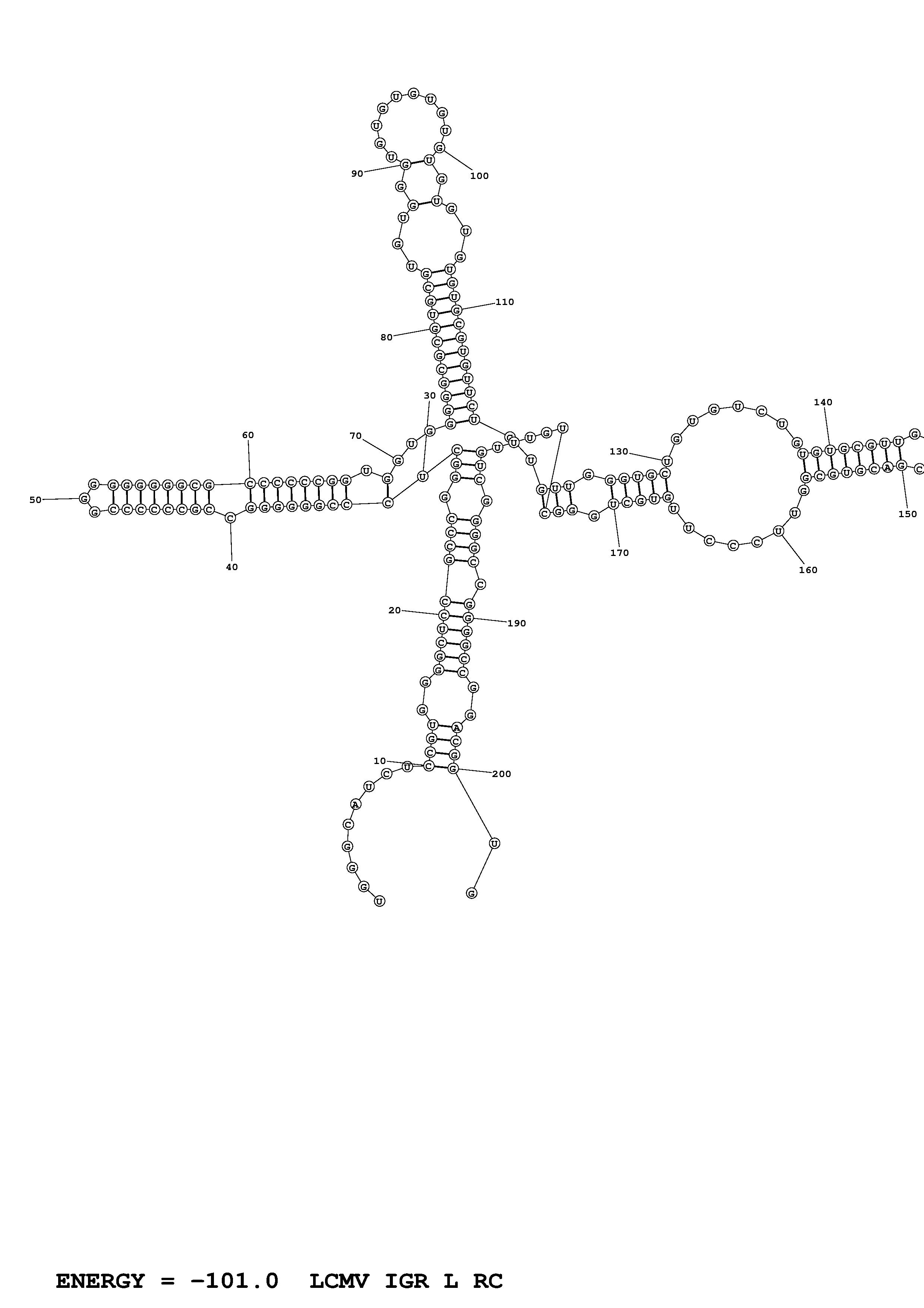
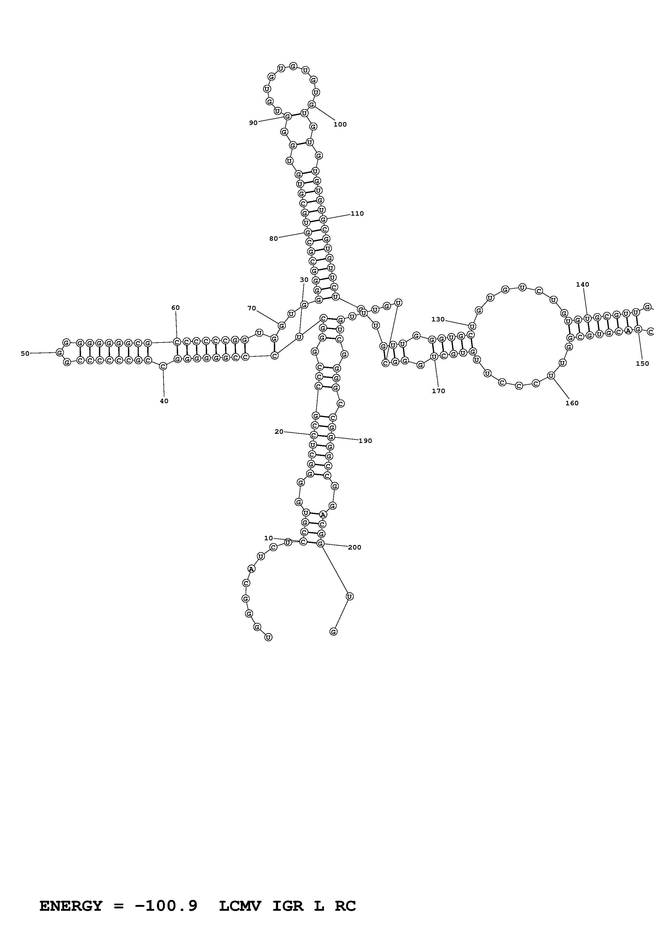
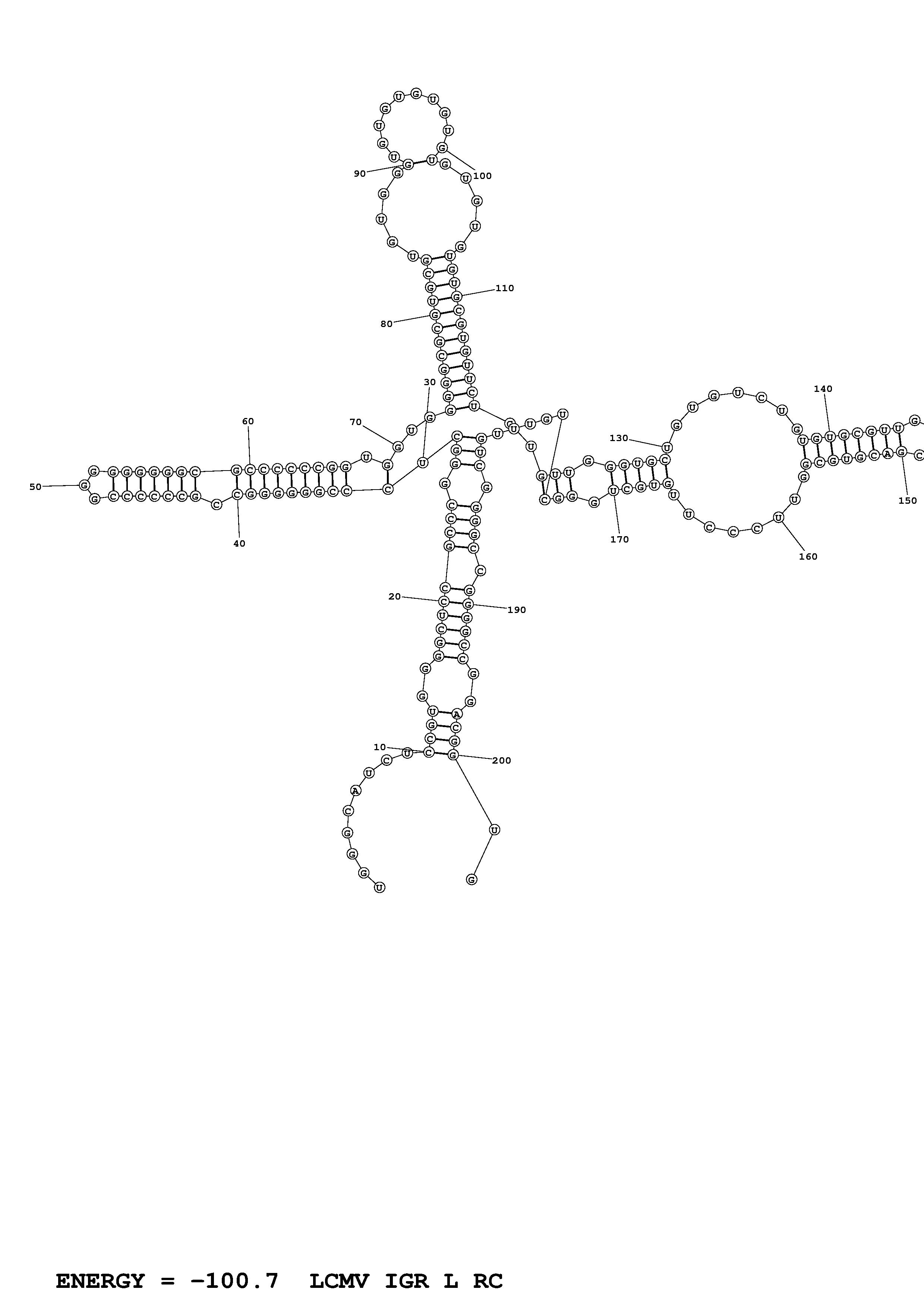
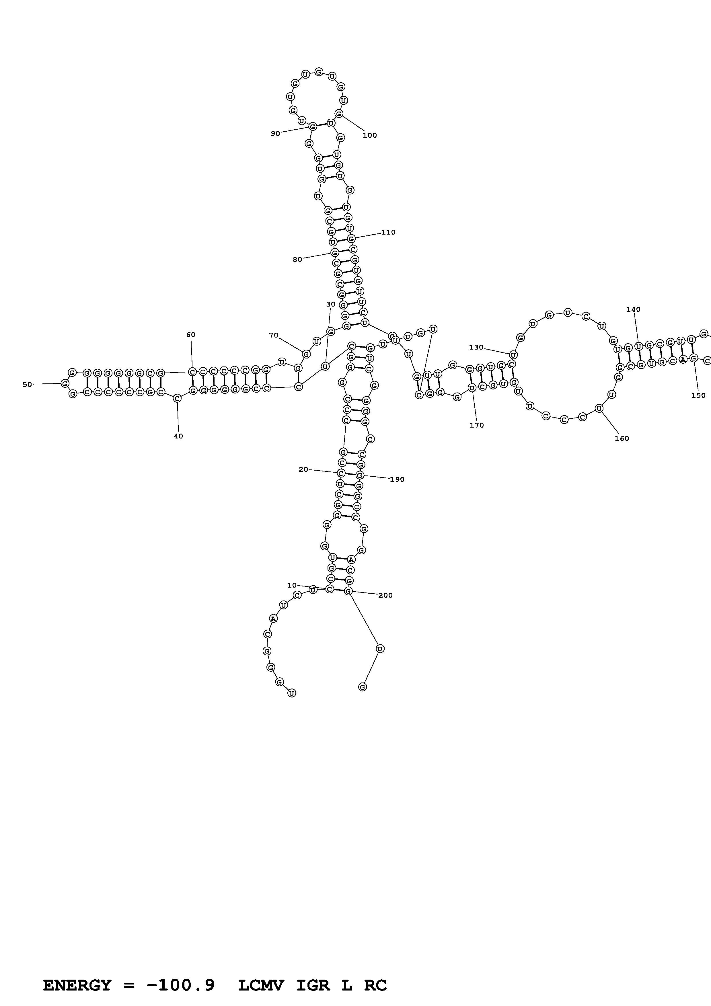
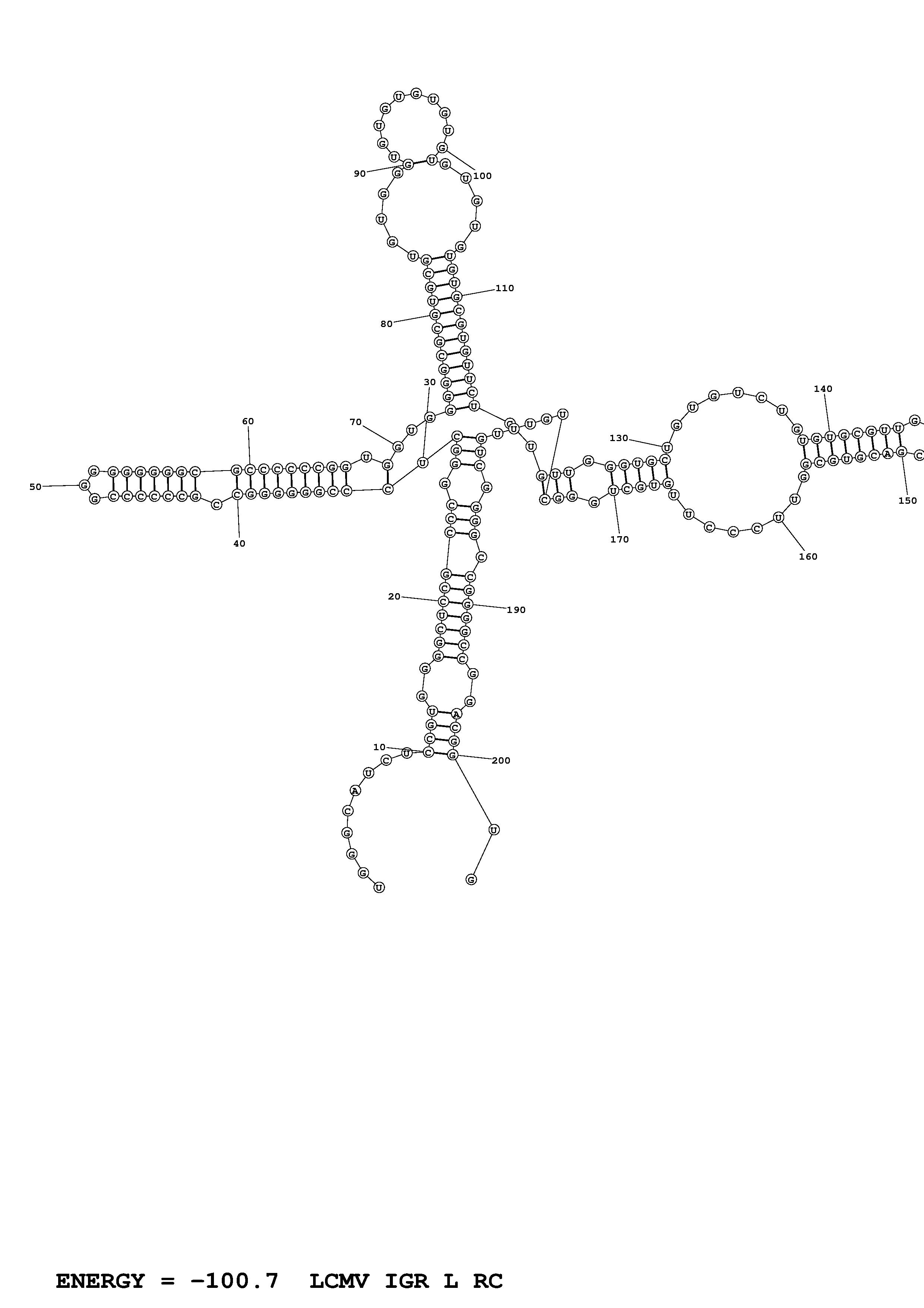
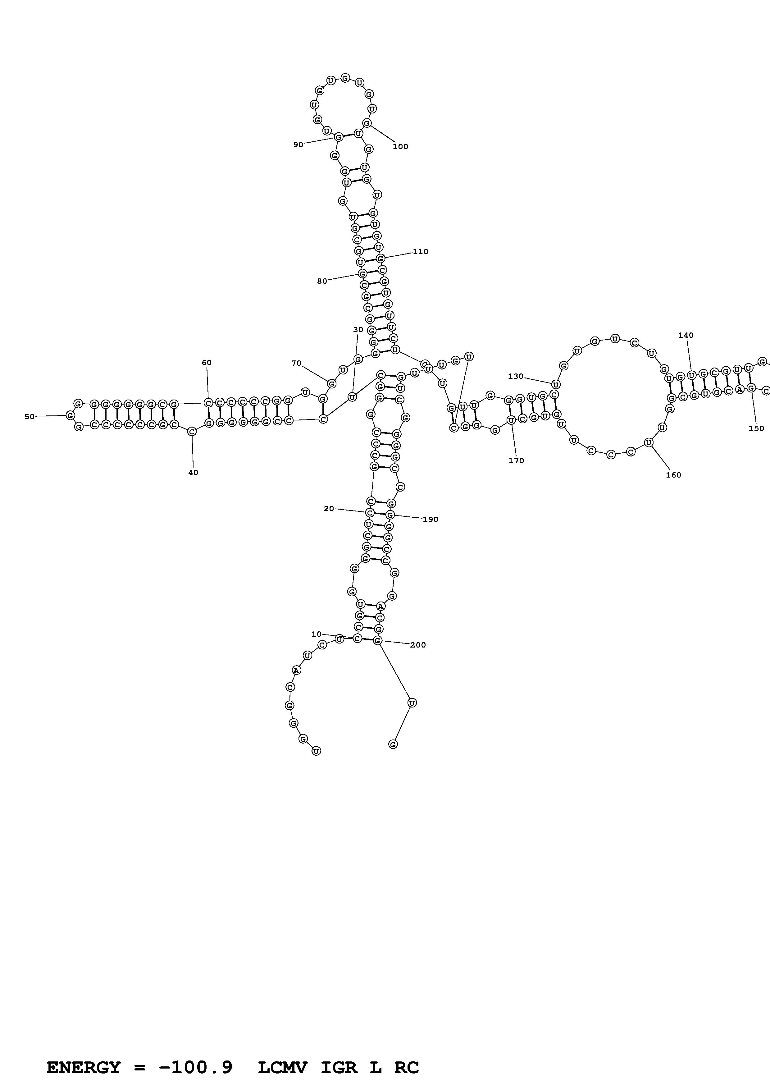
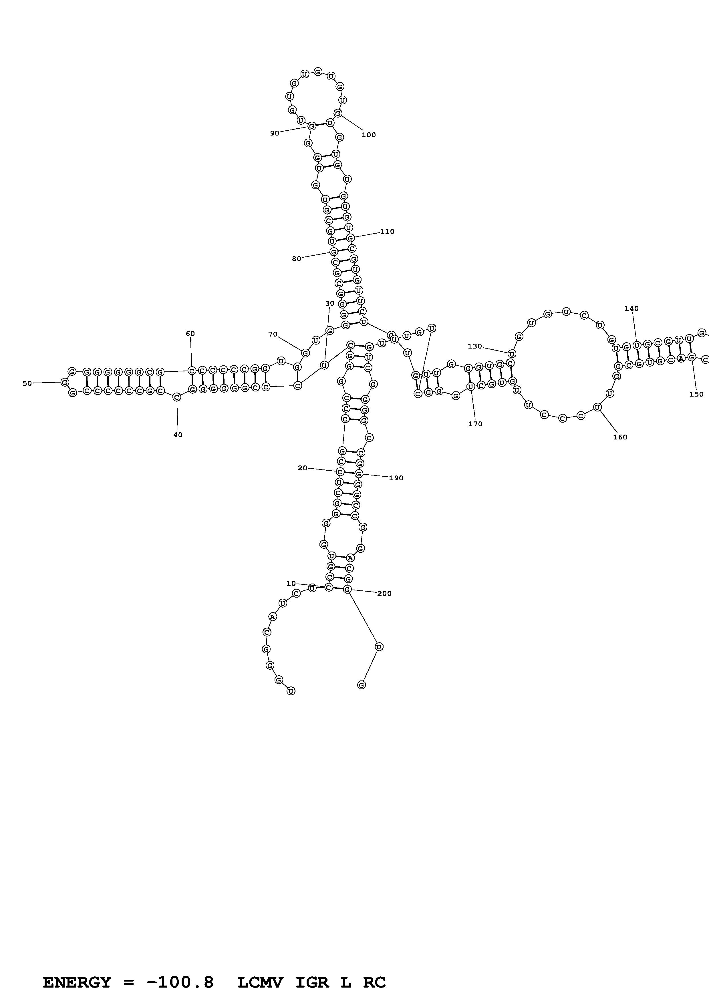
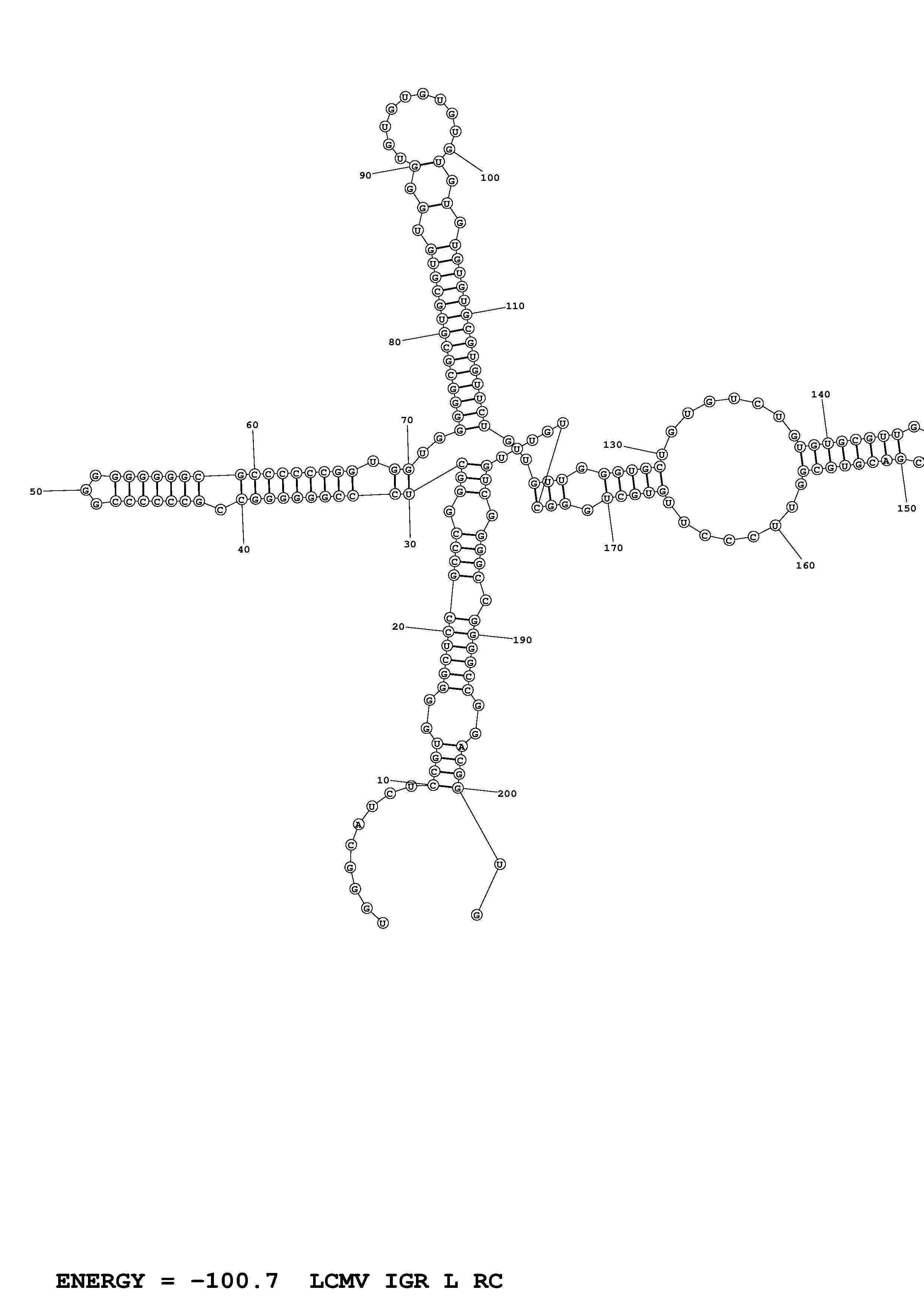
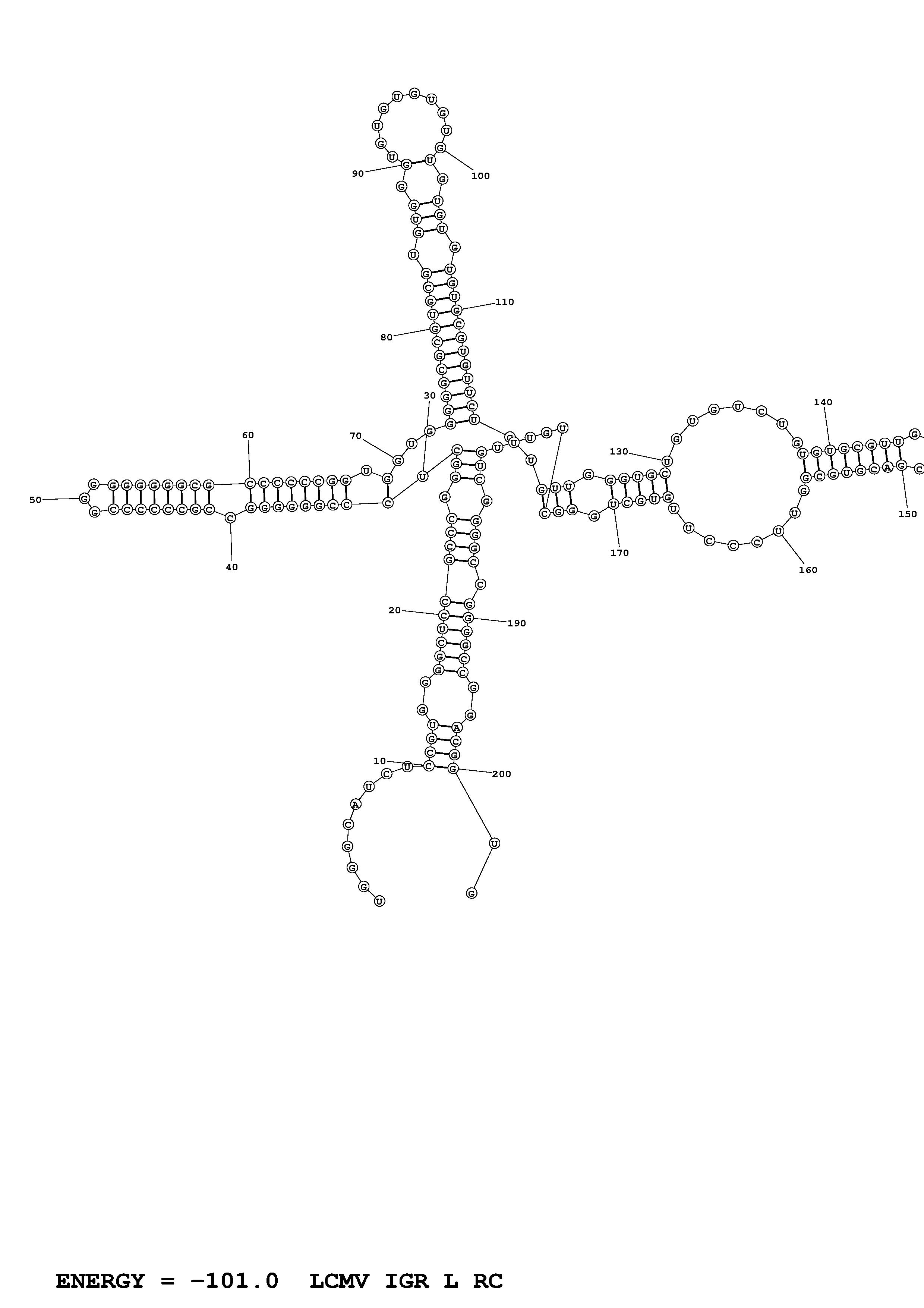
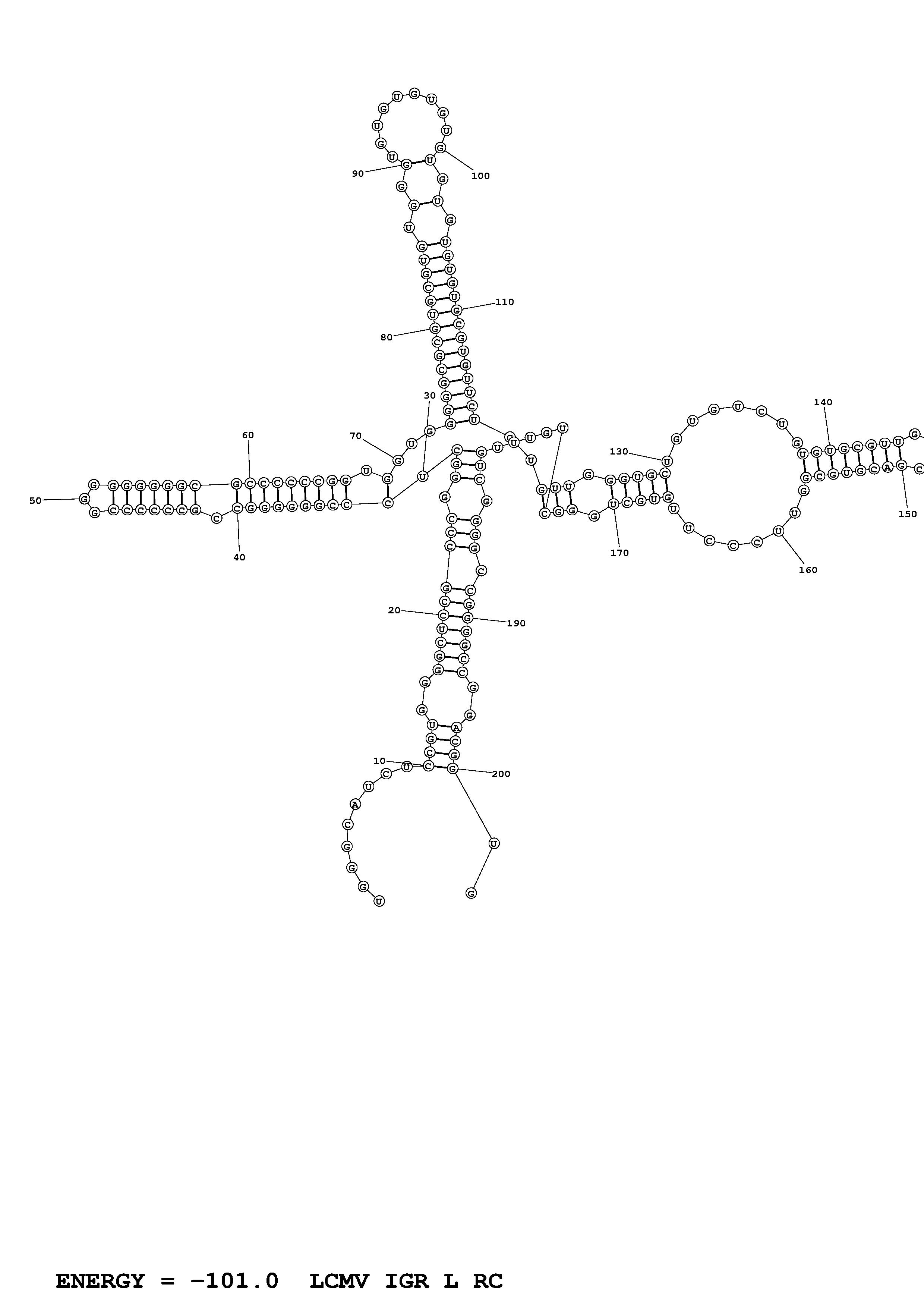
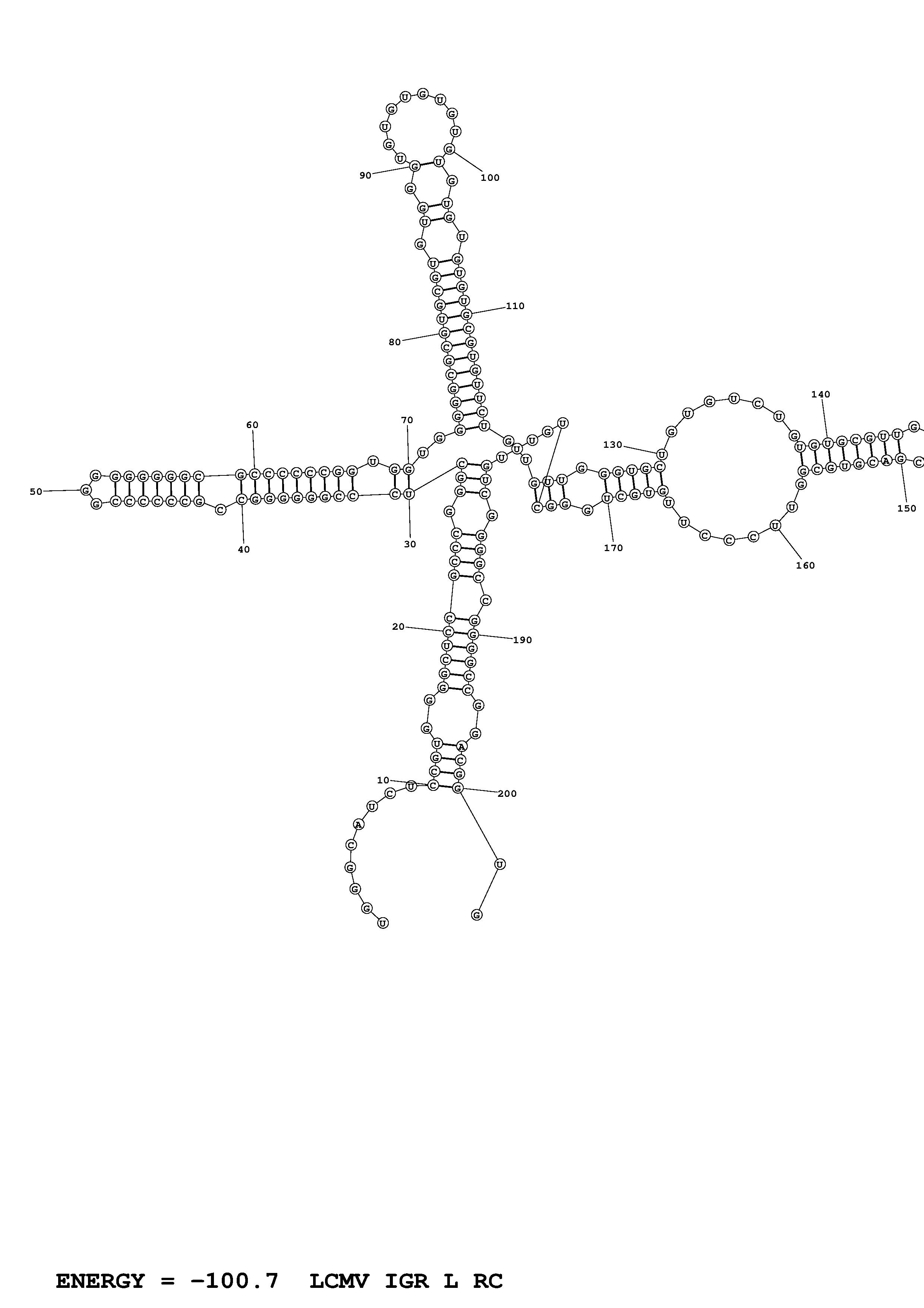
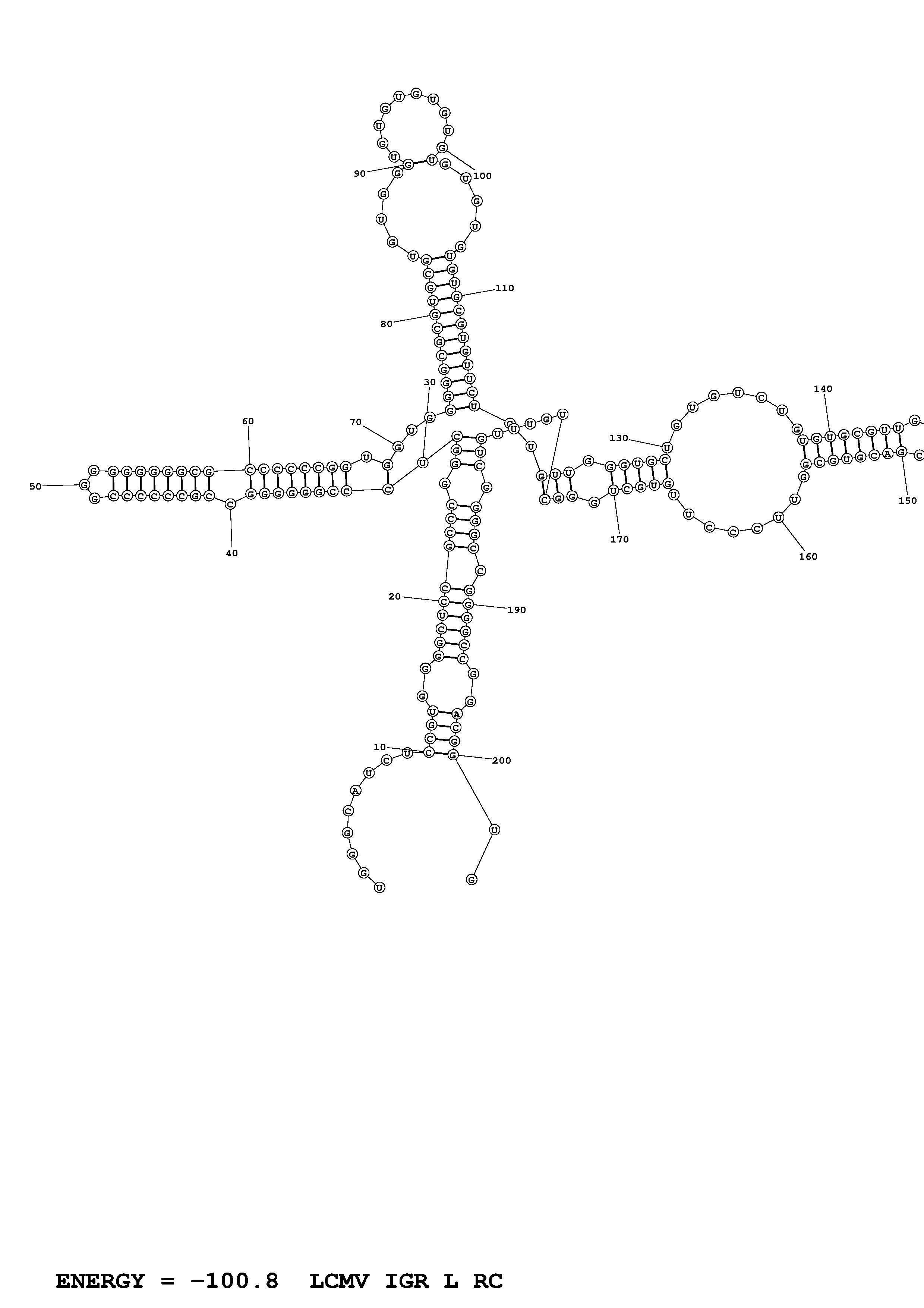
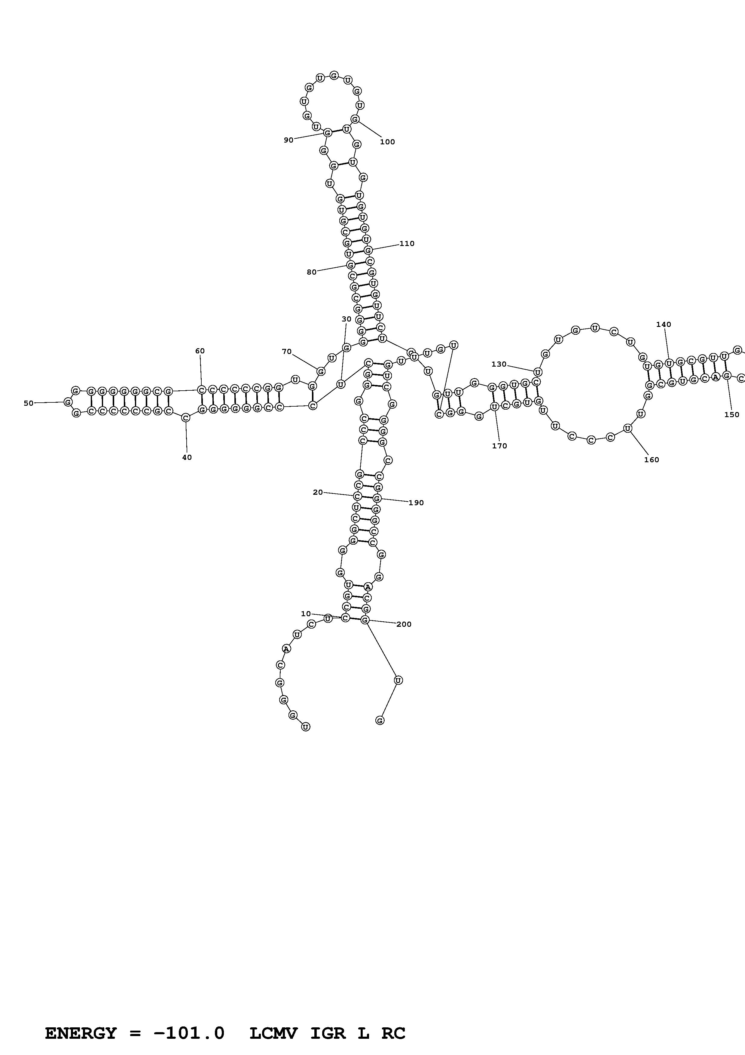
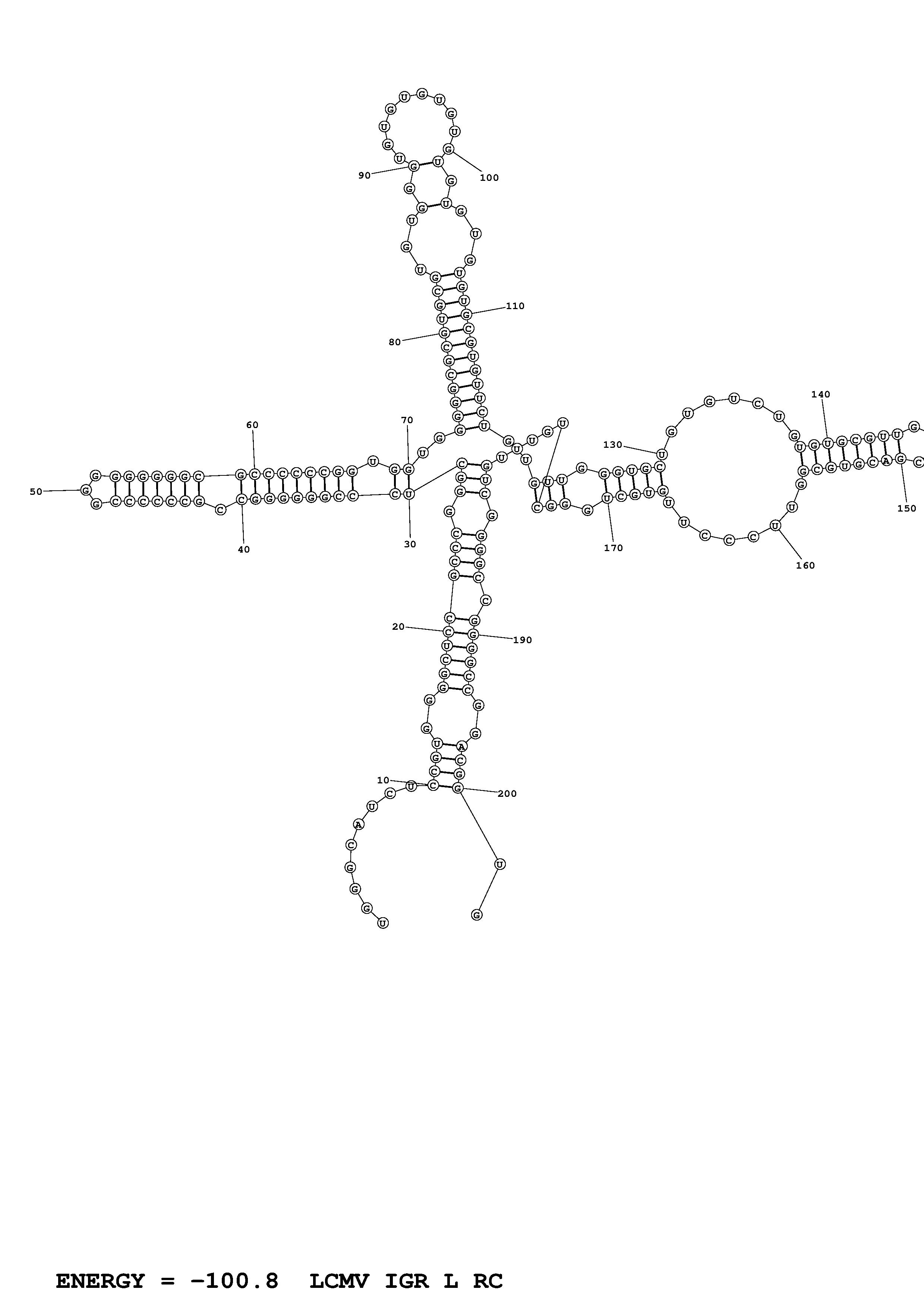
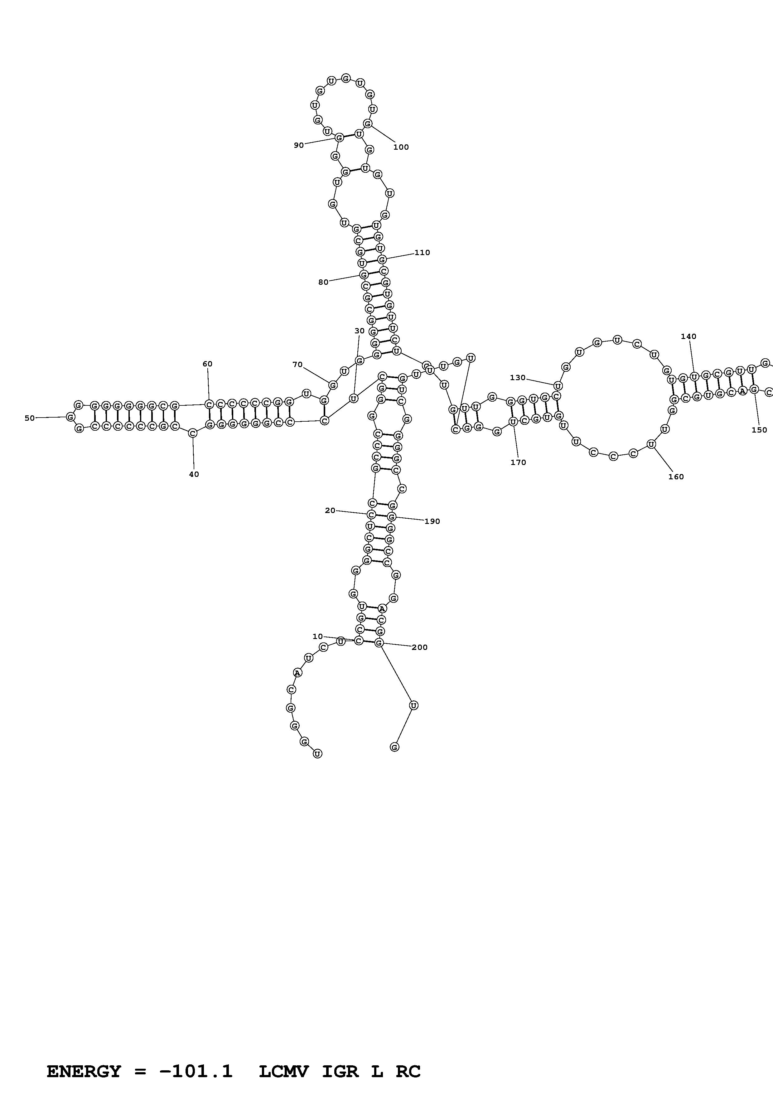
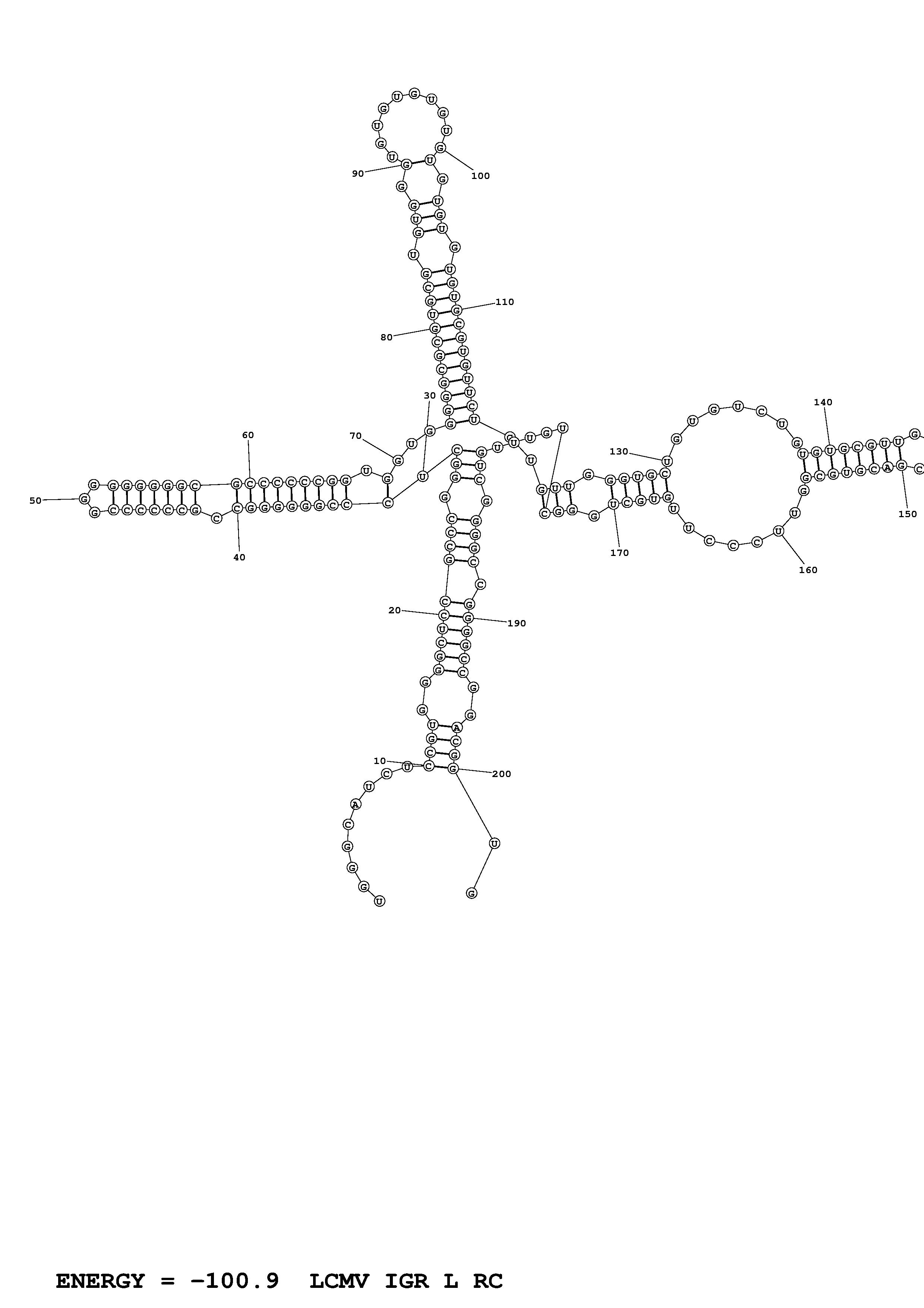
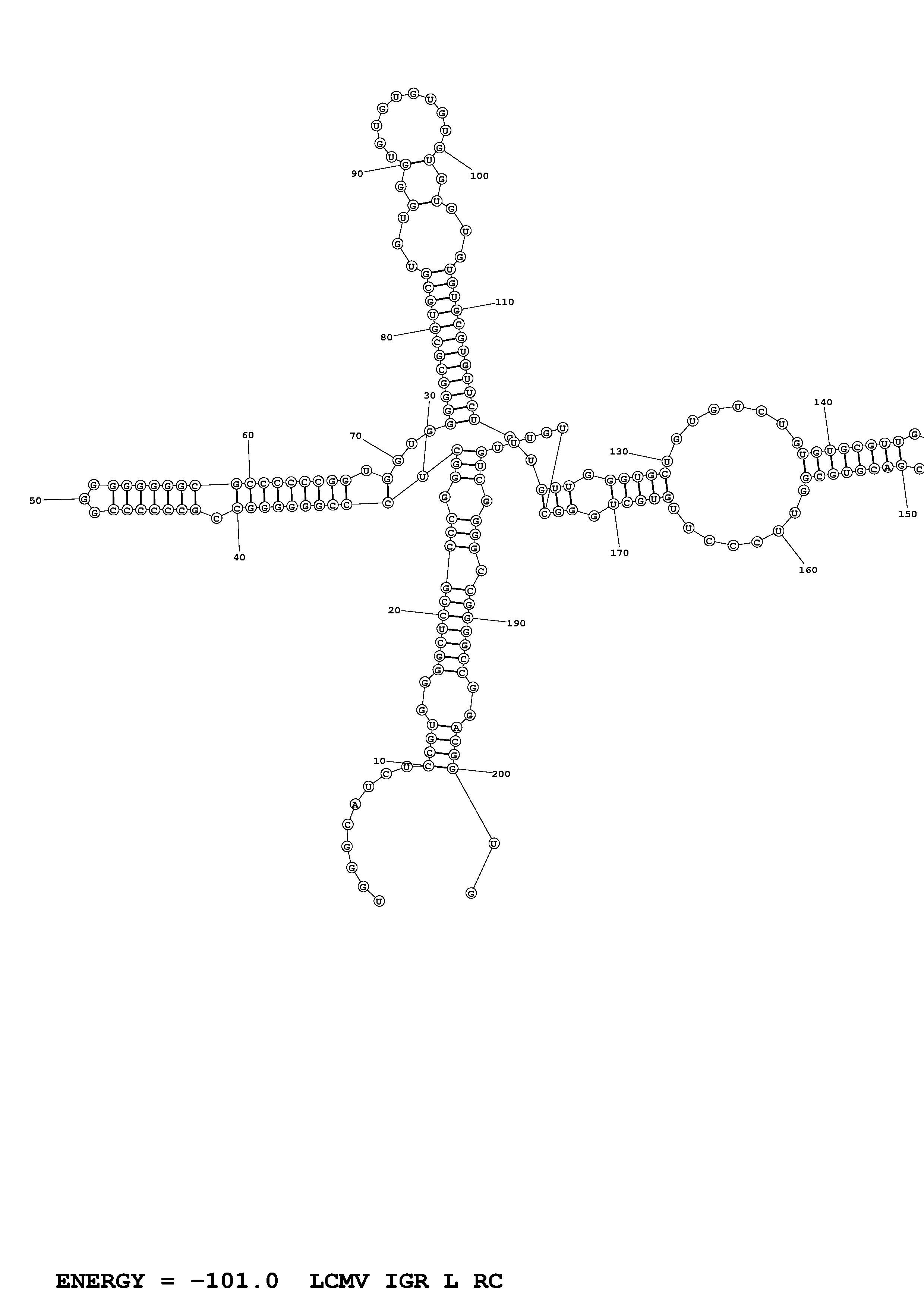
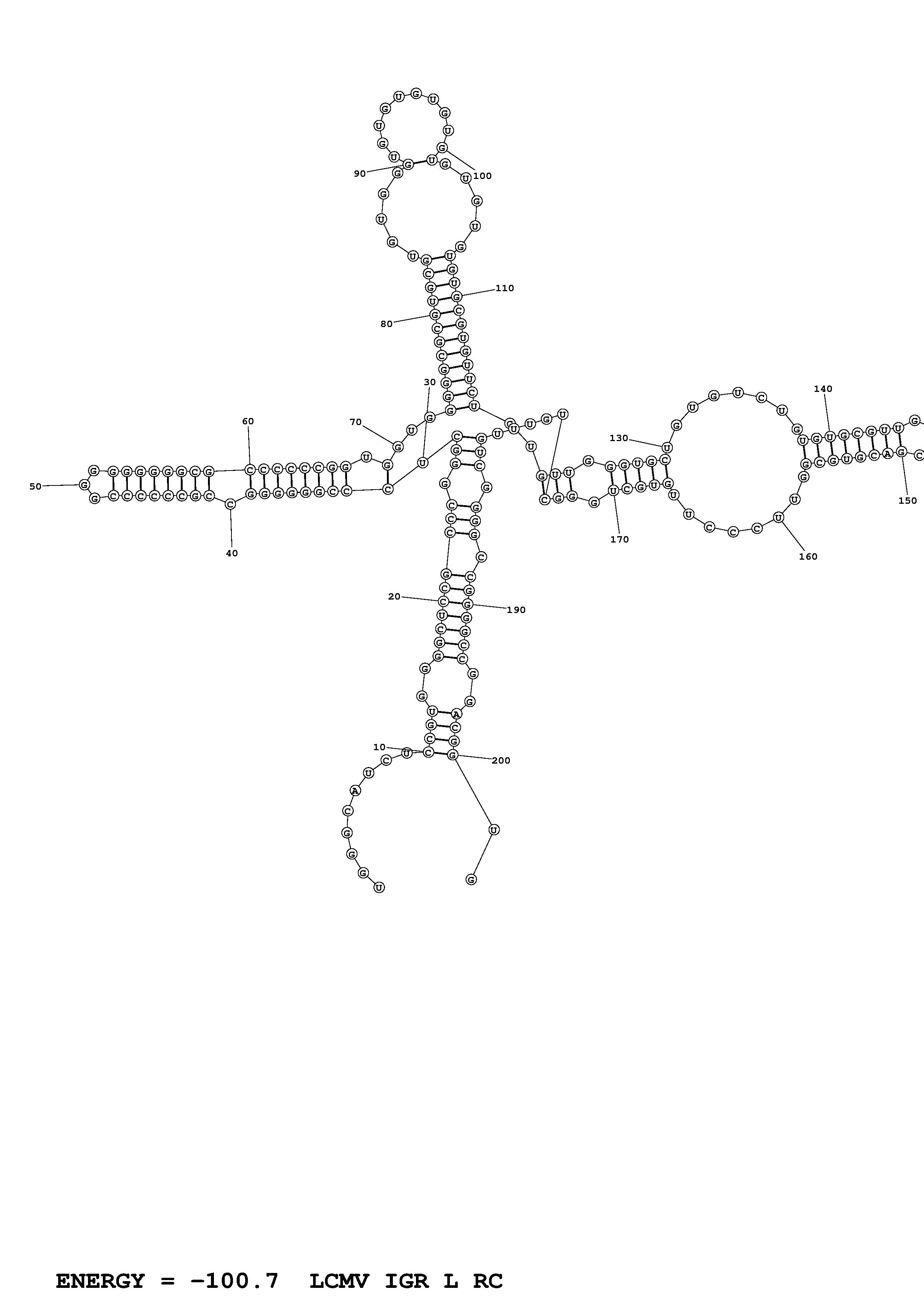
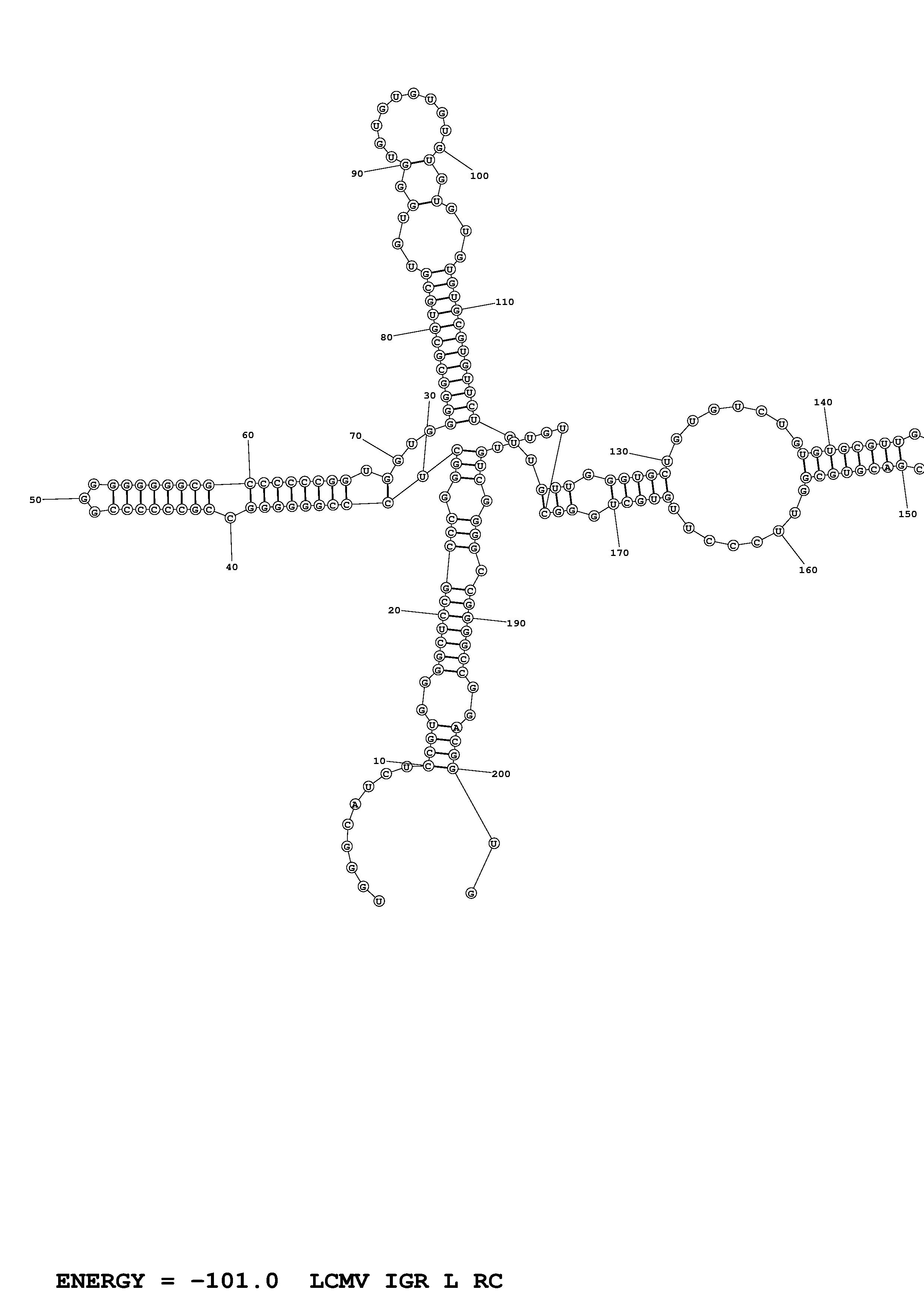
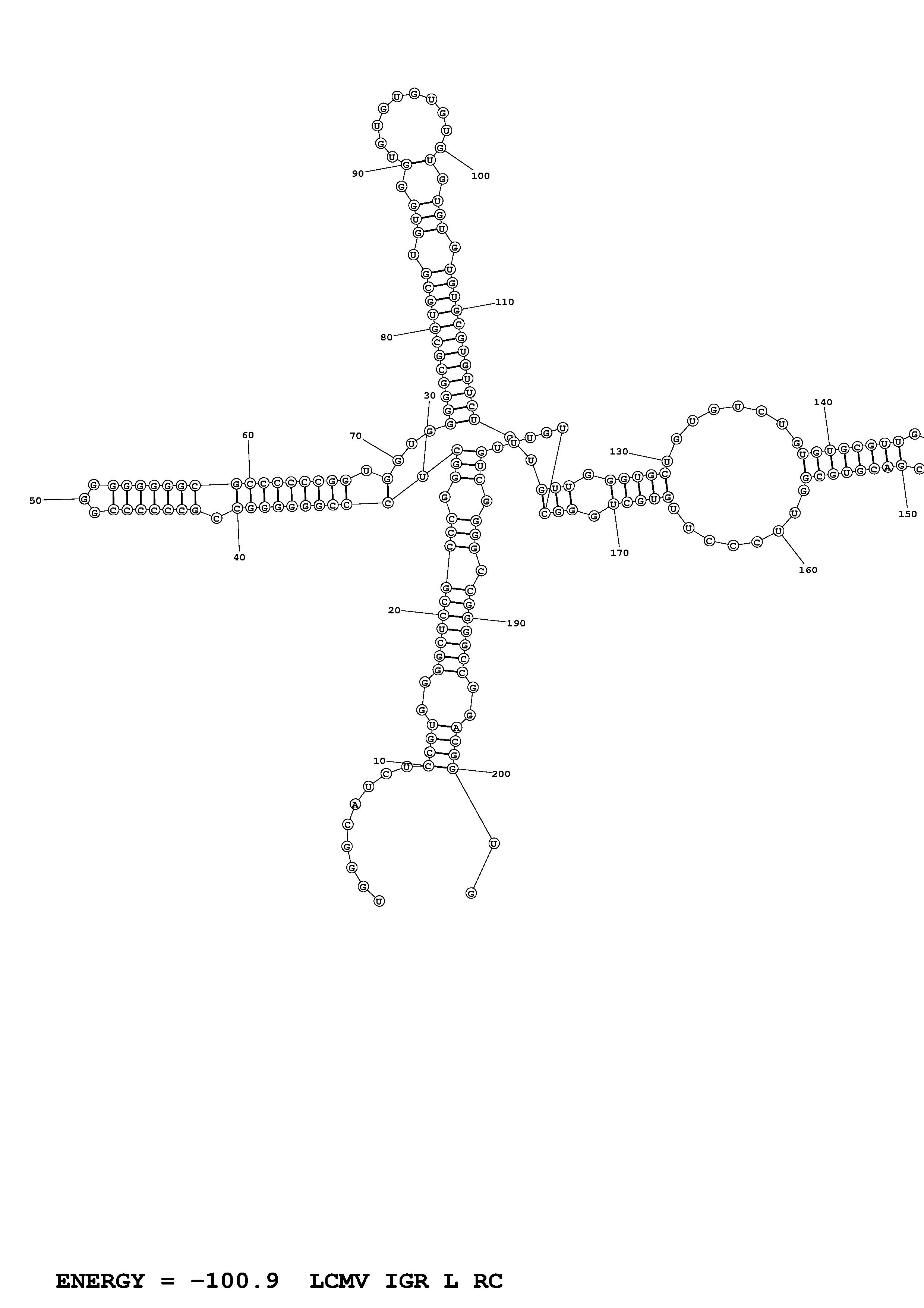
      Structure 3: PDF SVG PS JPEG PNG CT
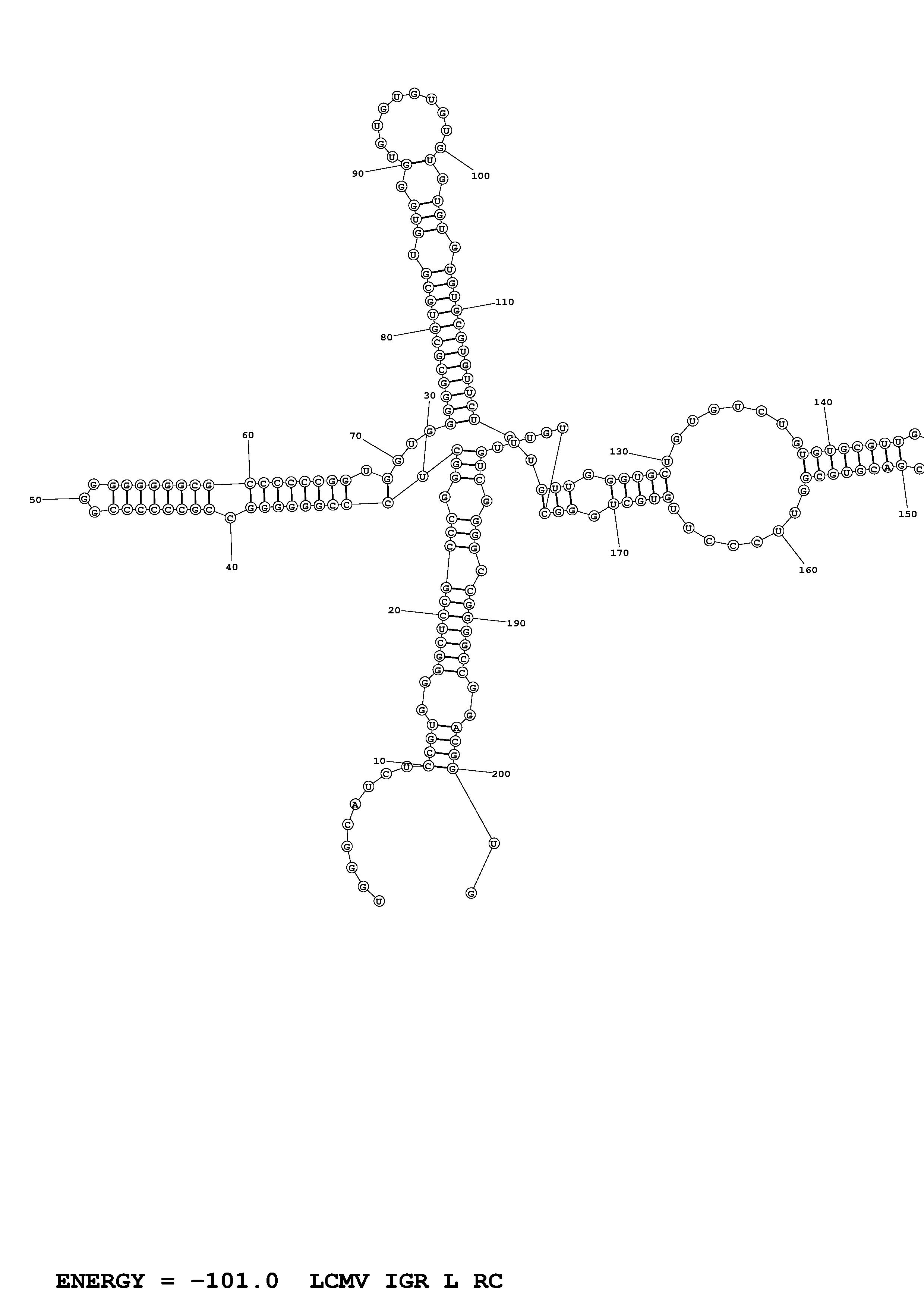
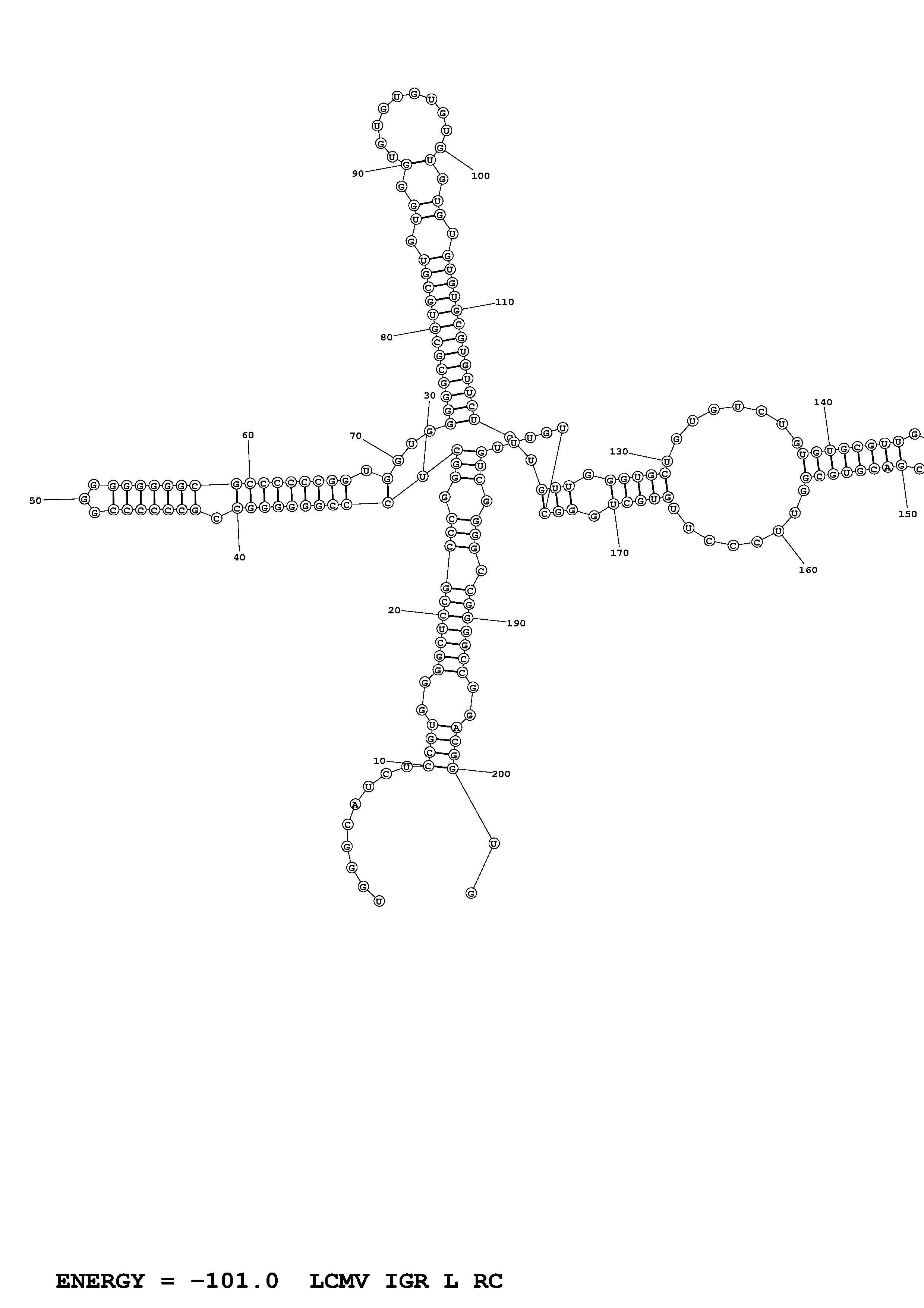
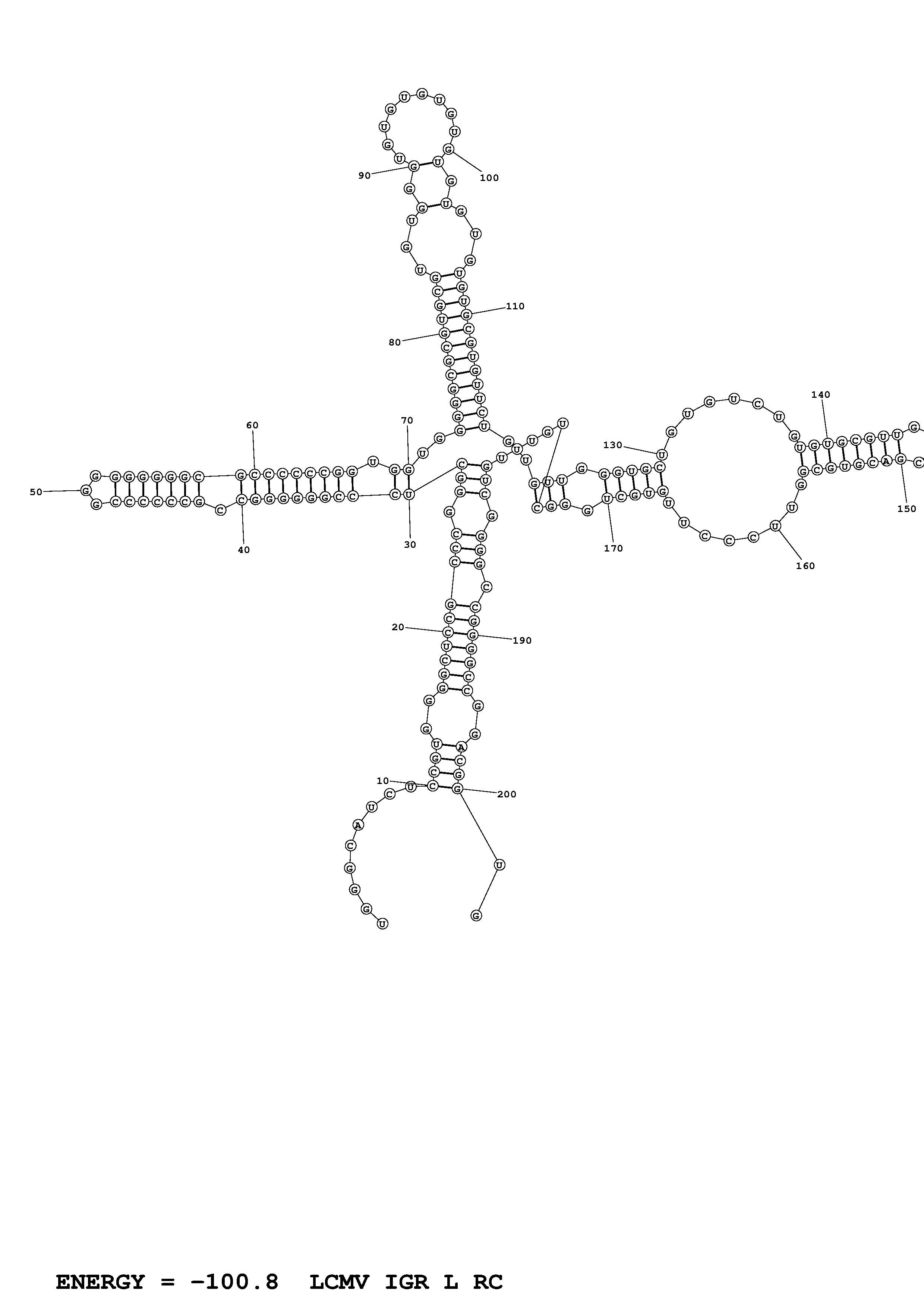
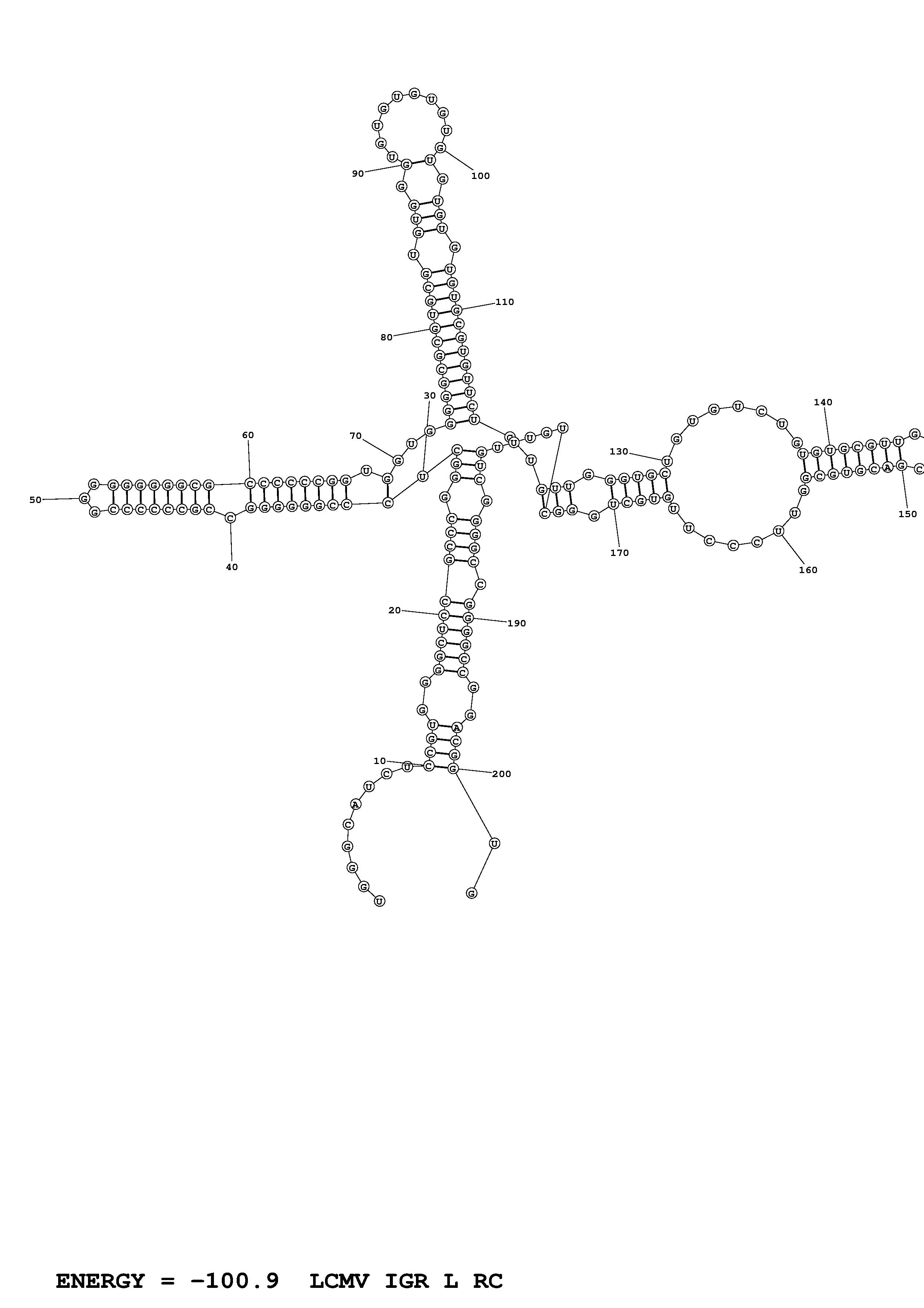
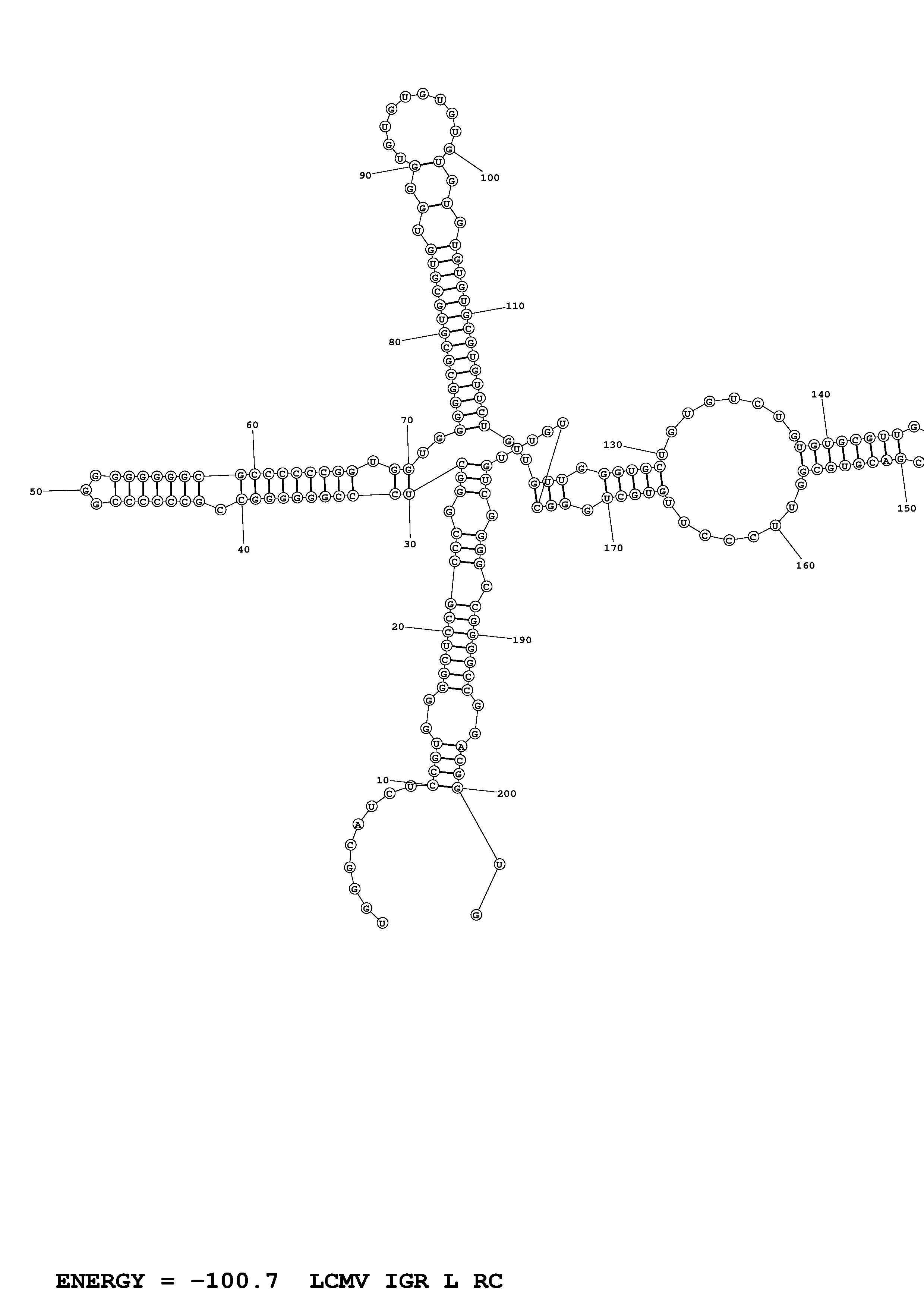
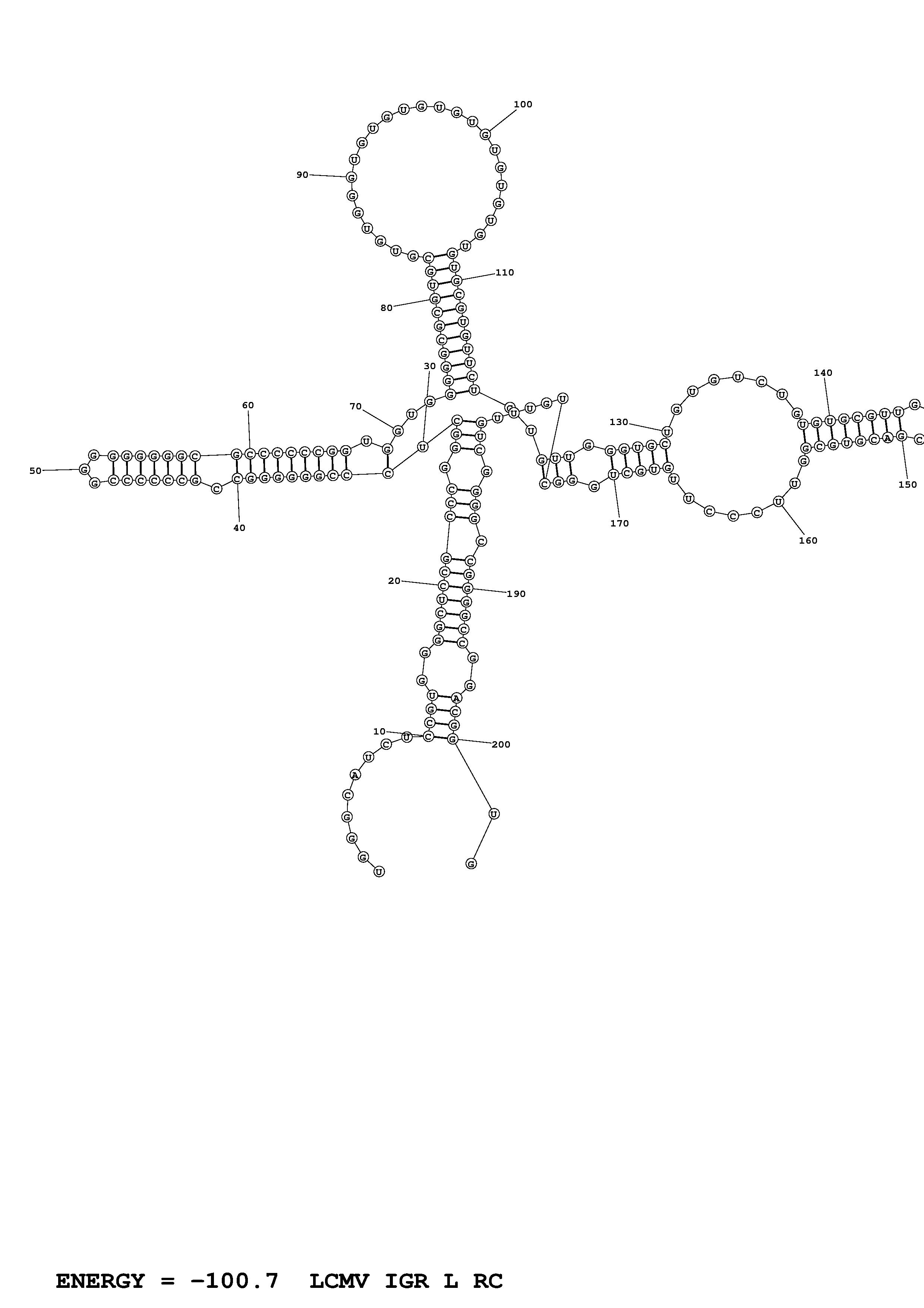
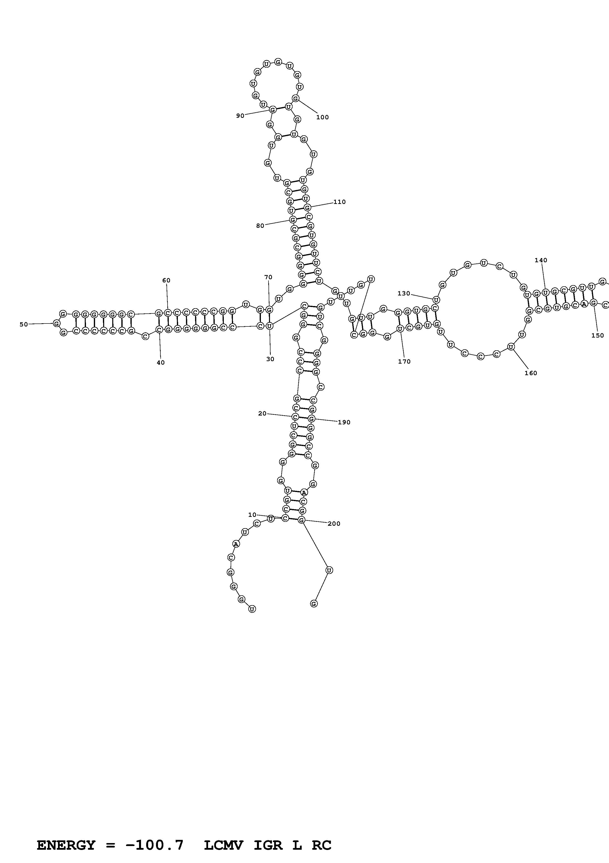
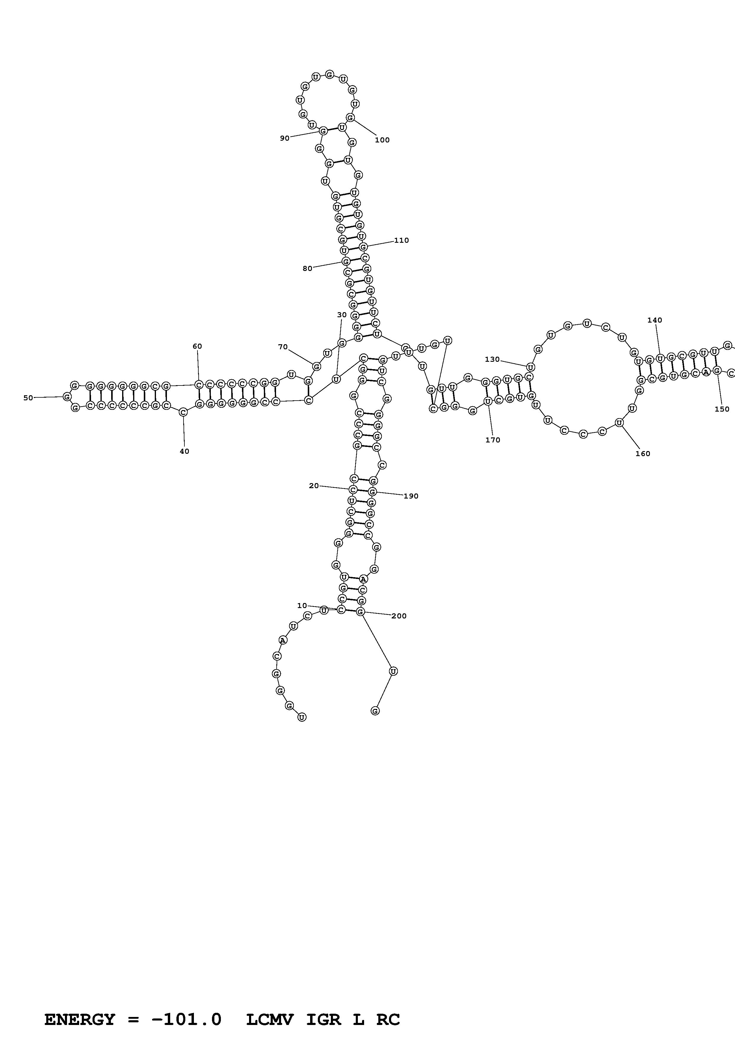
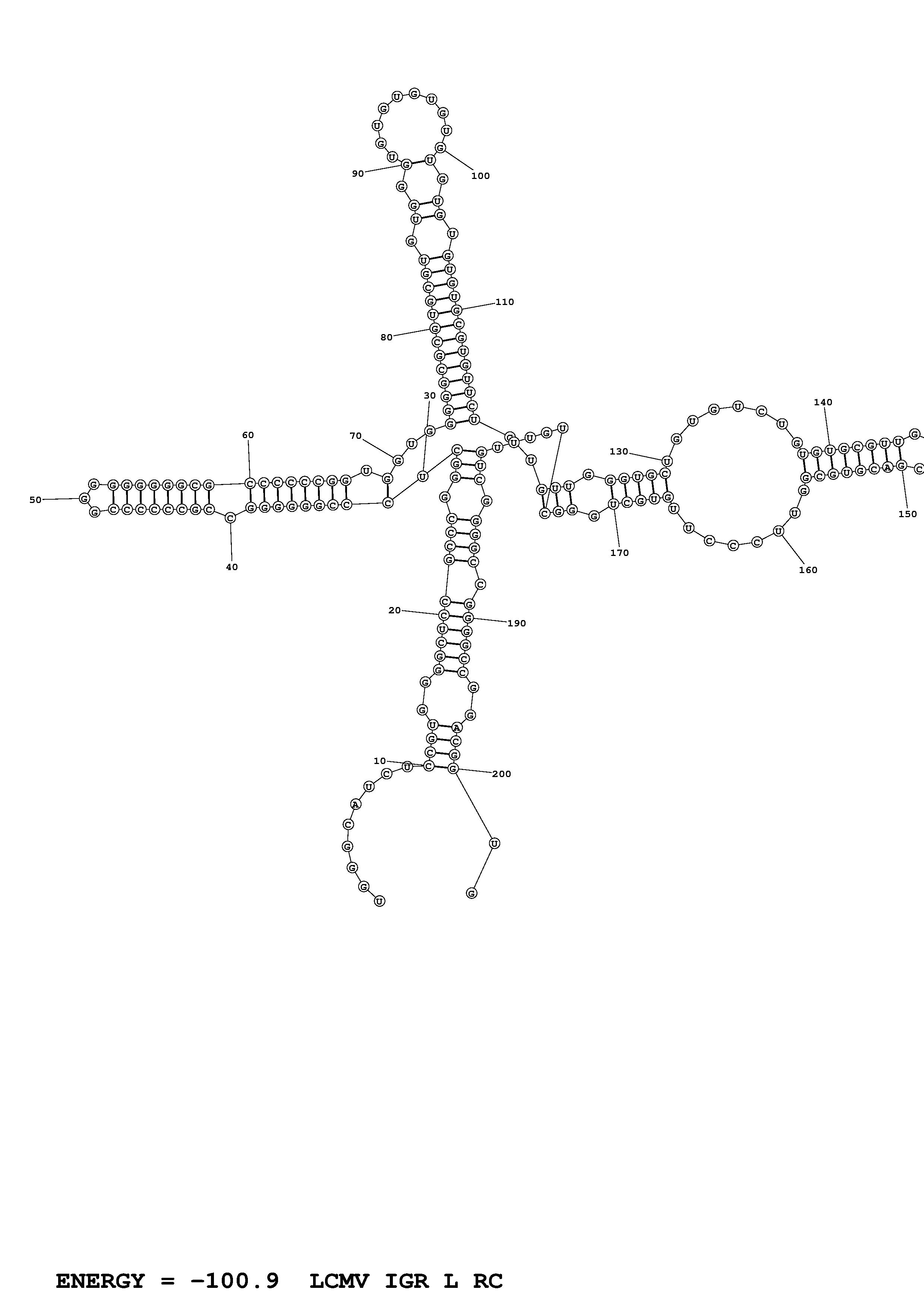
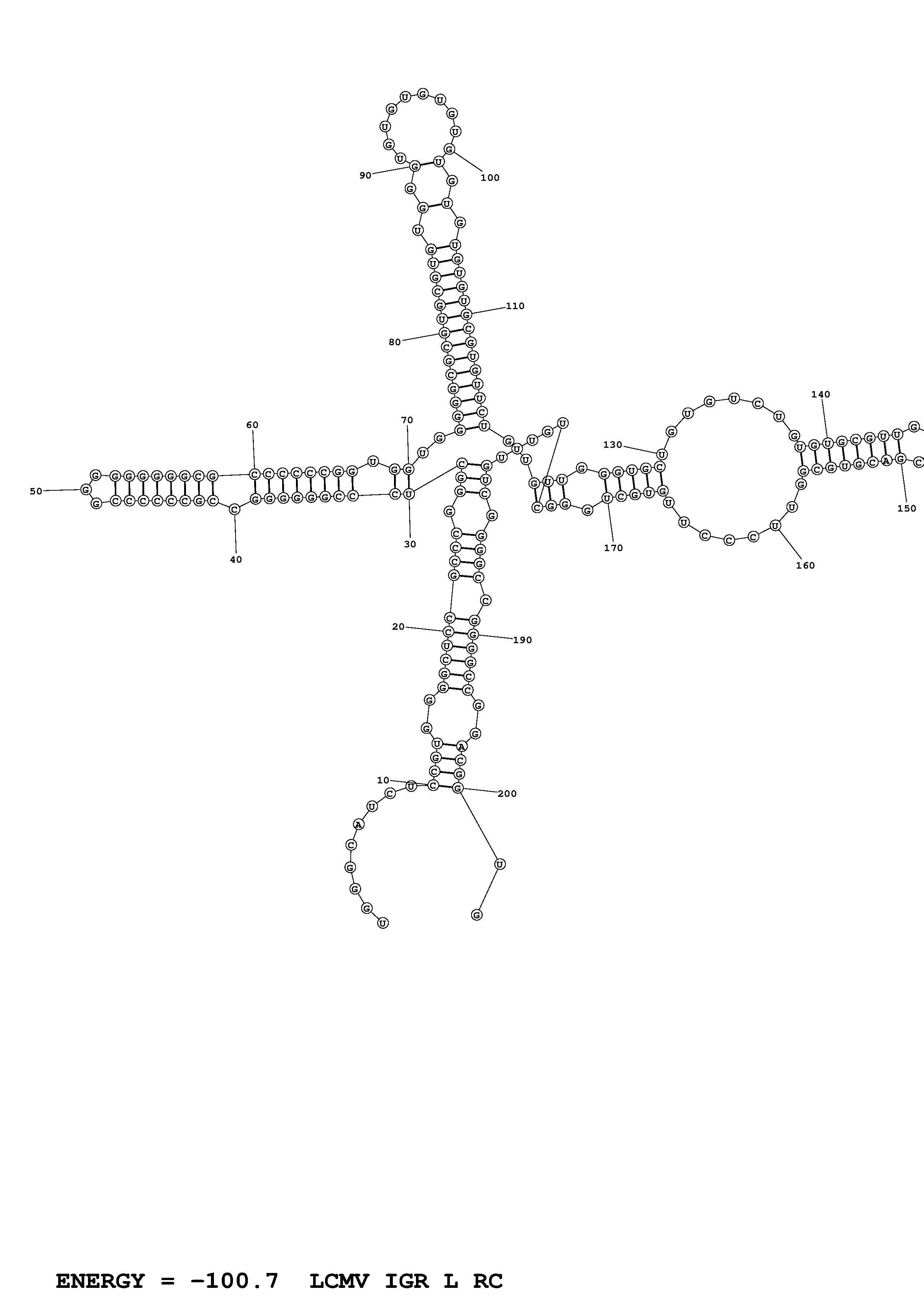
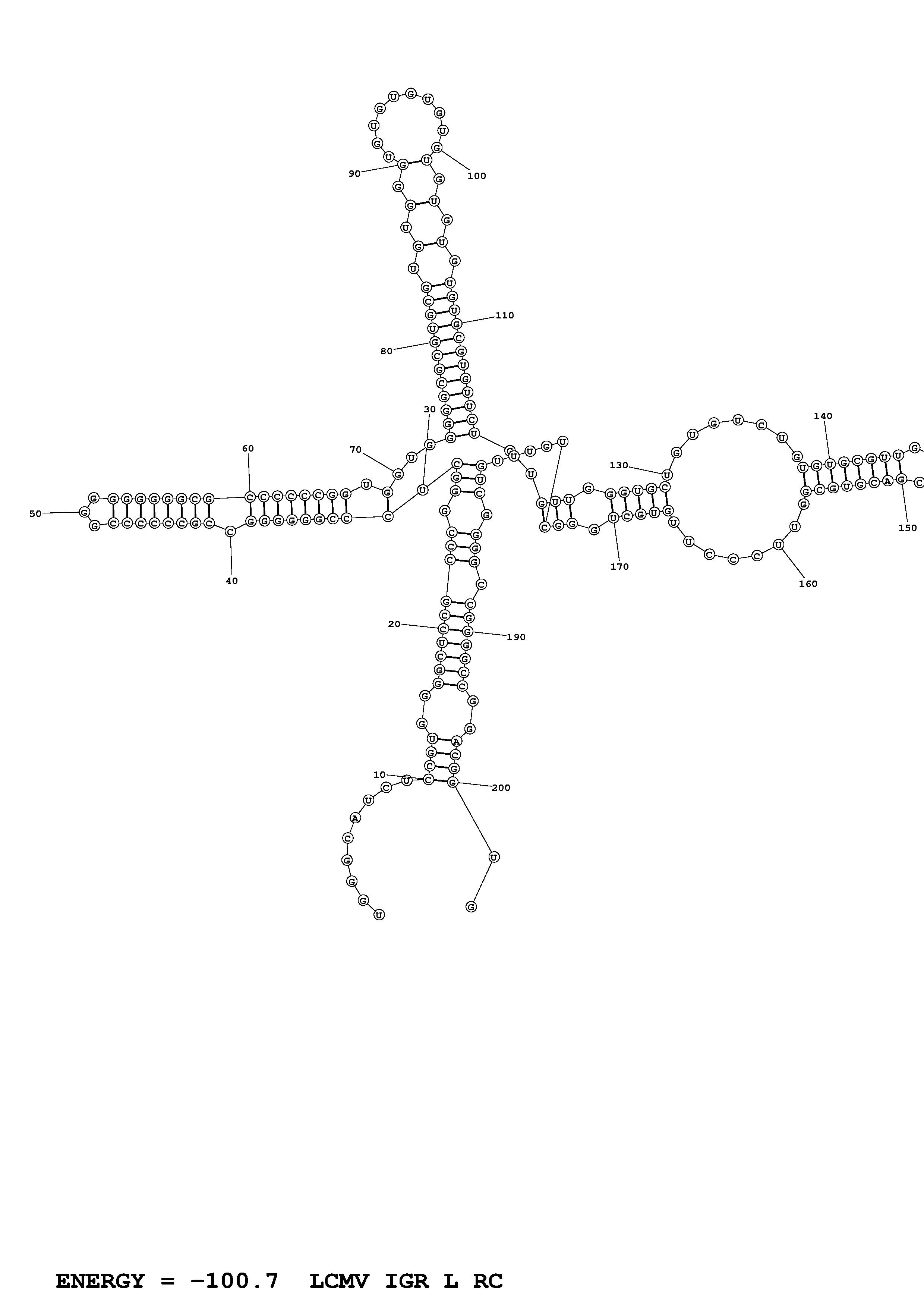
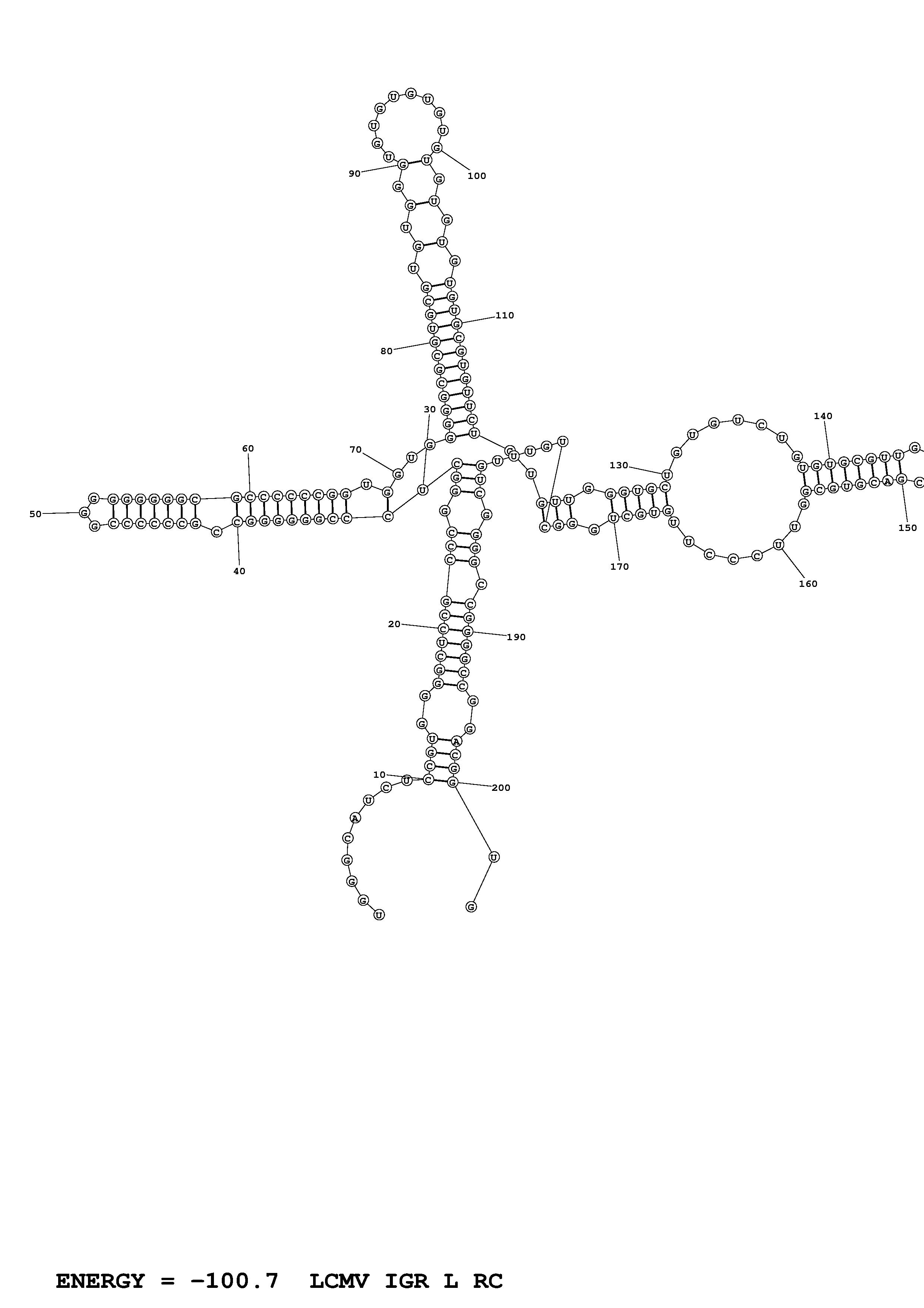
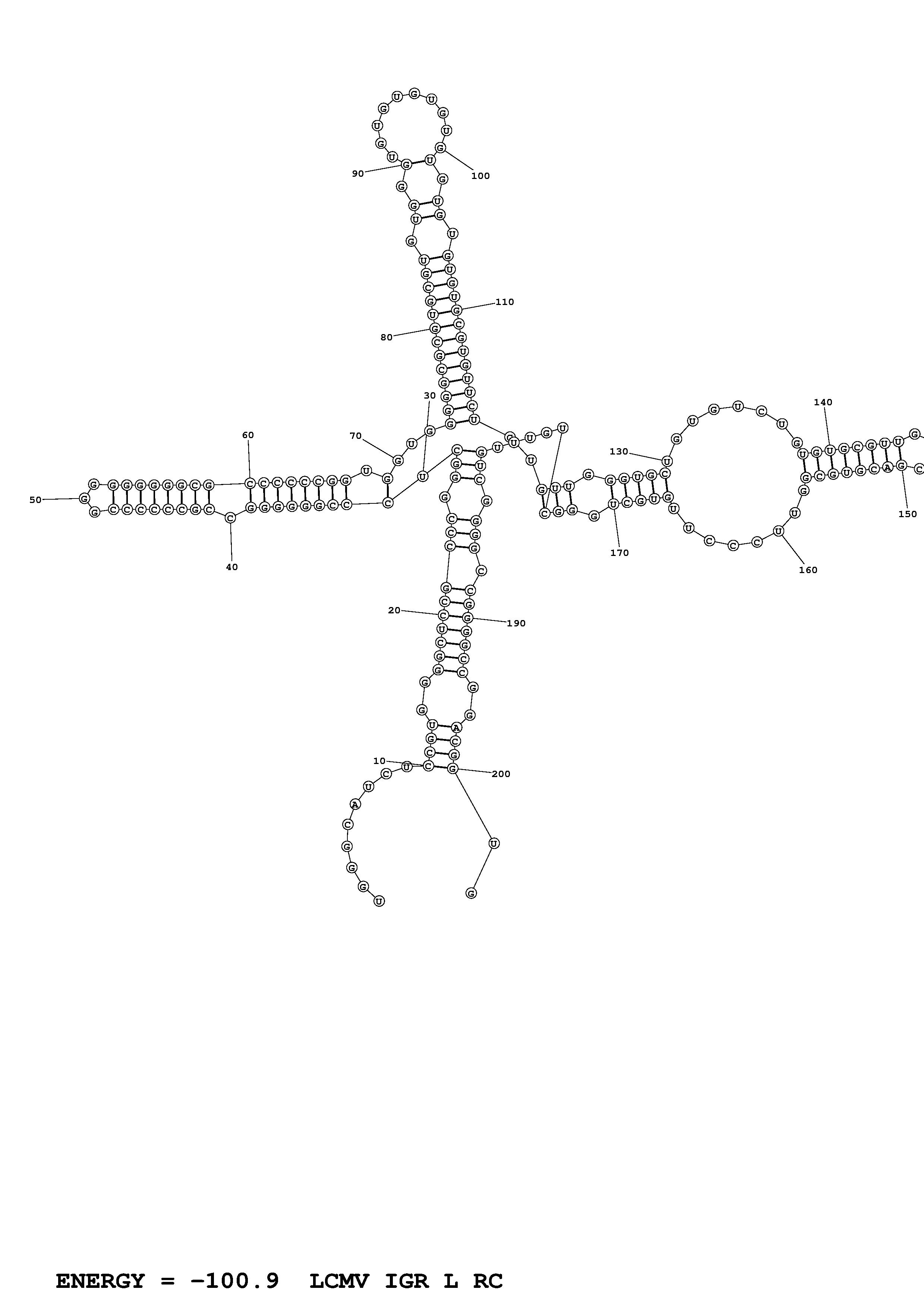
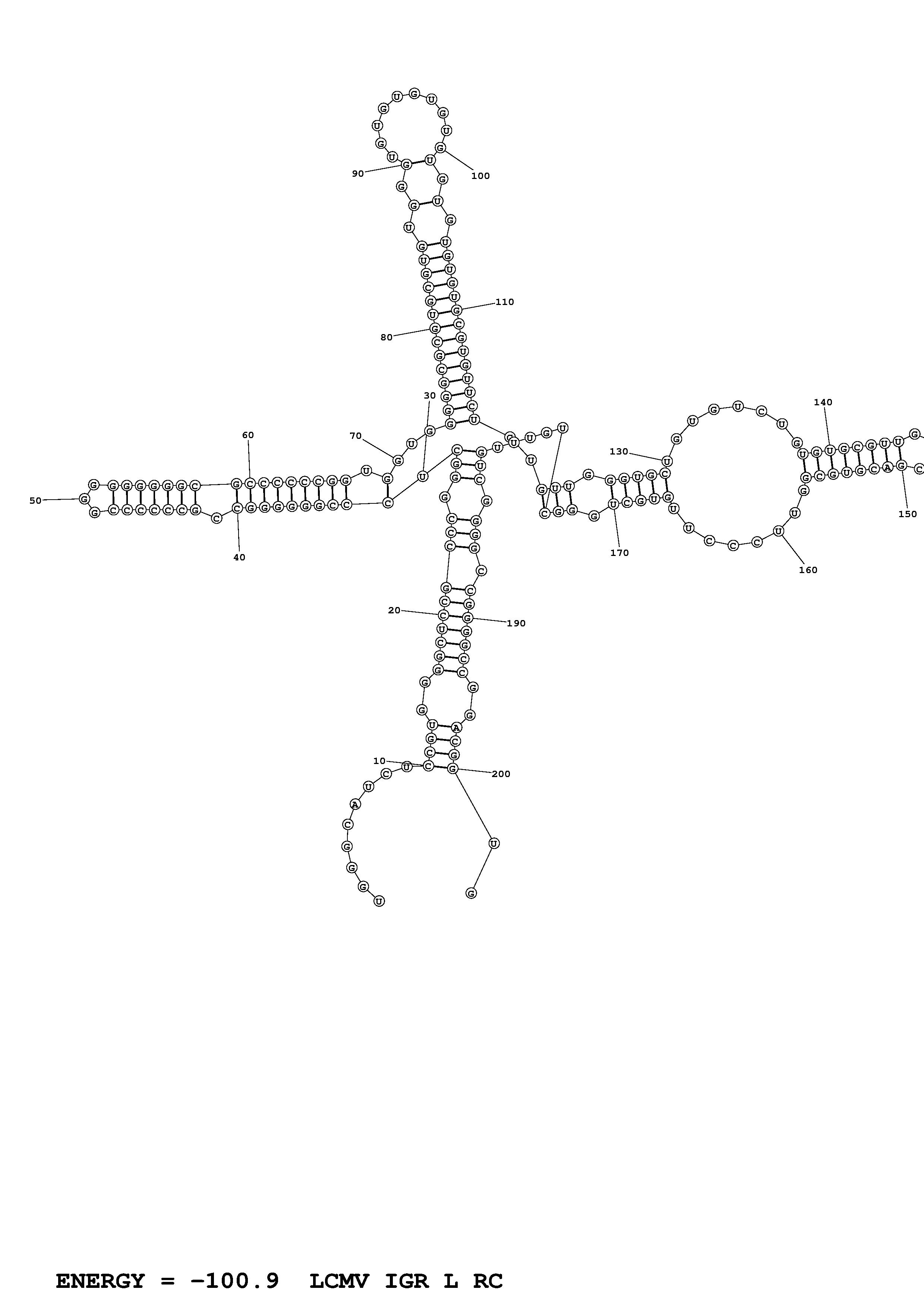
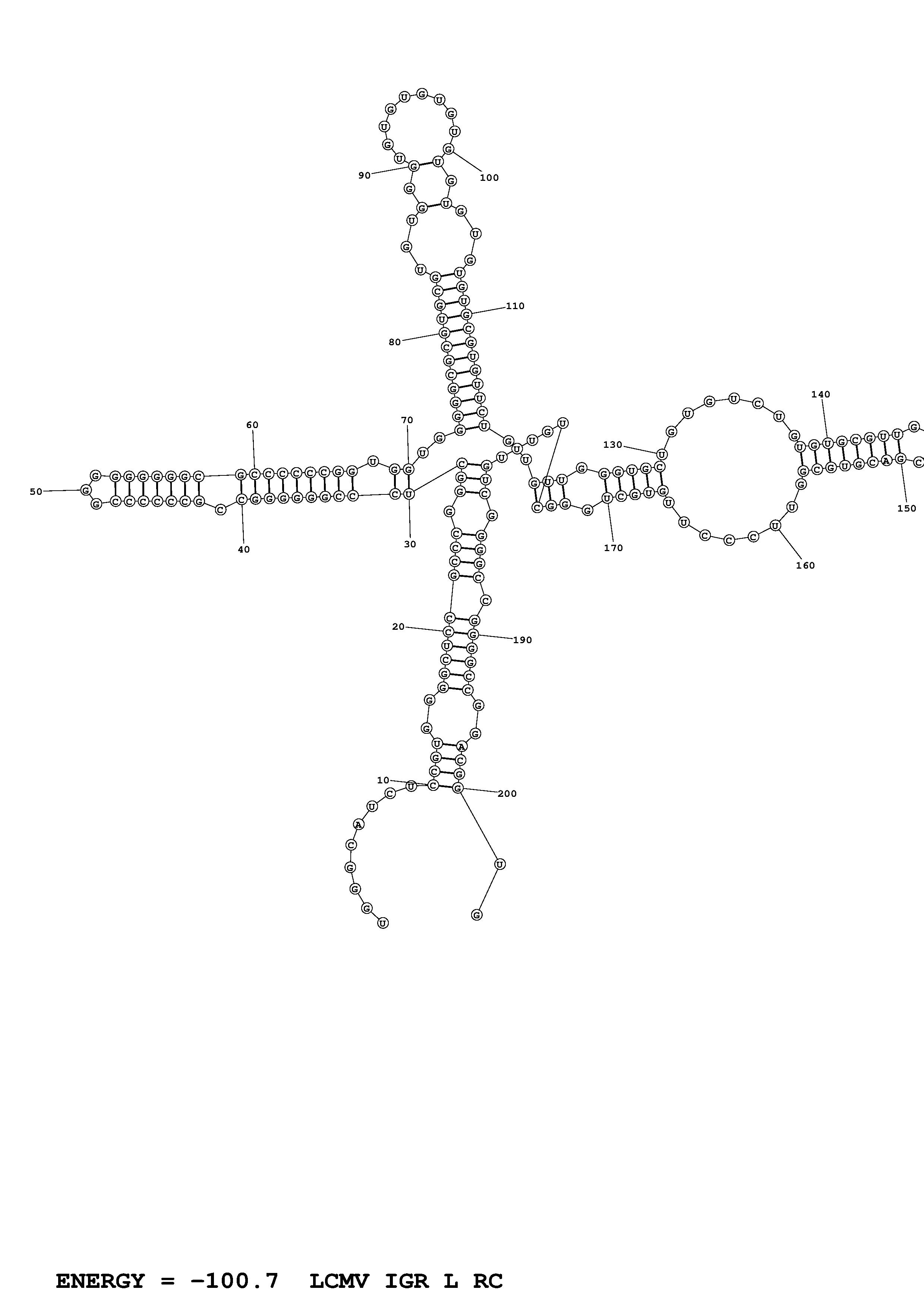
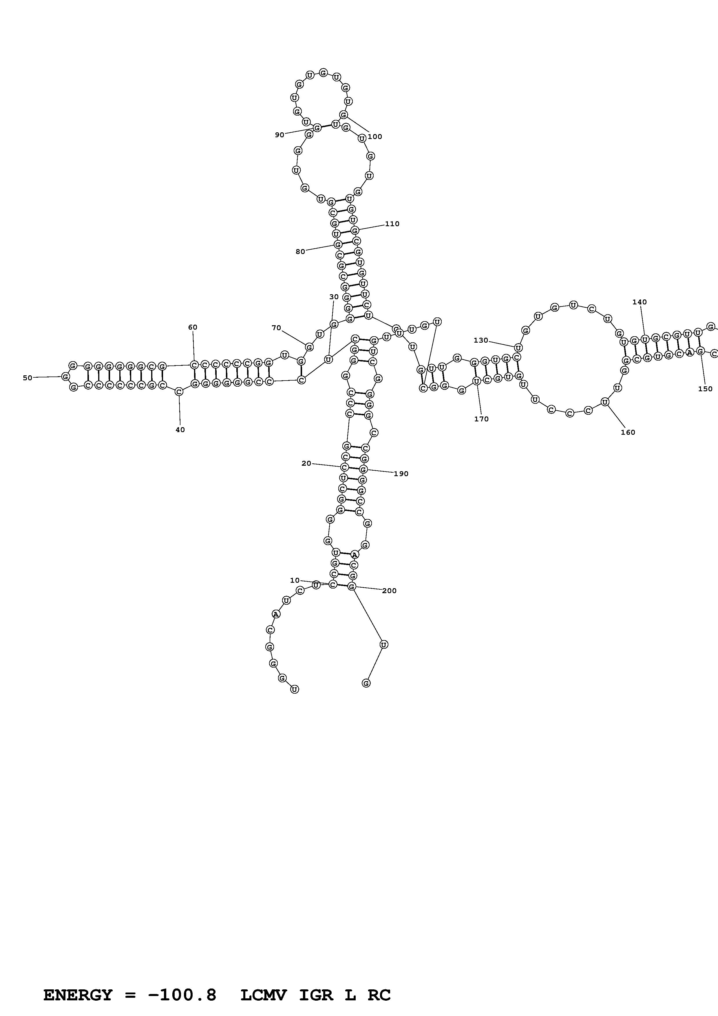
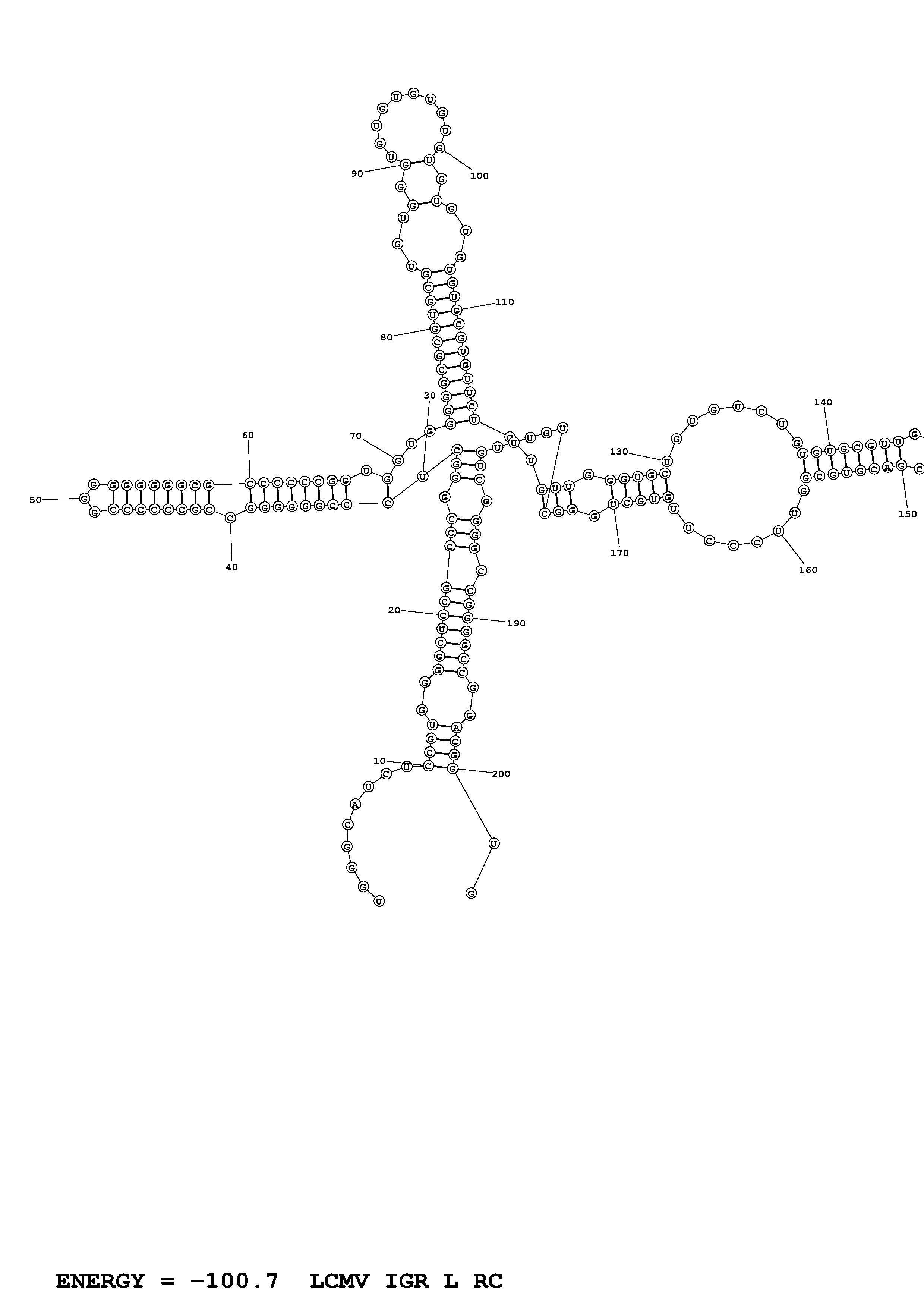
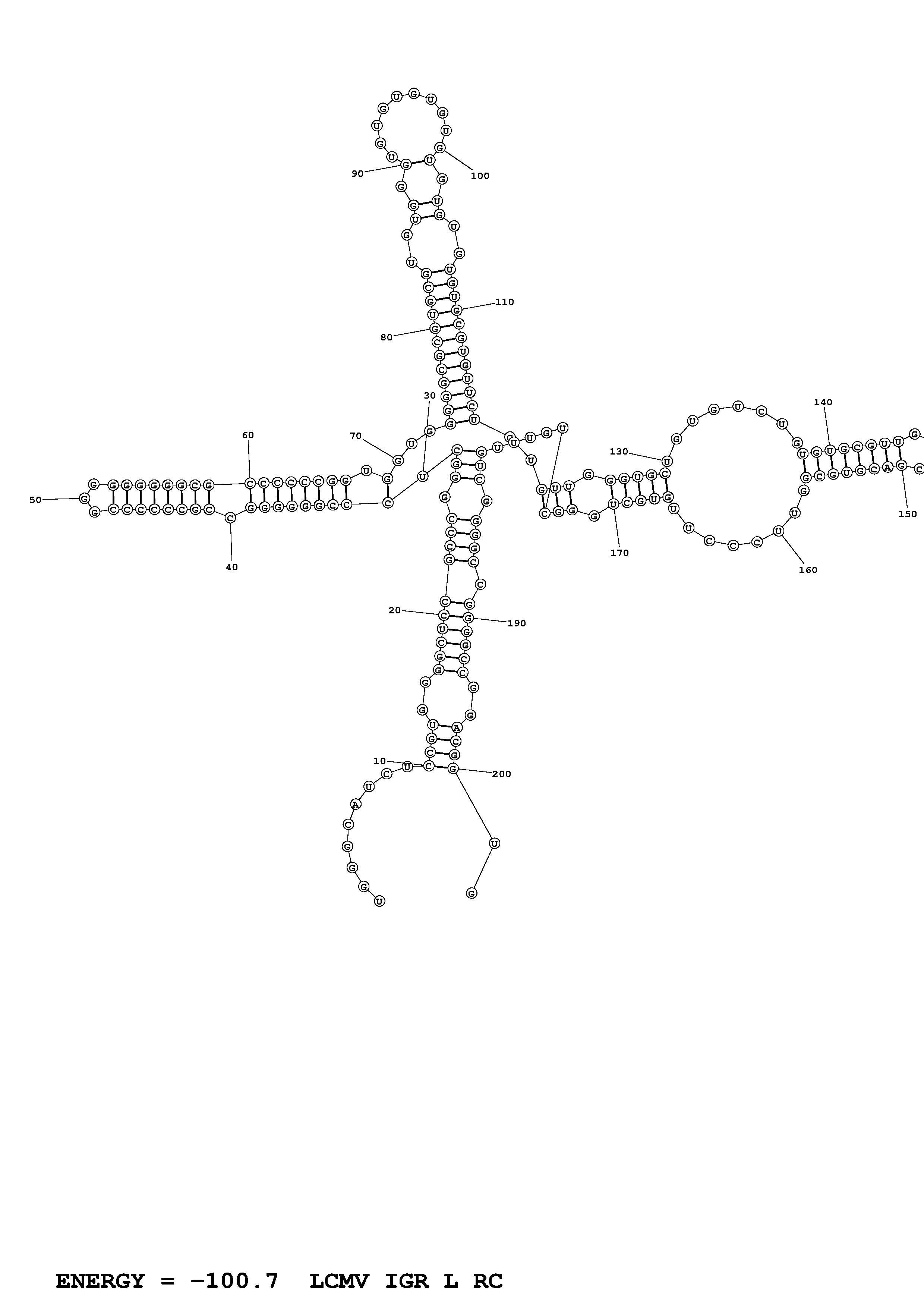
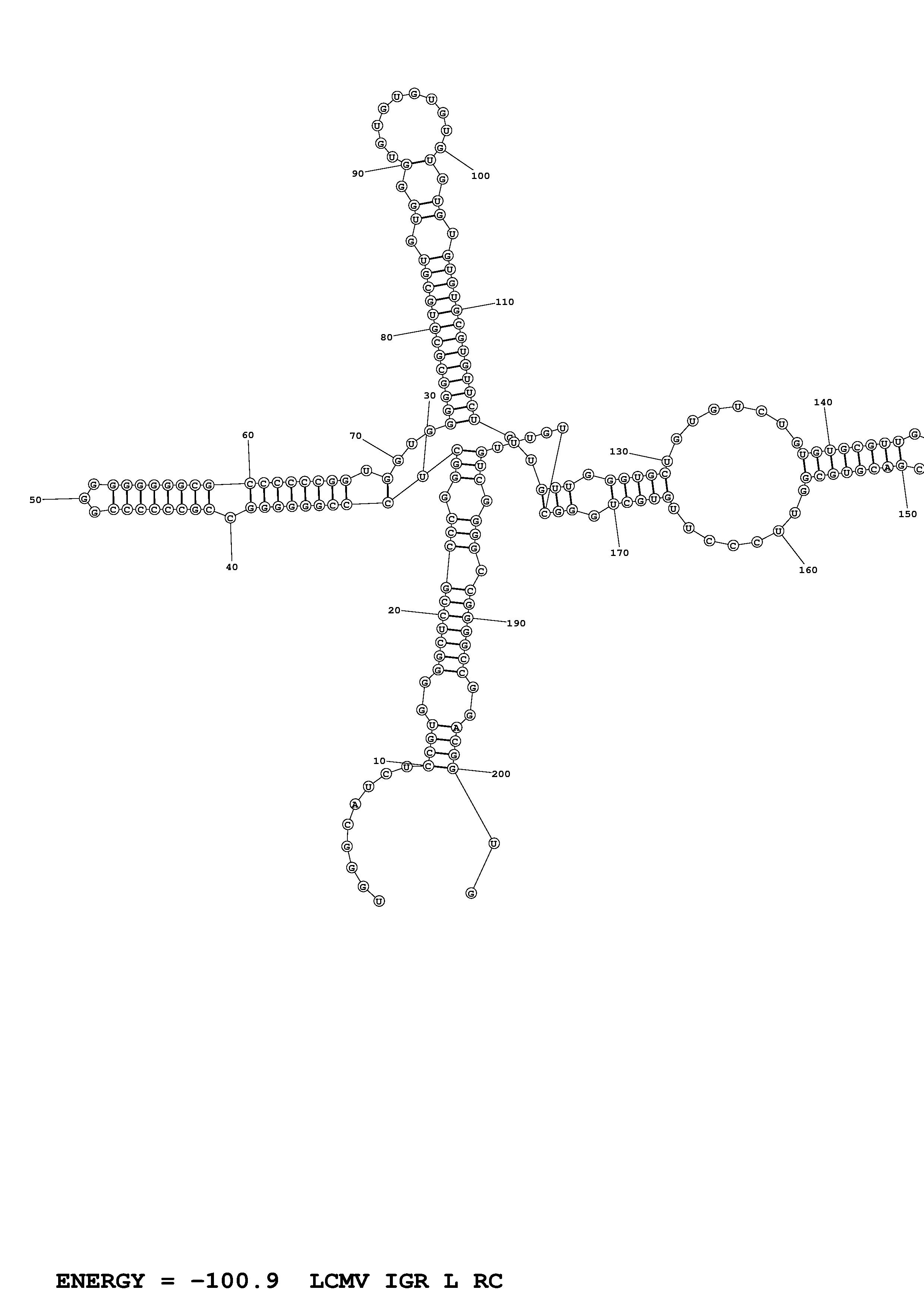
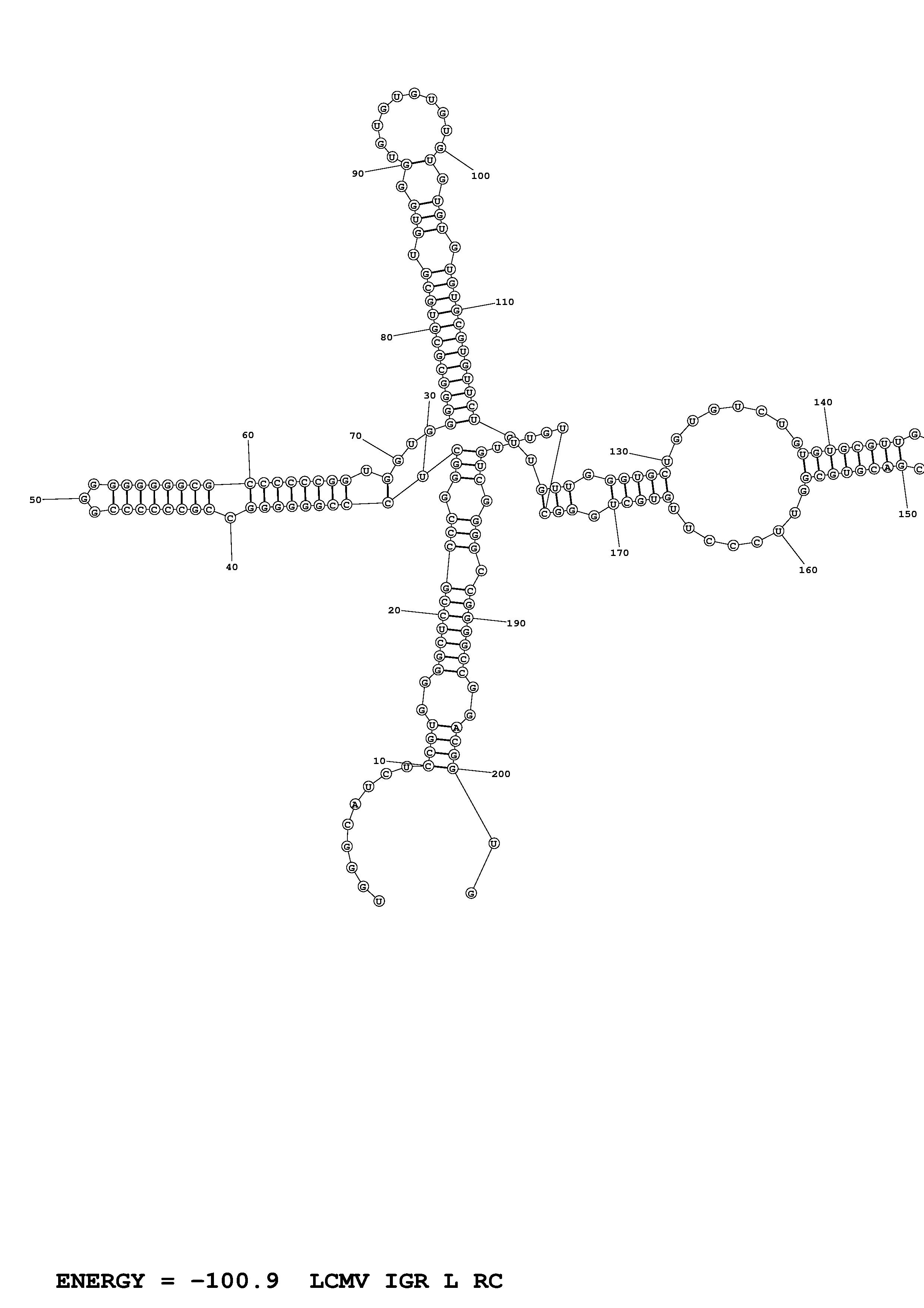
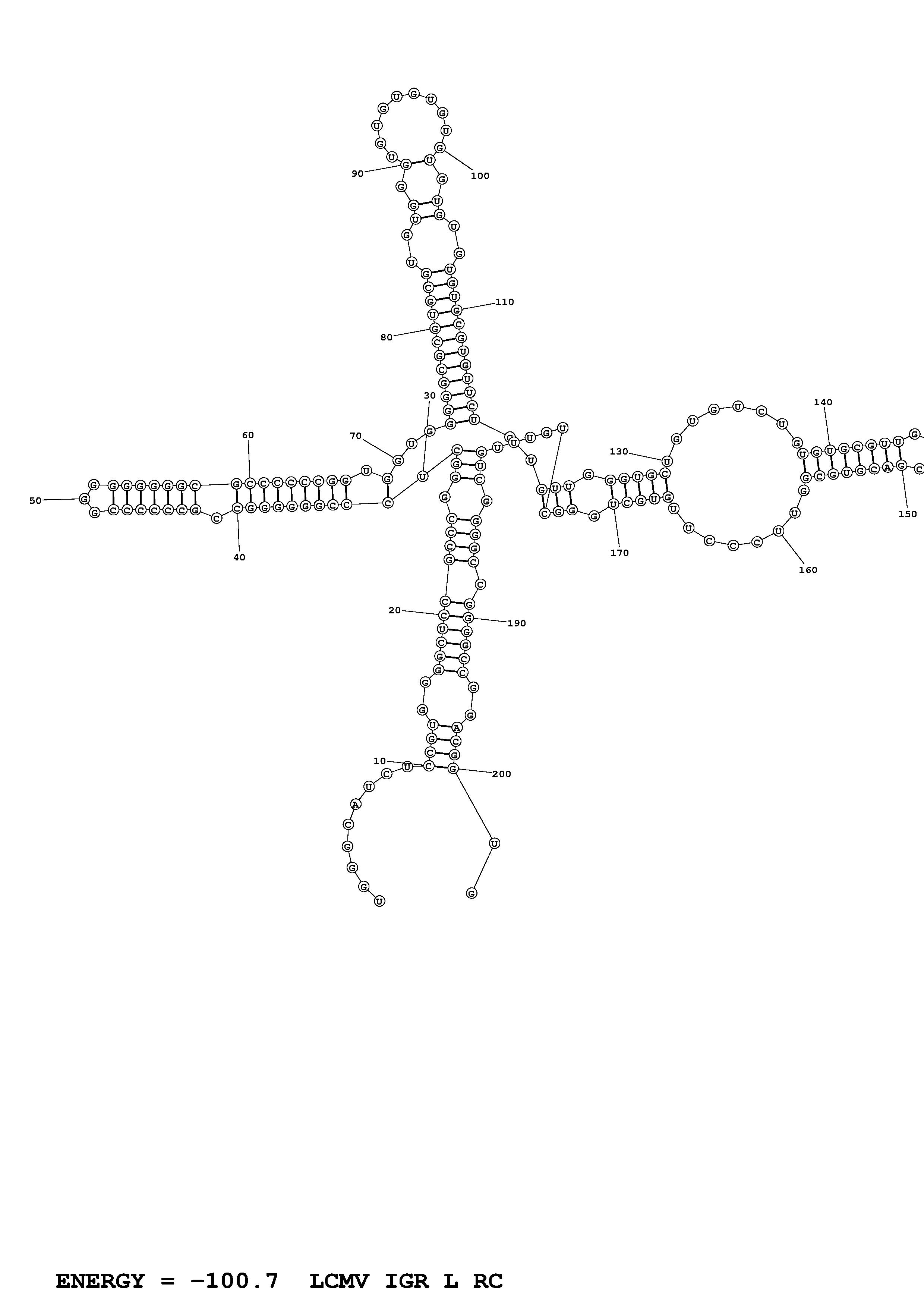
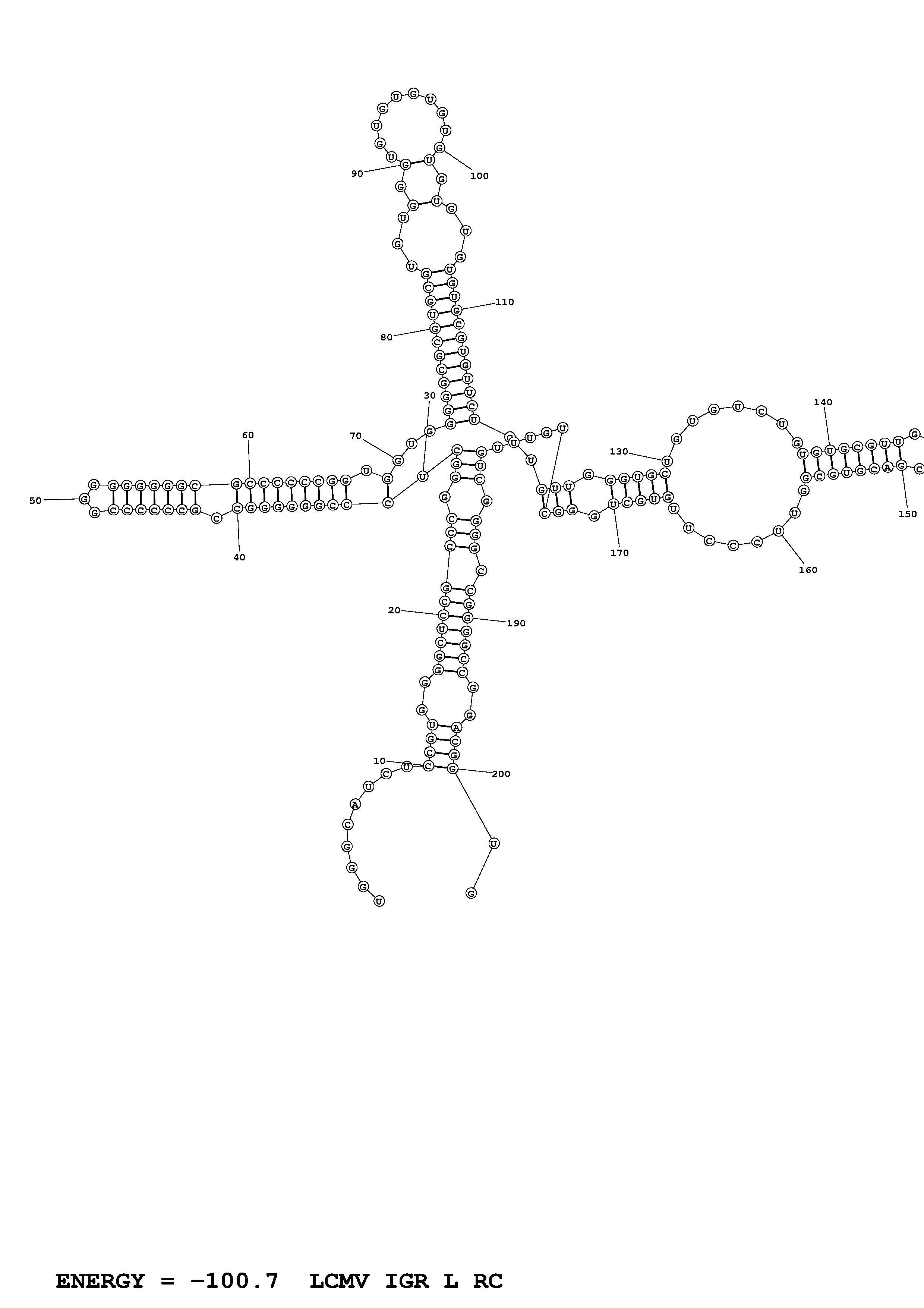
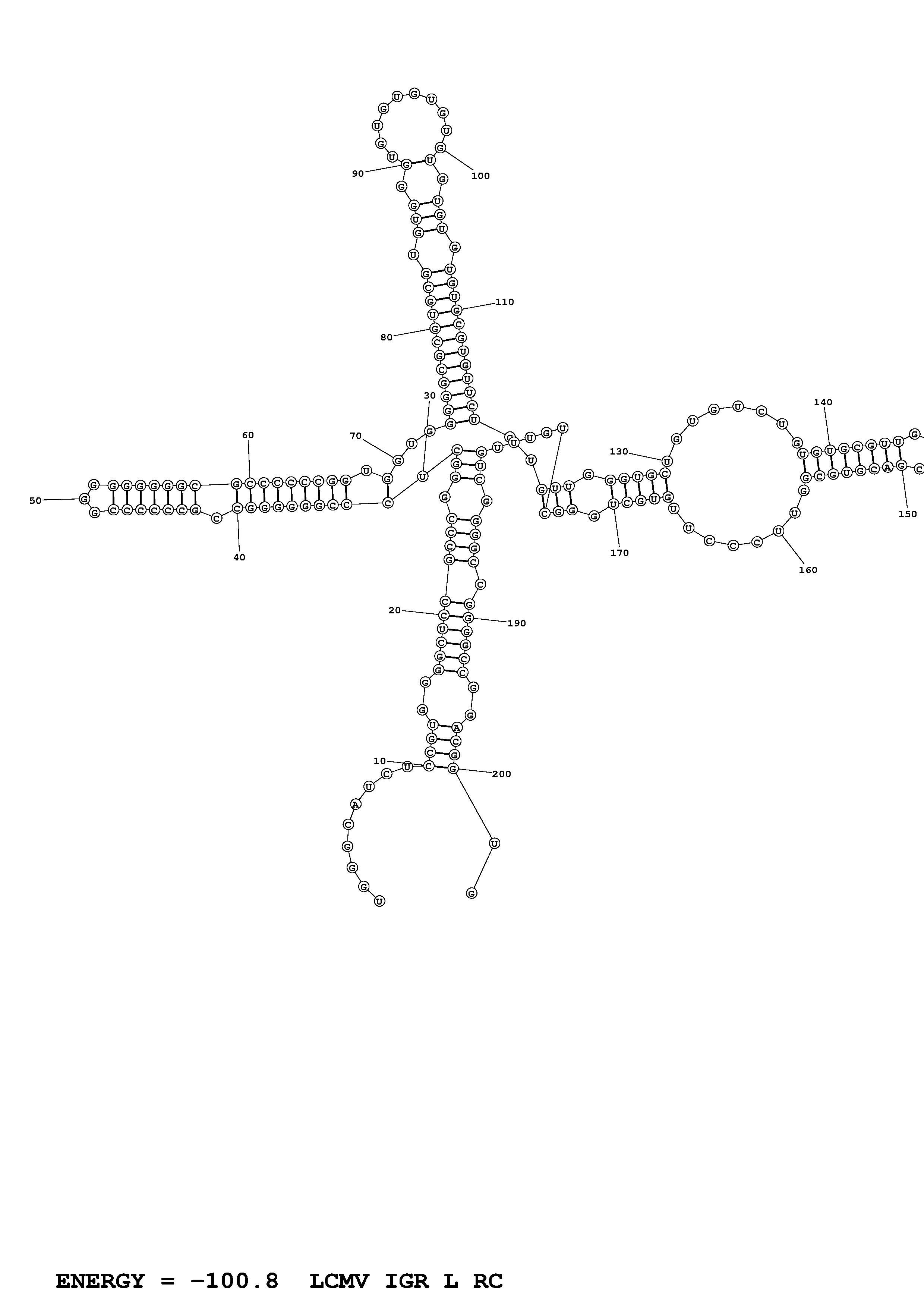
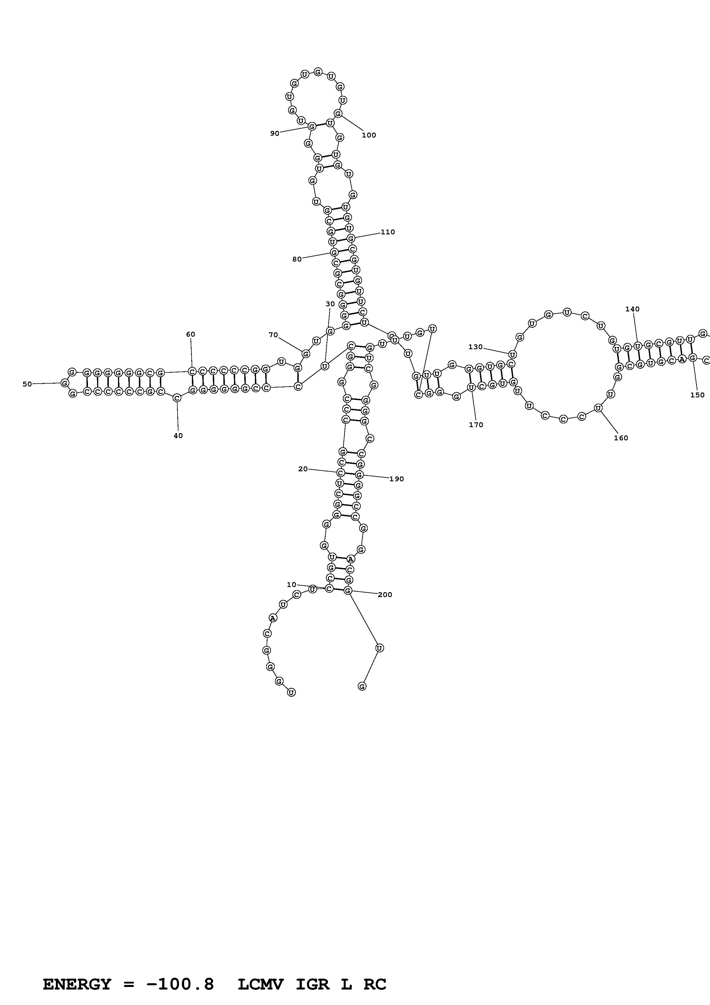
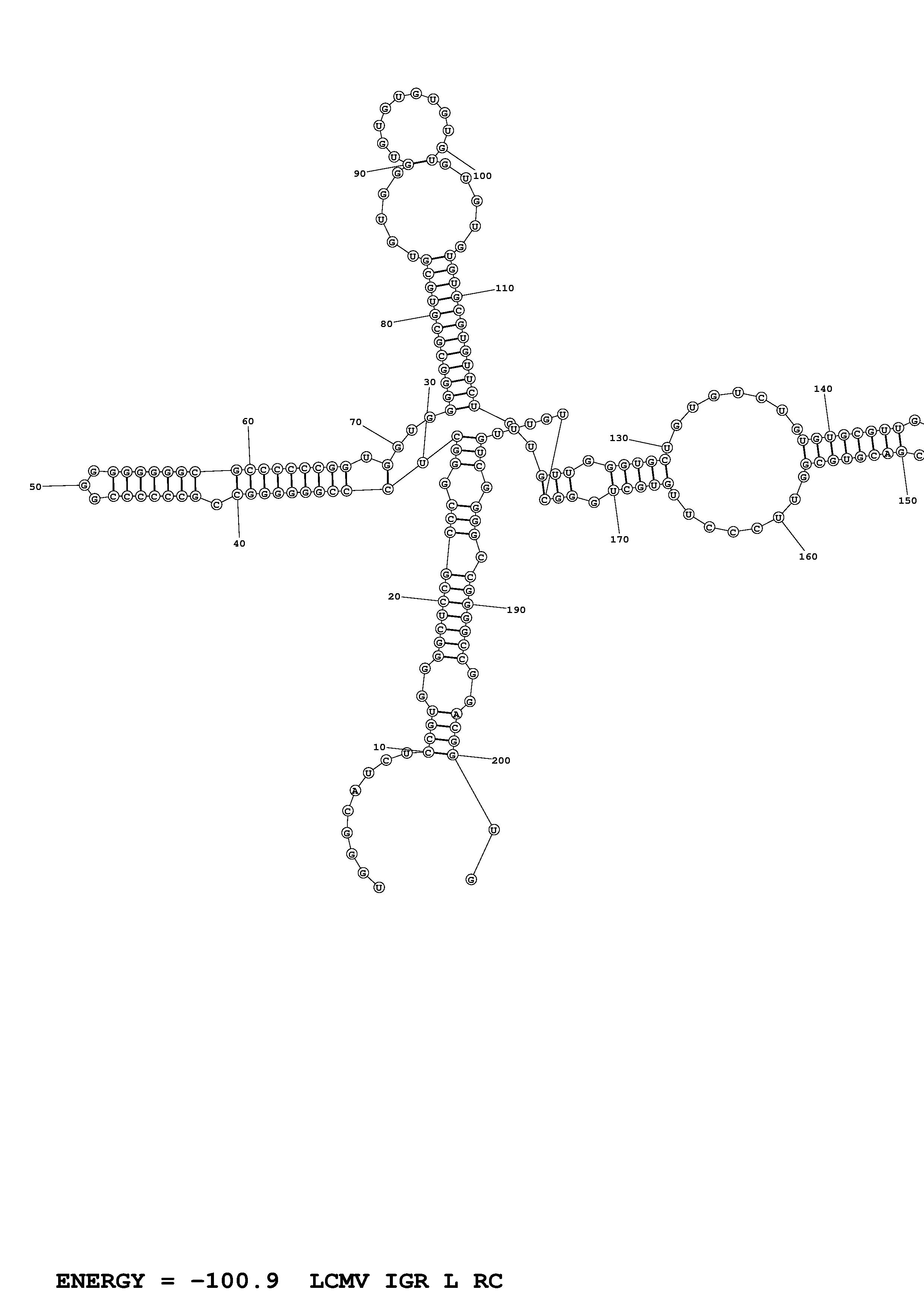
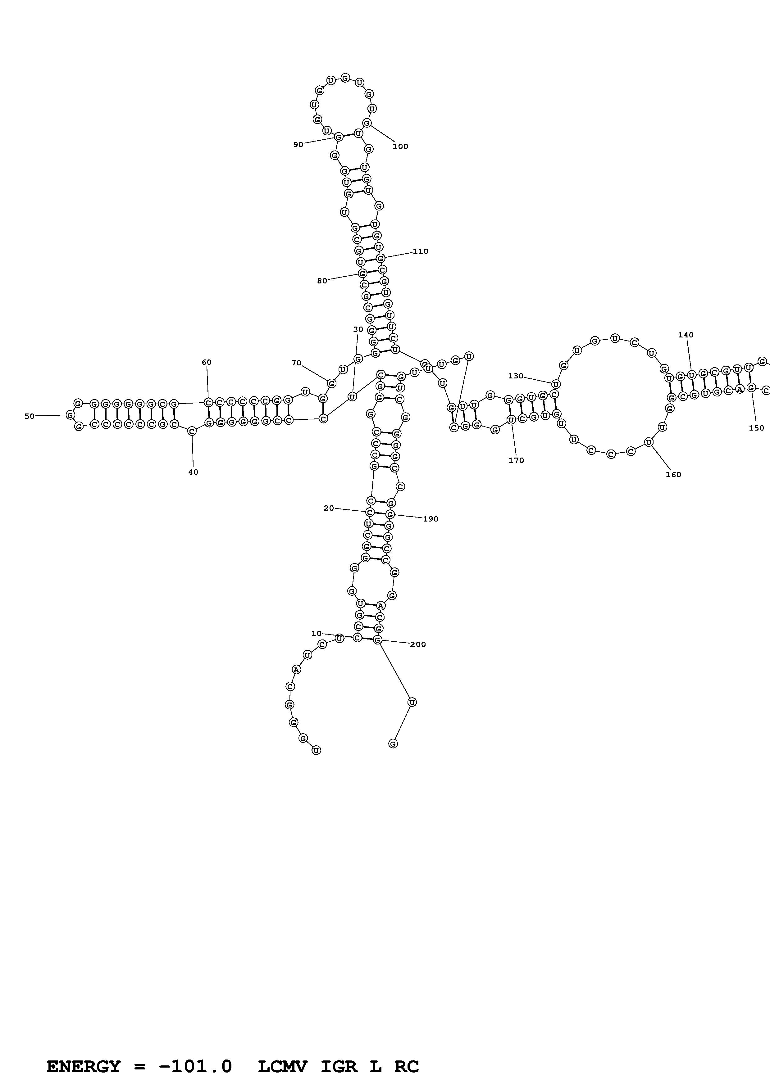
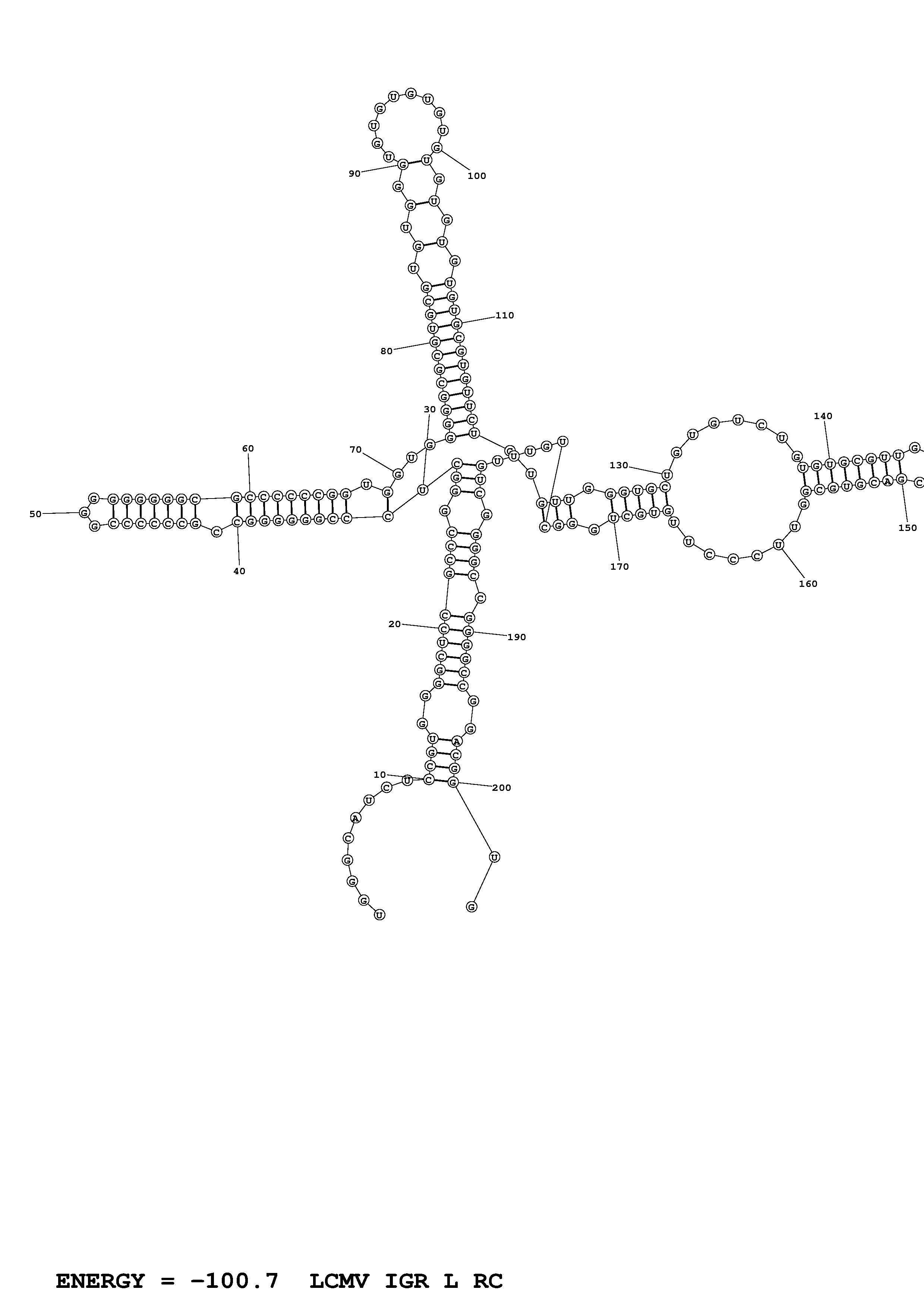
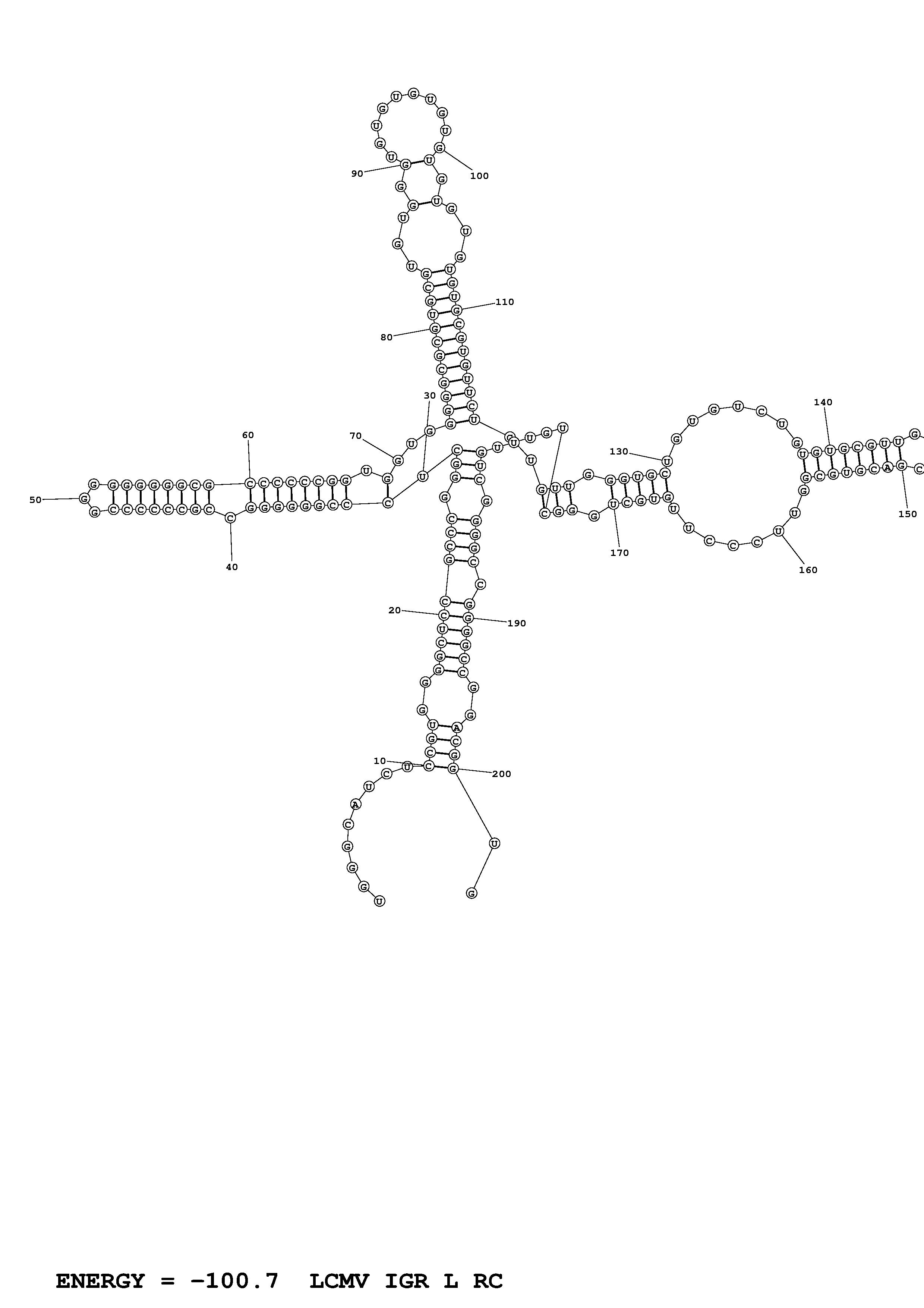
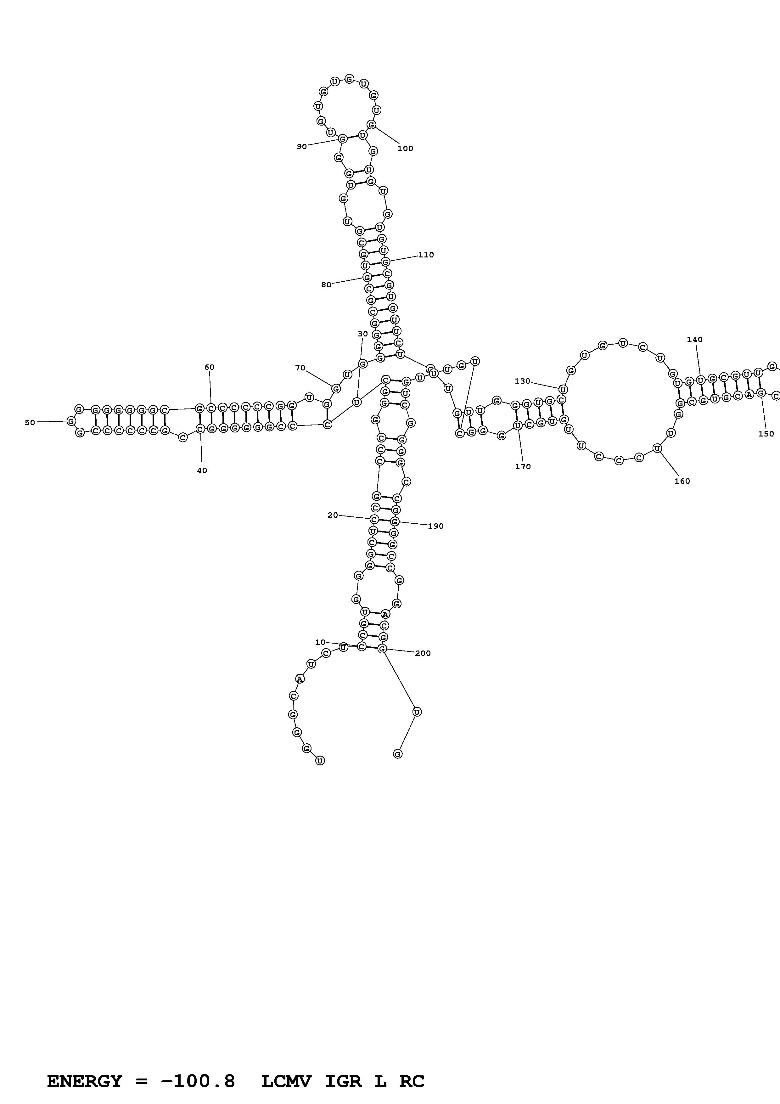
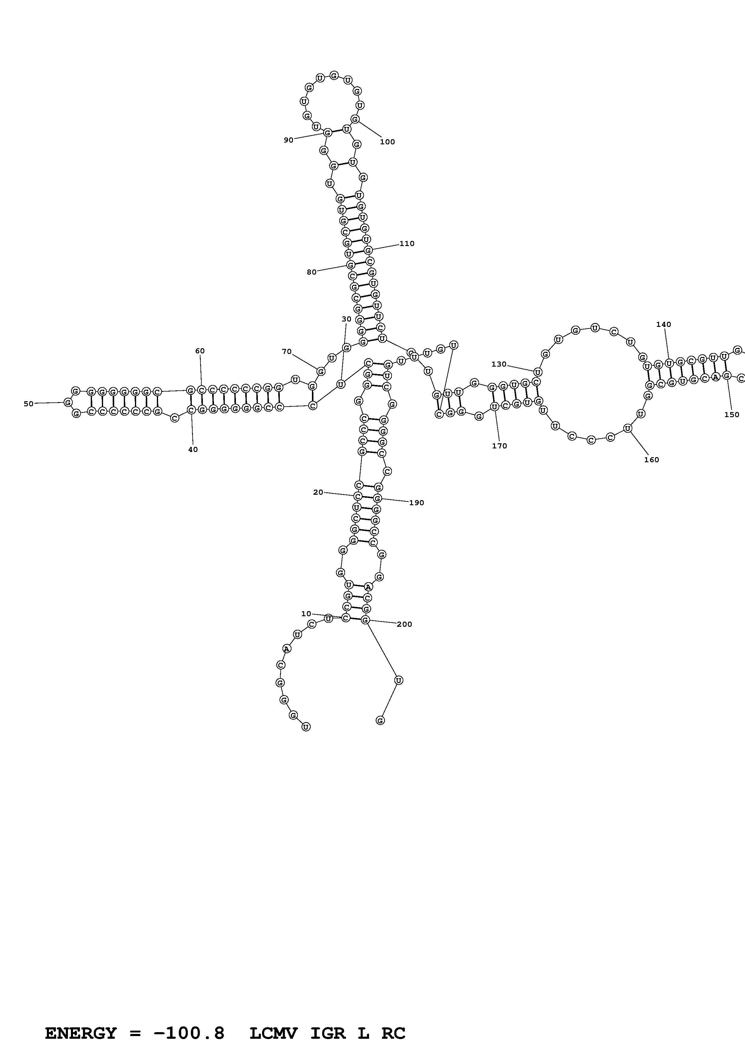
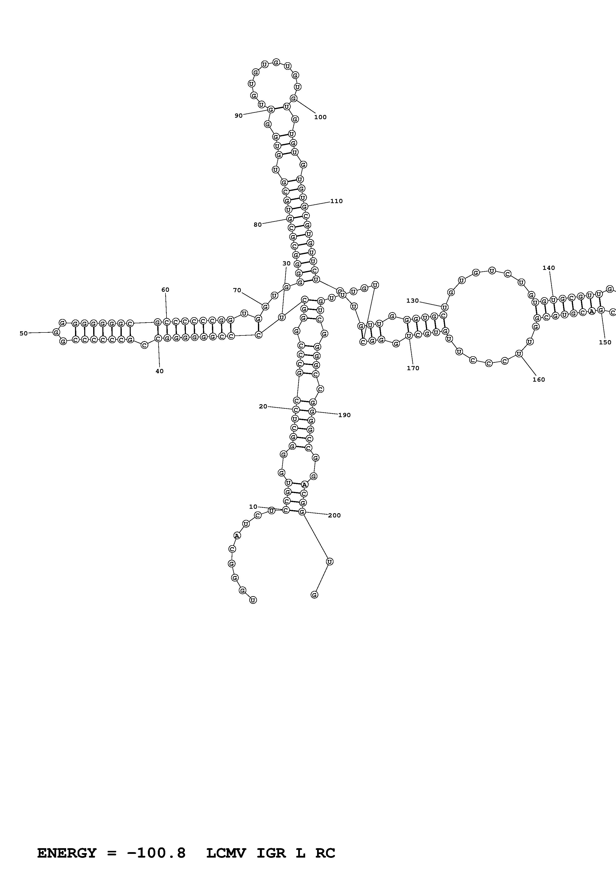
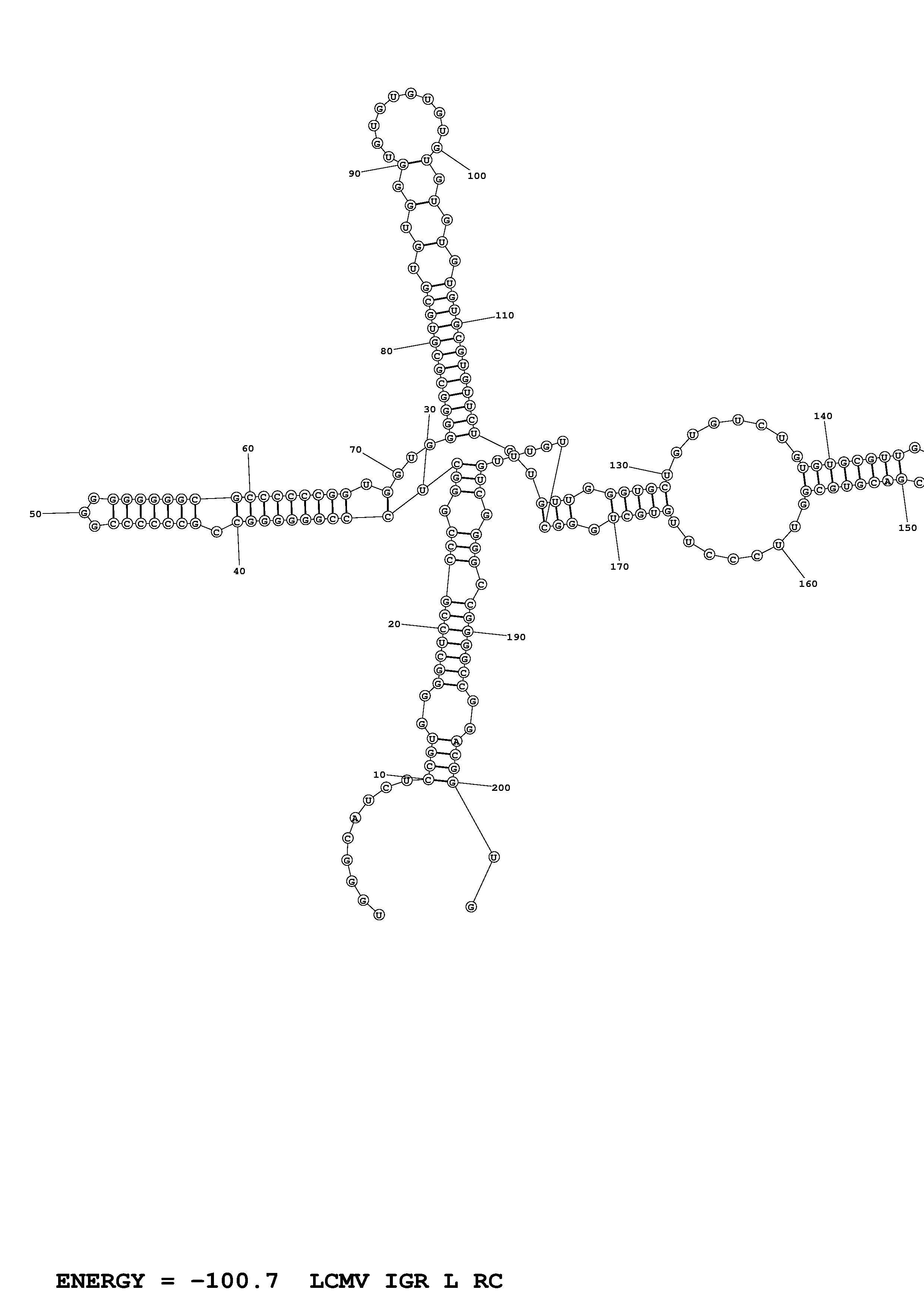
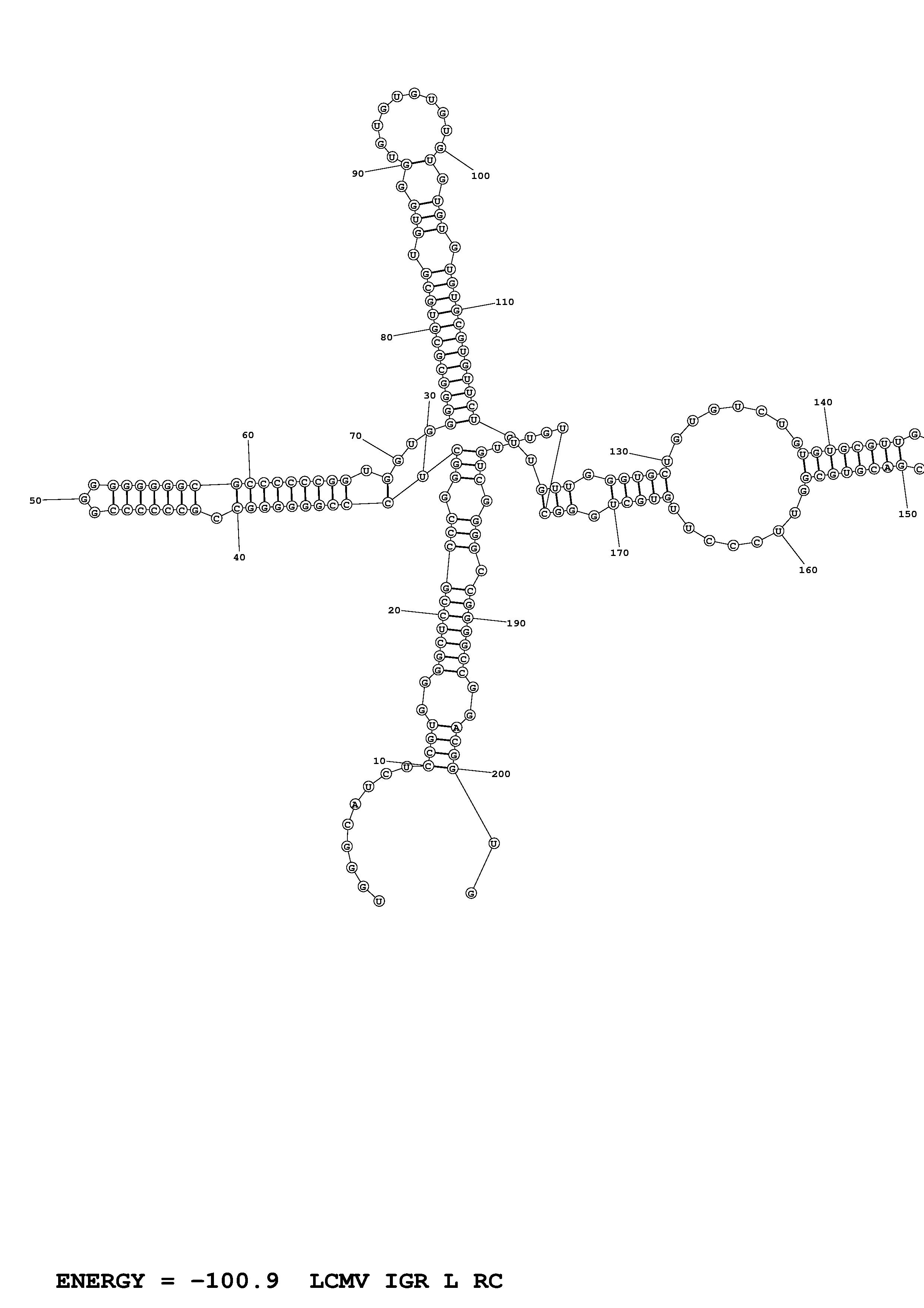
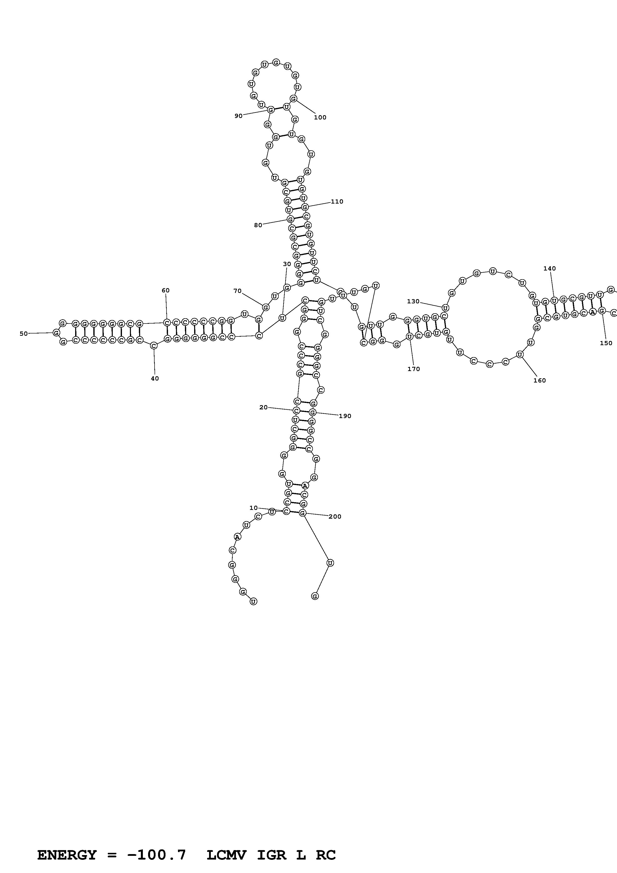
      Structure 4: PDF SVG PS JPEG PNG CT
      Structure 5: PDF SVG PS JPEG PNG CT
      Structure 6: PDF SVG PS JPEG PNG CT
      Structure 7: PDF SVG PS JPEG PNG CT
      Structure 8: PDF SVG PS JPEG PNG CT
      Structure 9: PDF SVG PS JPEG PNG CT
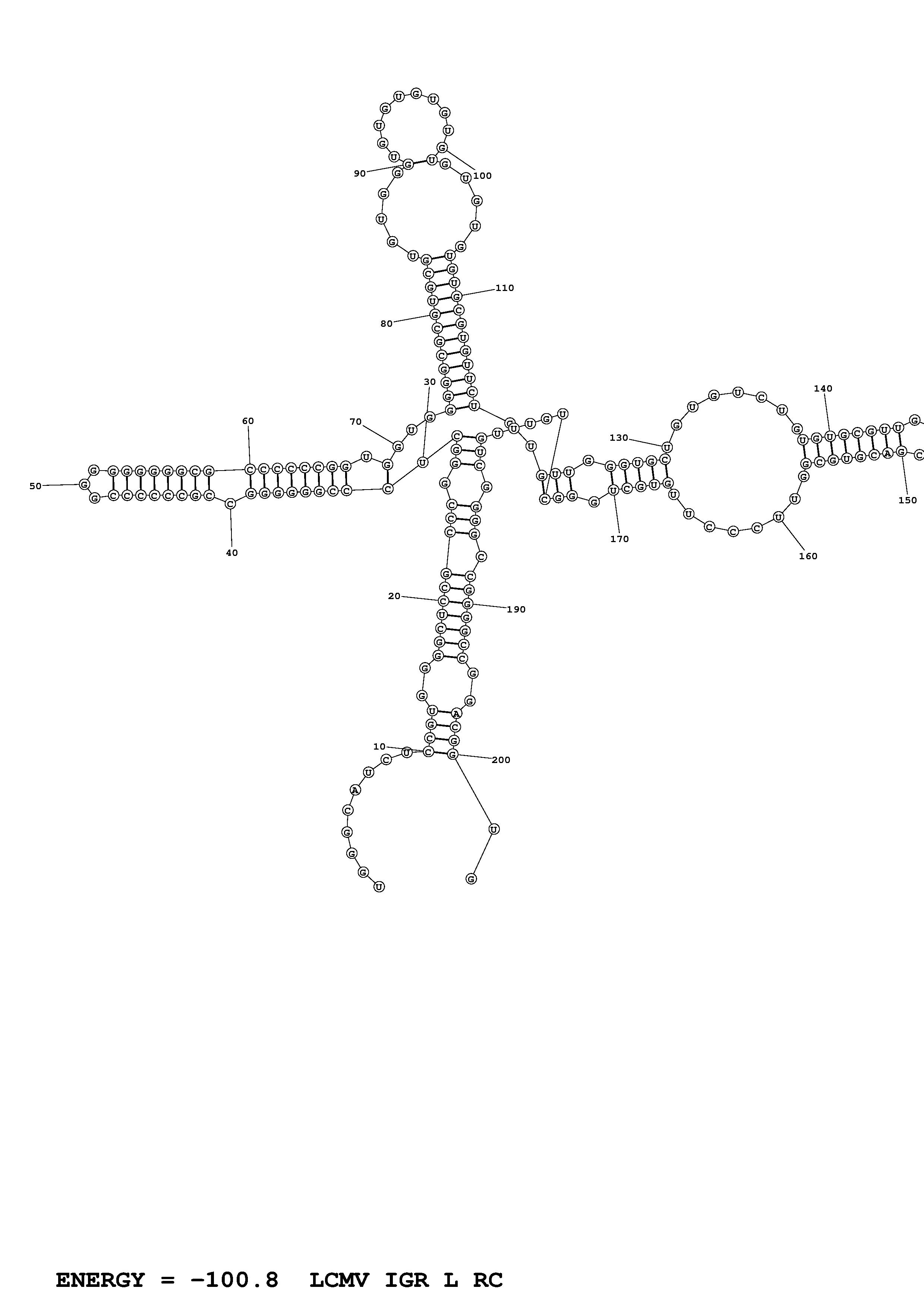
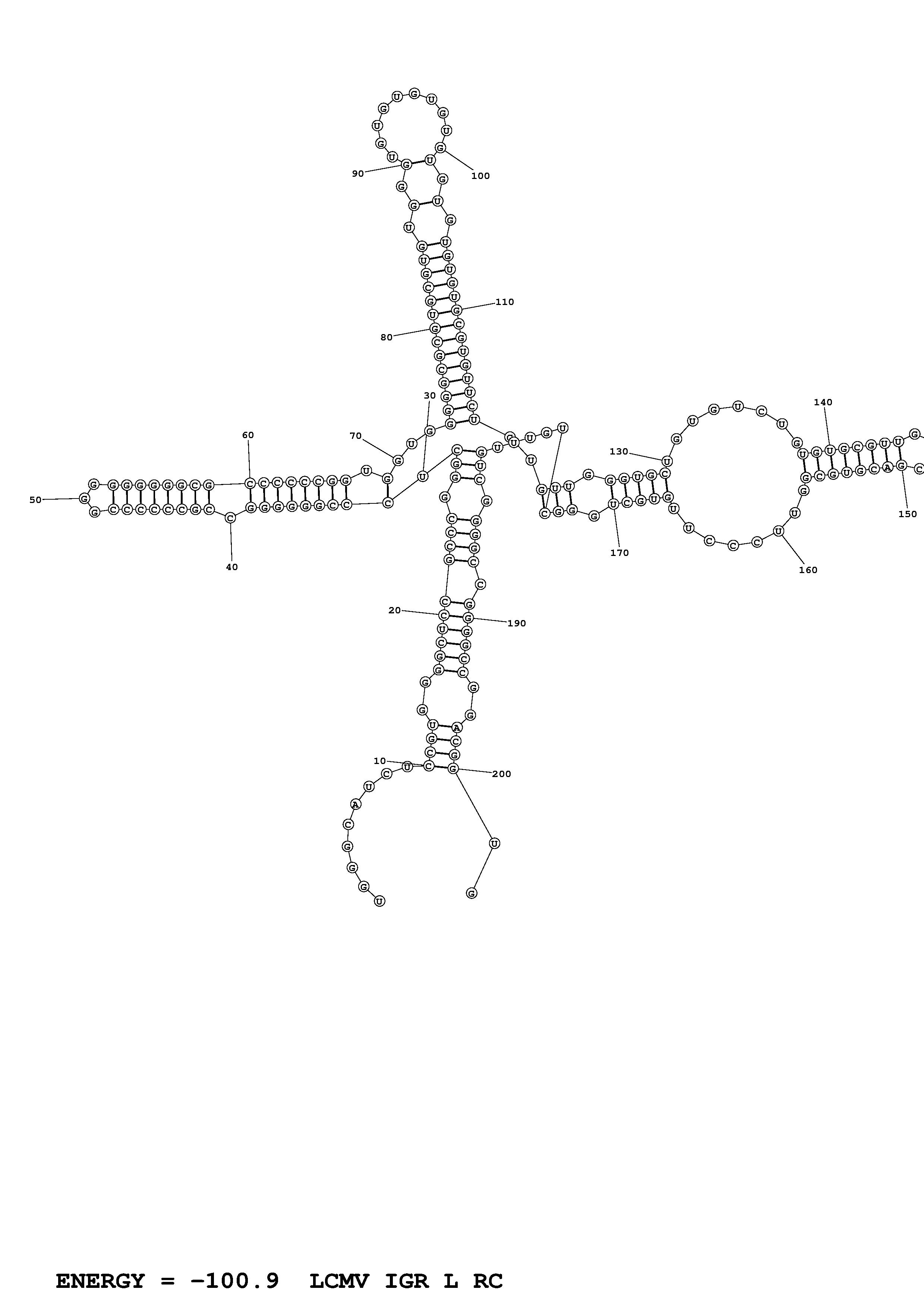
      Structure 10: PDF SVG PS JPEG PNG CT
      Structure 11: PDF SVG PS JPEG PNG CT
      Structure 12: PDF SVG PS JPEG PNG CT
      Structure 13: PDF SVG PS JPEG PNG CT
      Structure 14: PDF SVG PS JPEG PNG CT
      Structure 15: PDF SVG PS JPEG PNG CT
      Structure 16: PDF SVG PS JPEG PNG CT
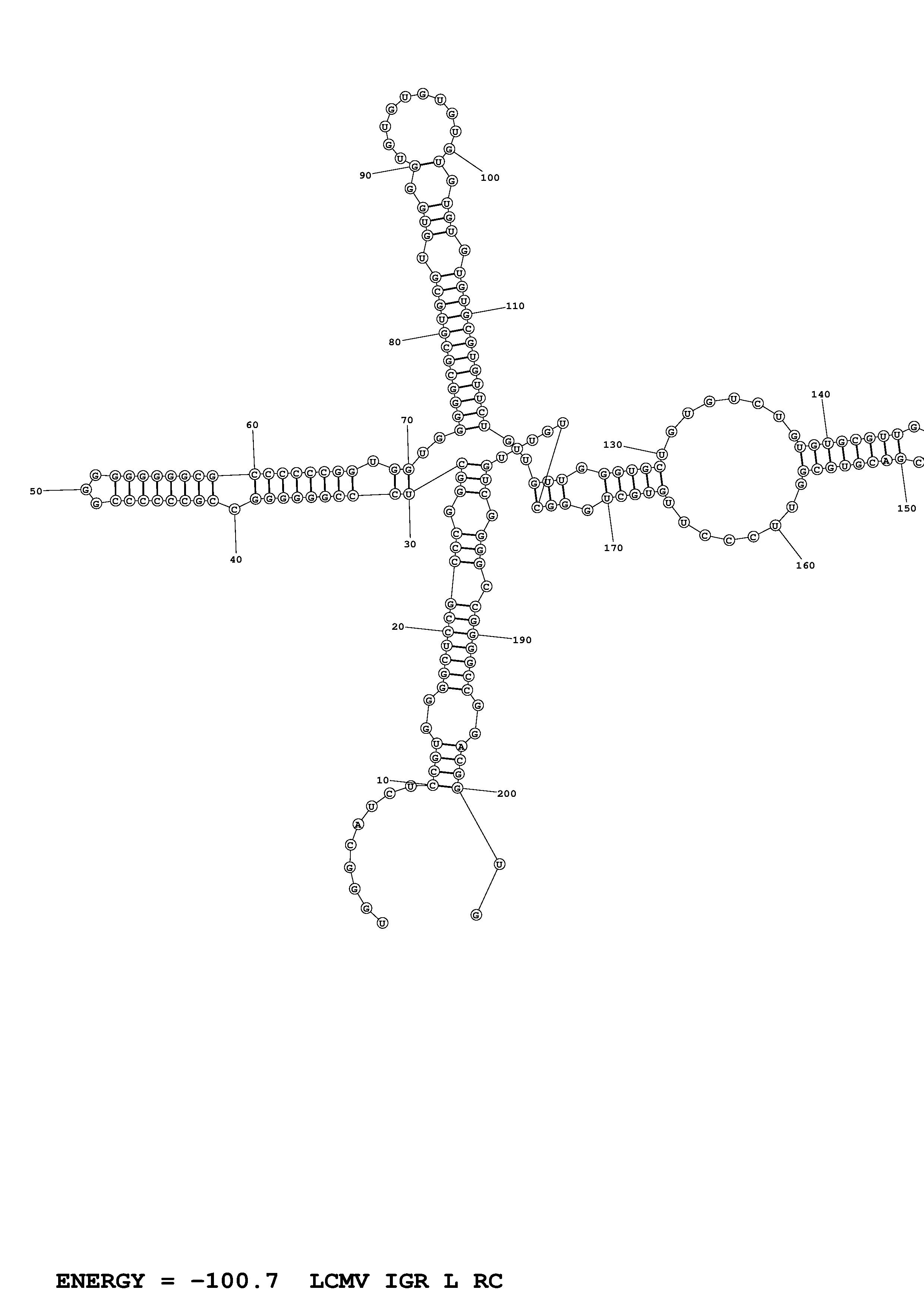
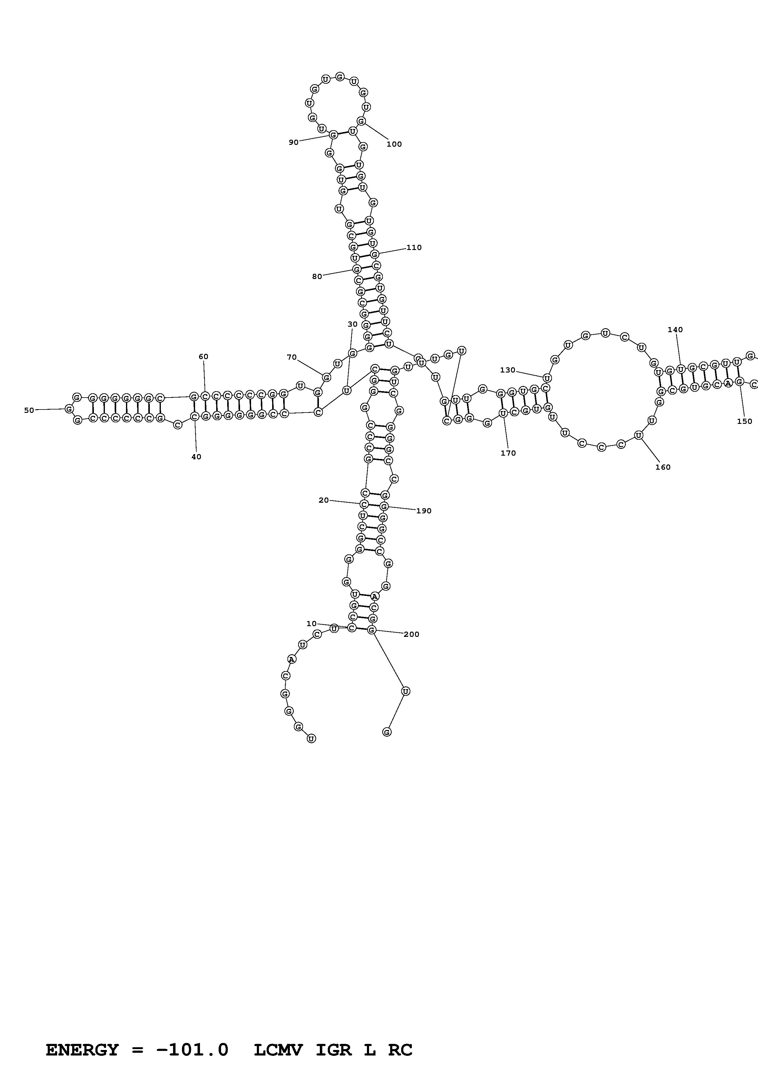
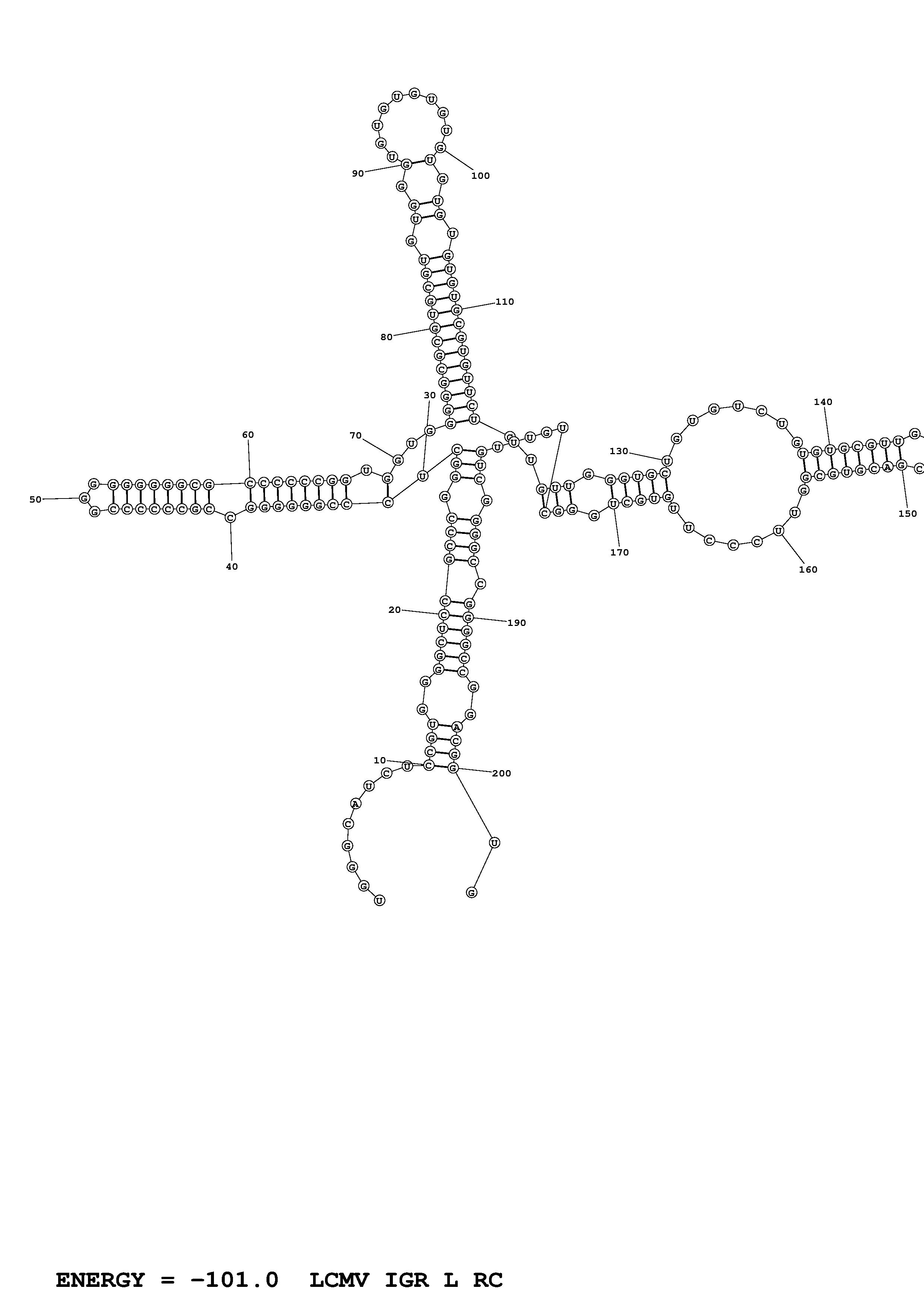
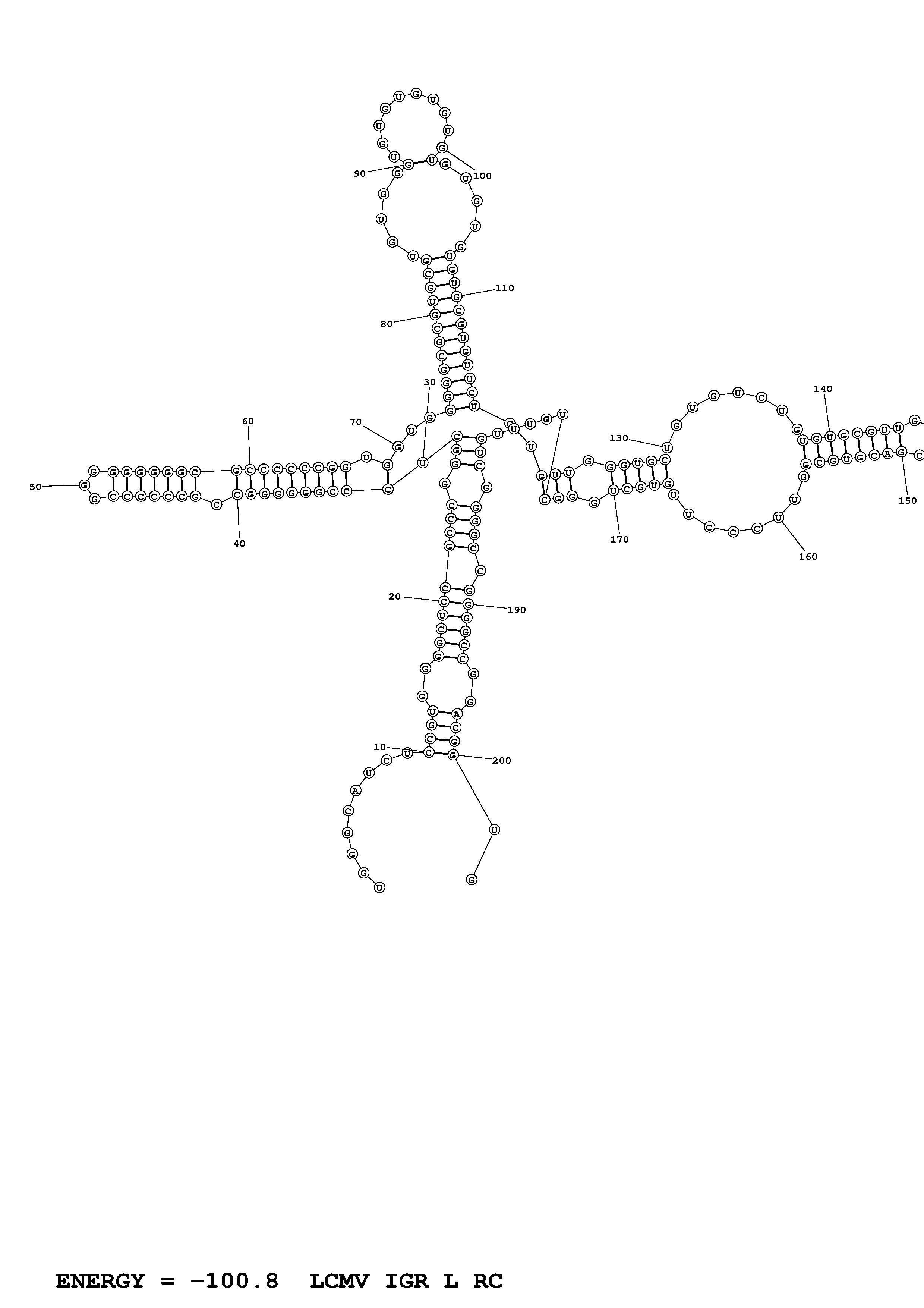
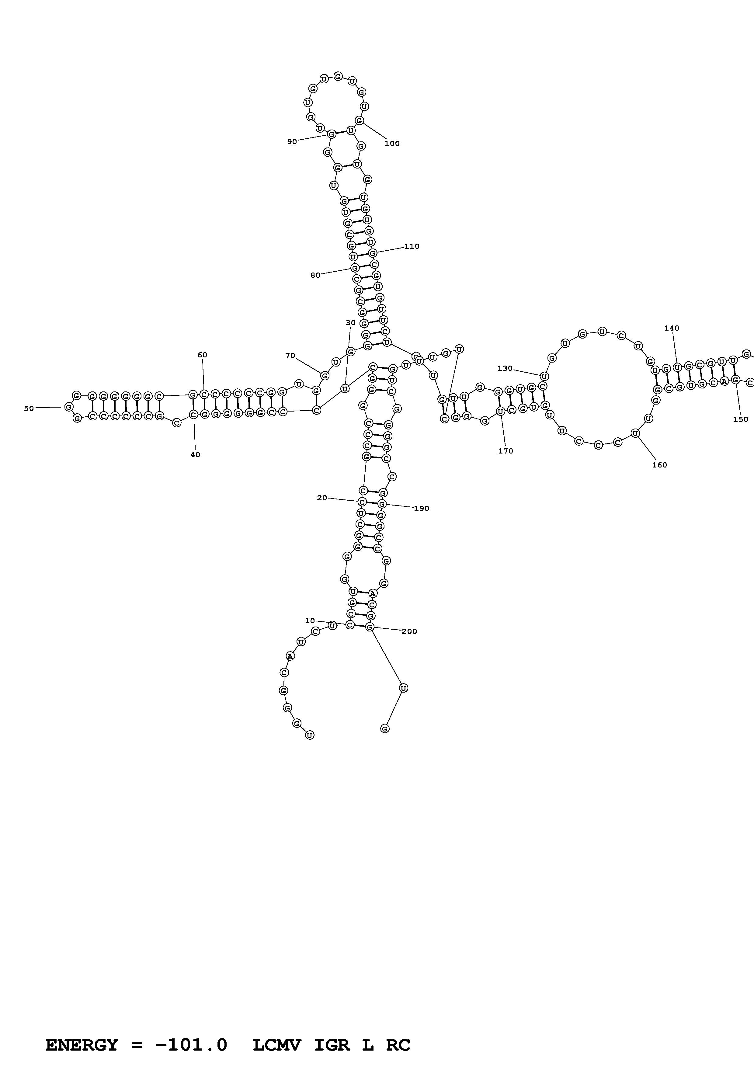
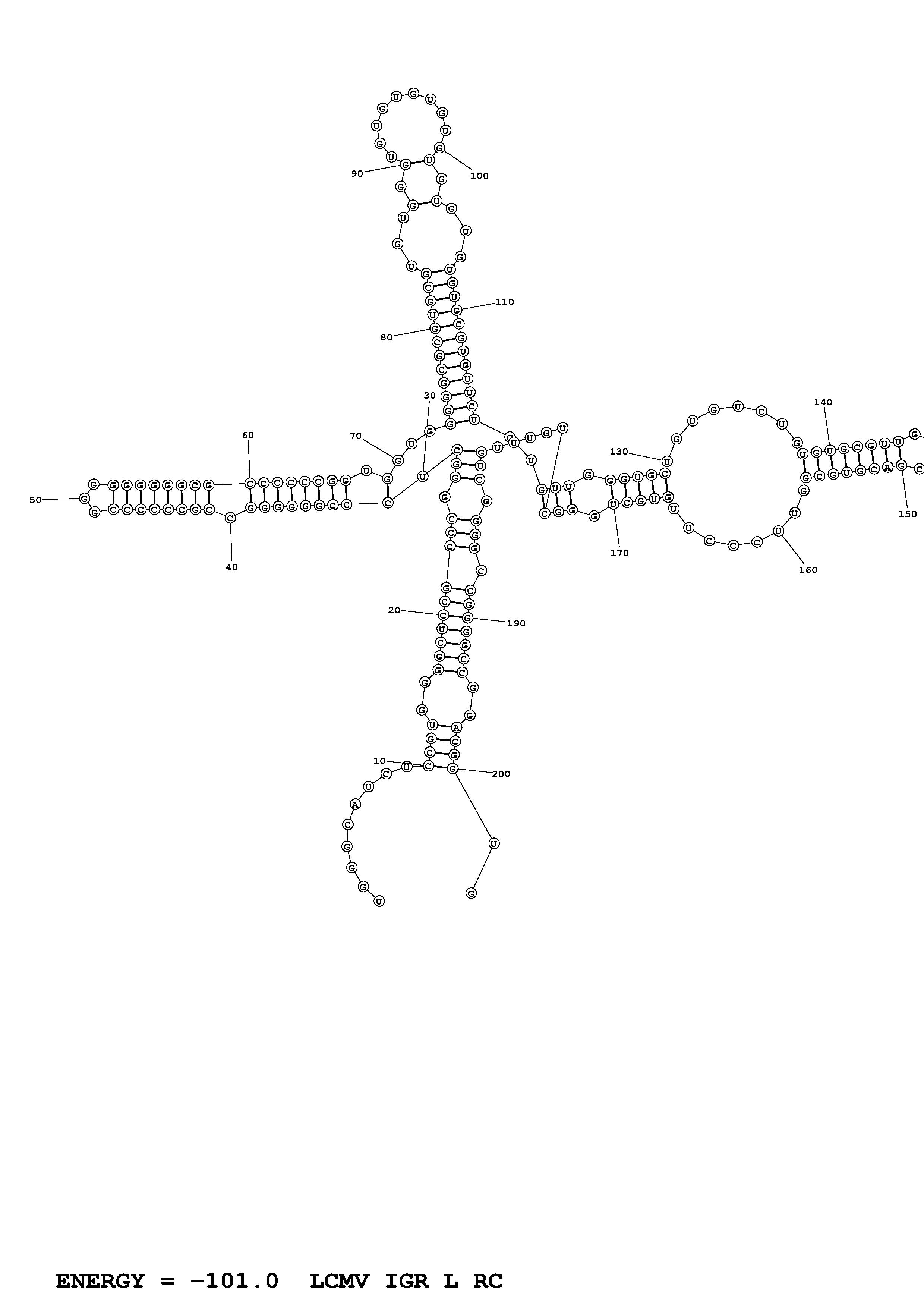
      Structure 17: PDF SVG PS JPEG PNG CT
      Structure 18: PDF SVG PS JPEG PNG CT
      Structure 19: PDF SVG PS JPEG PNG CT
      Structure 20: PDF SVG PS JPEG PNG CT
      Structure 21: PDF SVG PS JPEG PNG CT
      Structure 22: PDF SVG PS JPEG PNG CT
      Structure 23: PDF SVG PS JPEG PNG CT
      Structure 24: PDF SVG PS JPEG PNG CT
      Structure 25: PDF SVG PS JPEG PNG CT
      Structure 26: PDF SVG PS JPEG PNG CT
      Structure 27: PDF SVG PS JPEG PNG CT
      Structure 28: PDF SVG PS JPEG PNG CT
      Structure 29: PDF SVG PS JPEG PNG CT
      Structure 30: PDF SVG PS JPEG PNG CT
      Structure 31: PDF SVG PS JPEG PNG CT
      Structure 32: PDF SVG PS JPEG PNG CT
      Structure 33: PDF SVG PS JPEG PNG CT
      Structure 34: PDF SVG PS JPEG PNG CT
      Structure 35: PDF SVG PS JPEG PNG CT
      Structure 36: PDF SVG PS JPEG PNG CT
      Structure 37: PDF SVG PS JPEG PNG CT
      Structure 38: PDF SVG PS JPEG PNG CT
      Structure 39: PDF SVG PS JPEG PNG CT
      Structure 40: PDF SVG PS JPEG PNG CT
      Structure 41: PDF SVG PS JPEG PNG CT
      Structure 42: PDF SVG PS JPEG PNG CT
      Structure 43: PDF SVG PS JPEG PNG CT
      Structure 44: PDF SVG PS JPEG PNG CT
      Structure 45: PDF SVG PS JPEG PNG CT
      Structure 46: PDF SVG PS JPEG PNG CT
      Structure 47: PDF SVG PS JPEG PNG CT
      Structure 48: PDF SVG PS JPEG PNG CT
      Structure 49: PDF SVG PS JPEG PNG CT
      Structure 50: PDF SVG PS JPEG PNG CT
      Structure 51: PDF SVG PS JPEG PNG CT
      Structure 52: PDF SVG PS JPEG PNG CT
      Structure 53: PDF SVG PS JPEG PNG CT
      Structure 54: PDF SVG PS JPEG PNG CT
      Structure 55: PDF SVG PS JPEG PNG CT
      Structure 56: PDF SVG PS JPEG PNG CT
      Structure 57: PDF SVG PS JPEG PNG CT
      Structure 58: PDF SVG PS JPEG PNG CT
      Structure 59: PDF SVG PS JPEG PNG CT
      Structure 60: PDF SVG PS JPEG PNG CT
      Structure 61: PDF SVG PS JPEG PNG CT
      Structure 62: PDF SVG PS JPEG PNG CT
      Structure 63: PDF SVG PS JPEG PNG CT
      Structure 64: PDF SVG PS JPEG PNG CT
      Structure 65: PDF SVG PS JPEG PNG CT
      Structure 66: PDF SVG PS JPEG PNG CT
      Structure 67: PDF SVG PS JPEG PNG CT
      Structure 68: PDF SVG PS JPEG PNG CT
      Structure 69: PDF SVG PS JPEG PNG CT
      Structure 70: PDF SVG PS JPEG PNG CT
      Structure 71: PDF SVG PS JPEG PNG CT
      Structure 72: PDF SVG PS JPEG PNG CT
      Structure 73: PDF SVG PS JPEG PNG CT
      Structure 74: PDF SVG PS JPEG PNG CT
      Structure 75: PDF SVG PS JPEG PNG CT
      Structure 76: PDF SVG PS JPEG PNG CT
      Structure 77: PDF SVG PS JPEG PNG CT
      Structure 78: PDF SVG PS JPEG PNG CT
      Structure 79: PDF SVG PS JPEG PNG CT
      Structure 80: PDF SVG PS JPEG PNG CT
      Structure 81: PDF SVG PS JPEG PNG CT
      Structure 82: PDF SVG PS JPEG PNG CT
      Structure 83: PDF SVG PS JPEG PNG CT
      Structure 84: PDF SVG PS JPEG PNG CT
      Structure 85: PDF SVG PS JPEG PNG CT
      Structure 86: PDF SVG PS JPEG PNG CT
      Structure 87: PDF SVG PS JPEG PNG CT
      Structure 88: PDF SVG PS JPEG PNG CT
      Structure 89: PDF SVG PS JPEG PNG CT
      Structure 90: PDF SVG PS JPEG PNG CT
      Structure 91: PDF SVG PS JPEG PNG CT
      Structure 92: PDF SVG PS JPEG PNG CT
      Structure 93: PDF SVG PS JPEG PNG CT
      Structure 94: PDF SVG PS JPEG PNG CT
      Structure 95: PDF SVG PS JPEG PNG CT
      Structure 96: PDF SVG PS JPEG PNG CT
      Structure 97: PDF SVG PS JPEG PNG CT
      Structure 98: PDF SVG PS JPEG PNG CT
      Structure 99: PDF SVG PS JPEG PNG CT
      Structure 100: PDF SVG PS JPEG PNG CT
      Structure 101: PDF SVG PS JPEG PNG CT
      Structure 102: PDF SVG PS JPEG PNG CT
      Structure 103: PDF SVG PS JPEG PNG CT
      Structure 104: PDF SVG PS JPEG PNG CT
      Structure 105: PDF SVG PS JPEG PNG CT
      Structure 106: PDF SVG PS JPEG PNG CT
      Structure 107: PDF SVG PS JPEG PNG CT
      Structure 108: PDF SVG PS JPEG PNG CT
      Structure 109: PDF SVG PS JPEG PNG CT
      Structure 110: PDF SVG PS JPEG PNG CT
      Structure 111: PDF SVG PS JPEG PNG CT
      Structure 112: PDF SVG PS JPEG PNG CT
      Structure 113: PDF SVG PS JPEG PNG CT
      Structure 114: PDF SVG PS JPEG PNG CT
      Structure 115: PDF SVG PS JPEG PNG CT
      Structure 116: PDF SVG PS JPEG PNG CT
      Structure 117: PDF SVG PS JPEG PNG CT
      Structure 118: PDF SVG PS JPEG PNG CT
      Structure 119: PDF SVG PS JPEG PNG CT
      Structure 120: PDF SVG PS JPEG PNG CT
      Structure 121: PDF SVG PS JPEG PNG CT
      Structure 122: PDF SVG PS JPEG PNG CT
      Structure 123: PDF SVG PS JPEG PNG CT
      Structure 124: PDF SVG PS JPEG PNG CT
      Structure 125: PDF SVG PS JPEG PNG CT
      Structure 126: PDF SVG PS JPEG PNG CT
      Structure 127: PDF SVG PS JPEG PNG CT
      Structure 128: PDF SVG PS JPEG PNG CT
      Structure 129: PDF SVG PS JPEG PNG CT
      Structure 130: PDF SVG PS JPEG PNG CT
      Structure 131: PDF SVG PS JPEG PNG CT
      Structure 132: PDF SVG PS JPEG PNG CT
      Structure 133: PDF SVG PS JPEG PNG CT
      Structure 134: PDF SVG PS JPEG PNG CT
      Structure 135: PDF SVG PS JPEG PNG CT
      Structure 136: PDF SVG PS JPEG PNG CT
      Structure 137: PDF SVG PS JPEG PNG CT
      Structure 138: PDF SVG PS JPEG PNG CT
      Structure 139: PDF SVG PS JPEG PNG CT
      Structure 140: PDF SVG PS JPEG PNG CT
      Structure 141: PDF SVG PS JPEG PNG CT
      Structure 142: PDF SVG PS JPEG PNG CT
      Structure 143: PDF SVG PS JPEG PNG CT
      Structure 144: PDF SVG PS JPEG PNG CT
      Structure 145: PDF SVG PS JPEG PNG CT
      Structure 146: PDF SVG PS JPEG PNG CT
      Structure 147: PDF SVG PS JPEG PNG CT
      Structure 148: PDF SVG PS JPEG PNG CT
      Structure 149: PDF SVG PS JPEG PNG CT
      Structure 150: PDF SVG PS JPEG PNG CT
      Structure 151: PDF SVG PS JPEG PNG CT
      Structure 152: PDF SVG PS JPEG PNG CT
      Structure 153: PDF SVG PS JPEG PNG CT
      Structure 154: PDF SVG PS JPEG PNG CT
      Structure 155: PDF SVG PS JPEG PNG CT
      Structure 156: PDF SVG PS JPEG PNG CT
      Structure 157: PDF SVG PS JPEG PNG CT
      Structure 158: PDF SVG PS JPEG PNG CT
      Structure 159: PDF SVG PS JPEG PNG CT
      Structure 160: PDF SVG PS JPEG PNG CT
      Structure 161: PDF SVG PS JPEG PNG CT
      Structure 162: PDF SVG PS JPEG PNG CT
      Structure 163: PDF SVG PS JPEG PNG CT
      Structure 164: PDF SVG PS JPEG PNG CT
      Structure 165: PDF SVG PS JPEG PNG CT
      Structure 166: PDF SVG PS JPEG PNG CT
      Structure 167: PDF SVG PS JPEG PNG CT
      Structure 168: PDF SVG PS JPEG PNG CT
      Structure 169: PDF SVG PS JPEG PNG CT
      Structure 170: PDF SVG PS JPEG PNG CT
      Structure 171: PDF SVG PS JPEG PNG CT
      Structure 172: PDF SVG PS JPEG PNG CT
      Structure 173: PDF SVG PS JPEG PNG CT
      Structure 174: PDF SVG PS JPEG PNG CT
      Structure 175: PDF SVG PS JPEG PNG CT
      Structure 176: PDF SVG PS JPEG PNG CT
      Structure 177: PDF SVG PS JPEG PNG CT
      Structure 178: PDF SVG PS JPEG PNG CT
      Structure 179: PDF SVG PS JPEG PNG CT
      Structure 180: PDF SVG PS JPEG PNG CT
      Structure 181: PDF SVG PS JPEG PNG CT
      Structure 182: PDF SVG PS JPEG PNG CT
      Structure 183: PDF SVG PS JPEG PNG CT
      Structure 184: PDF SVG PS JPEG PNG CT
      Structure 185: PDF SVG PS JPEG PNG CT
      Structure 186: PDF SVG PS JPEG PNG CT
      Structure 187: PDF SVG PS JPEG PNG CT
      Structure 188: PDF SVG PS JPEG PNG CT
      Structure 189: PDF SVG PS JPEG PNG CT
      Structure 190: PDF SVG PS JPEG PNG CT
      Structure 191: PDF SVG PS JPEG PNG CT
      Structure 192: PDF SVG PS JPEG PNG CT
      Structure 193: PDF SVG PS JPEG PNG CT
      Structure 194: PDF SVG PS JPEG PNG CT
      Structure 195: PDF SVG PS JPEG PNG CT
      Structure 196: PDF SVG PS JPEG PNG CT
      Structure 197: PDF SVG PS JPEG PNG CT
      Structure 198: PDF SVG PS JPEG PNG CT
      Structure 199: PDF SVG PS JPEG PNG CT
      Structure 200: PDF SVG PS JPEG PNG CT
      Structure 201: PDF SVG PS JPEG PNG CT
      Structure 202: PDF SVG PS JPEG PNG CT
      Structure 203: PDF SVG PS JPEG PNG CT
      Structure 204: PDF SVG PS JPEG PNG CT
      Structure 205: PDF SVG PS JPEG PNG CT
      Structure 206: PDF SVG PS JPEG PNG CT
      Structure 207: PDF SVG PS JPEG PNG CT
      Structure 208: PDF SVG PS JPEG PNG CT
      Structure 209: PDF SVG PS JPEG PNG CT
      Structure 210: PDF SVG PS JPEG PNG CT
      Structure 211: PDF SVG PS JPEG PNG CT
      Structure 212: PDF SVG PS JPEG PNG CT
      Structure 213: PDF SVG PS JPEG PNG CT
      Structure 214: PDF SVG PS JPEG PNG CT
      Structure 215: PDF SVG PS JPEG PNG CT
      Structure 216: PDF SVG PS JPEG PNG CT
      Structure 217: PDF SVG PS JPEG PNG CT
      Structure 218: PDF SVG PS JPEG PNG CT
      Structure 219: PDF SVG PS JPEG PNG CT
      Structure 220: PDF SVG PS JPEG PNG CT
      Structure 221: PDF SVG PS JPEG PNG CT
      Structure 222: PDF SVG PS JPEG PNG CT
      Structure 223: PDF SVG PS JPEG PNG CT
      Structure 224: PDF SVG PS JPEG PNG CT
      Structure 225: PDF SVG PS JPEG PNG CT
      Structure 226: PDF SVG PS JPEG PNG CT
      Structure 227: PDF SVG PS JPEG PNG CT
      Structure 228: PDF SVG PS JPEG PNG CT
      Structure 229: PDF SVG PS JPEG PNG CT
      Structure 230: PDF SVG PS JPEG PNG CT
      Structure 231: PDF SVG PS JPEG PNG CT
      Structure 232: PDF SVG PS JPEG PNG CT
      Structure 233: PDF SVG PS JPEG PNG CT
      Structure 234: PDF SVG PS JPEG PNG CT
      Structure 235: PDF SVG PS JPEG PNG CT
      Structure 236: PDF SVG PS JPEG PNG CT
      Structure 237: PDF SVG PS JPEG PNG CT
      Structure 238: PDF SVG PS JPEG PNG CT
      Structure 239: PDF SVG PS JPEG PNG CT
      Structure 240: PDF SVG PS JPEG PNG CT
      Structure 241: PDF SVG PS JPEG PNG CT
      Structure 242: PDF SVG PS JPEG PNG CT
      Structure 243: PDF SVG PS JPEG PNG CT
      Structure 244: PDF SVG PS JPEG PNG CT
      Structure 245: PDF SVG PS JPEG PNG CT
      Structure 246: PDF SVG PS JPEG PNG CT
      Structure 247: PDF SVG PS JPEG PNG CT
      Structure 248: PDF SVG PS JPEG PNG CT
      Structure 249: PDF SVG PS JPEG PNG CT
      Structure 250: PDF SVG PS JPEG PNG CT
      Structure 251: PDF SVG PS JPEG PNG CT
      Structure 252: PDF SVG PS JPEG PNG CT
      Structure 253: PDF SVG PS JPEG PNG CT
      Structure 254: PDF SVG PS JPEG PNG CT
      Structure 255: PDF SVG PS JPEG PNG CT
      Structure 256: PDF SVG PS JPEG PNG CT
      Structure 257: PDF SVG PS JPEG PNG CT
      Structure 258: PDF SVG PS JPEG PNG CT
      Structure 259: PDF SVG PS JPEG PNG CT
      Structure 260: PDF SVG PS JPEG PNG CT
      Structure 261: PDF SVG PS JPEG PNG CT
      Structure 262: PDF SVG PS JPEG PNG CT
      Structure 263: PDF SVG PS JPEG PNG CT
      Structure 264: PDF SVG PS JPEG PNG CT
      Structure 265: PDF SVG PS JPEG PNG CT
      Structure 266: PDF SVG PS JPEG PNG CT
      Structure 267: PDF SVG PS JPEG PNG CT
      Structure 268: PDF SVG PS JPEG PNG CT
      Structure 269: PDF SVG PS JPEG PNG CT
      Structure 270: PDF SVG PS JPEG PNG CT
      Structure 271: PDF SVG PS JPEG PNG CT
      Structure 272: PDF SVG PS JPEG PNG CT
      Structure 273: PDF SVG PS JPEG PNG CT
      Structure 274: PDF SVG PS JPEG PNG CT
      Structure 275: PDF SVG PS JPEG PNG CT
      Structure 276: PDF SVG PS JPEG PNG CT
      Structure 277: PDF SVG PS JPEG PNG CT
      Structure 278: PDF SVG PS JPEG PNG CT
      Structure 279: PDF SVG PS JPEG PNG CT
      Structure 280: PDF SVG PS JPEG PNG CT
      Structure 281: PDF SVG PS JPEG PNG CT
      Structure 282: PDF SVG PS JPEG PNG CT
      Structure 283: PDF SVG PS JPEG PNG CT
      Structure 284: PDF SVG PS JPEG PNG CT
      Structure 285: PDF SVG PS JPEG PNG CT
      Structure 286: PDF SVG PS JPEG PNG CT
      Structure 287: PDF SVG PS JPEG PNG CT
      Structure 288: PDF SVG PS JPEG PNG CT
      Structure 289: PDF SVG PS JPEG PNG CT
      Structure 290: PDF SVG PS JPEG PNG CT
      Structure 291: PDF SVG PS JPEG PNG CT
      Structure 292: PDF SVG PS JPEG PNG CT
      Structure 293: PDF SVG PS JPEG PNG CT
      Structure 294: PDF SVG PS JPEG PNG CT
      Structure 295: PDF SVG PS JPEG PNG CT
      Structure 296: PDF SVG PS JPEG PNG CT
      Structure 297: PDF SVG PS JPEG PNG CT
      Structure 298: PDF SVG PS JPEG PNG CT
      Structure 299: PDF SVG PS JPEG PNG CT
      Structure 300: PDF SVG PS JPEG PNG CT
      Structure 301: PDF SVG PS JPEG PNG CT
      Structure 302: PDF SVG PS JPEG PNG CT
      Structure 303: PDF SVG PS JPEG PNG CT
      Structure 304: PDF SVG PS JPEG PNG CT
      Structure 305: PDF SVG PS JPEG PNG CT
      Structure 306: PDF SVG PS JPEG PNG CT
      Structure 307: PDF SVG PS JPEG PNG CT
      Structure 308: PDF SVG PS JPEG PNG CT
      Structure 309: PDF SVG PS JPEG PNG CT
      Structure 310: PDF SVG PS JPEG PNG CT
      Structure 311: PDF SVG PS JPEG PNG CT
      Structure 312: PDF SVG PS JPEG PNG CT
      Structure 313: PDF SVG PS JPEG PNG CT
      Structure 314: PDF SVG PS JPEG PNG CT
      Structure 315: PDF SVG PS JPEG PNG CT
      Structure 316: PDF SVG PS JPEG PNG CT
      Structure 317: PDF SVG PS JPEG PNG CT
      Structure 318: PDF SVG PS JPEG PNG CT
      Structure 319: PDF SVG PS JPEG PNG CT
      Structure 320: PDF SVG PS JPEG PNG CT
      Structure 321: PDF SVG PS JPEG PNG CT
      Structure 322: PDF SVG PS JPEG PNG CT
      Structure 323: PDF SVG PS JPEG PNG CT
      Structure 324: PDF SVG PS JPEG PNG CT
      Structure 325: PDF SVG PS JPEG PNG CT
      Structure 326: PDF SVG PS JPEG PNG CT
      Structure 327: PDF SVG PS JPEG PNG CT
      Structure 328: PDF SVG PS JPEG PNG CT
      Structure 329: PDF SVG PS JPEG PNG CT
      Structure 330: PDF SVG PS JPEG PNG CT
      Structure 331: PDF SVG PS JPEG PNG CT
      Structure 332: PDF SVG PS JPEG PNG CT
      Structure 333: PDF SVG PS JPEG PNG CT
      Structure 334: PDF SVG PS JPEG PNG CT
      Structure 335: PDF SVG PS JPEG PNG CT
      Structure 336: PDF SVG PS JPEG PNG CT
      Structure 337: PDF SVG PS JPEG PNG CT
      Structure 338: PDF SVG PS JPEG PNG CT
      Structure 339: PDF SVG PS JPEG PNG CT
      Structure 340: PDF SVG PS JPEG PNG CT
      Structure 341: PDF SVG PS JPEG PNG CT
      Structure 342: PDF SVG PS JPEG PNG CT
      Structure 343: PDF SVG PS JPEG PNG CT
      Structure 344: PDF SVG PS JPEG PNG CT
      Structure 345: PDF SVG PS JPEG PNG CT
      Structure 346: PDF SVG PS JPEG PNG CT
      Structure 347: PDF SVG PS JPEG PNG CT
      Structure 348: PDF SVG PS JPEG PNG CT
      Structure 349: PDF SVG PS JPEG PNG CT
      Structure 350: PDF SVG PS JPEG PNG CT
      Structure 351: PDF SVG PS JPEG PNG CT
      Structure 352: PDF SVG PS JPEG PNG CT
      Structure 353: PDF SVG PS JPEG PNG CT
      Structure 354: PDF SVG PS JPEG PNG CT
      Structure 355: PDF SVG PS JPEG PNG CT
      Structure 356: PDF SVG PS JPEG PNG CT
      Structure 357: PDF SVG PS JPEG PNG CT
      Structure 358: PDF SVG PS JPEG PNG CT
      Structure 359: PDF SVG PS JPEG PNG CT
      Structure 360: PDF SVG PS JPEG PNG CT
      Structure 361: PDF SVG PS JPEG PNG CT
      Structure 362: PDF SVG PS JPEG PNG CT
      Structure 363: PDF SVG PS JPEG PNG CT
      Structure 364: PDF SVG PS JPEG PNG CT
      Structure 365: PDF SVG PS JPEG PNG CT
      Structure 366: PDF SVG PS JPEG PNG CT
      Structure 367: PDF SVG PS JPEG PNG CT
      Structure 368: PDF SVG PS JPEG PNG CT
      Structure 369: PDF SVG PS JPEG PNG CT
      Structure 370: PDF SVG PS JPEG PNG CT
      Structure 371: PDF SVG PS JPEG PNG CT
      Structure 372: PDF SVG PS JPEG PNG CT
      Structure 373: PDF SVG PS JPEG PNG CT
      Structure 374: PDF SVG PS JPEG PNG CT
      Structure 375: PDF SVG PS JPEG PNG CT
      Structure 376: PDF SVG PS JPEG PNG CT
      Structure 377: PDF SVG PS JPEG PNG CT
      Structure 378: PDF SVG PS JPEG PNG CT
      Structure 379: PDF SVG PS JPEG PNG CT
      Structure 380: PDF SVG PS JPEG PNG CT
      Structure 381: PDF SVG PS JPEG PNG CT
      Structure 382: PDF SVG PS JPEG PNG CT
      Structure 383: PDF SVG PS JPEG PNG CT
      Structure 384: PDF SVG PS JPEG PNG CT
      Structure 385: PDF SVG PS JPEG PNG CT
      Structure 386: PDF SVG PS JPEG PNG CT
      Structure 387: PDF SVG PS JPEG PNG CT
      Structure 388: PDF SVG PS JPEG PNG CT
      Structure 389: PDF SVG PS JPEG PNG CT
      Structure 390: PDF SVG PS JPEG PNG CT
      Structure 391: PDF SVG PS JPEG PNG CT
      Structure 392: PDF SVG PS JPEG PNG CT
      Structure 393: PDF SVG PS JPEG PNG CT
      Structure 394: PDF SVG PS JPEG PNG CT
      Structure 395: PDF SVG PS JPEG PNG CT
      Structure 396: PDF SVG PS JPEG PNG CT
      Structure 397: PDF SVG PS JPEG PNG CT
      Structure 398: PDF SVG PS JPEG PNG CT
      Structure 399: PDF SVG PS JPEG PNG CT
      Structure 400: PDF SVG PS JPEG PNG CT
      Structure 401: PDF SVG PS JPEG PNG CT
      Structure 402: PDF SVG PS JPEG PNG CT
      Structure 403: PDF SVG PS JPEG PNG CT
      Structure 404: PDF SVG PS JPEG PNG CT
      Structure 405: PDF SVG PS JPEG PNG CT
      Structure 406: PDF SVG PS JPEG PNG CT
      Structure 407: PDF SVG PS JPEG PNG CT
      Structure 408: PDF SVG PS JPEG PNG CT
      Structure 409: PDF SVG PS JPEG PNG CT
      Structure 410: PDF SVG PS JPEG PNG CT
      Structure 411: PDF SVG PS JPEG PNG CT
      Structure 412: PDF SVG PS JPEG PNG CT
      Structure 413: PDF SVG PS JPEG PNG CT
      Structure 414: PDF SVG PS JPEG PNG CT
      Structure 415: PDF SVG PS JPEG PNG CT
      Structure 416: PDF SVG PS JPEG PNG CT
      Structure 417: PDF SVG PS JPEG PNG CT
      Structure 418: PDF SVG PS JPEG PNG CT
      Structure 419: PDF SVG PS JPEG PNG CT
      Structure 420: PDF SVG PS JPEG PNG CT
      Structure 421: PDF SVG PS JPEG PNG CT
      Structure 422: PDF SVG PS JPEG PNG CT
      Structure 423: PDF SVG PS JPEG PNG CT
      Structure 424: PDF SVG PS JPEG PNG CT
      Structure 425: PDF SVG PS JPEG PNG CT
      Structure 426: PDF SVG PS JPEG PNG CT
      Structure 427: PDF SVG PS JPEG PNG CT
      Structure 428: PDF SVG PS JPEG PNG CT
      Structure 429: PDF SVG PS JPEG PNG CT
      Structure 430: PDF SVG PS JPEG PNG CT
      Structure 431: PDF SVG PS JPEG PNG CT
      Structure 432: PDF SVG PS JPEG PNG CT
      Structure 433: PDF SVG PS JPEG PNG CT
      Structure 434: PDF SVG PS JPEG PNG CT
      Structure 435: PDF SVG PS JPEG PNG CT
      Structure 436: PDF SVG PS JPEG PNG CT
      Structure 437: PDF SVG PS JPEG PNG CT
      Structure 438: PDF SVG PS JPEG PNG CT
      Structure 439: PDF SVG PS JPEG PNG CT
      Structure 440: PDF SVG PS JPEG PNG CT

Command Line:
AllSub AllSub.fasta AllSub.ct --absolute 0.6 --percent 5 --temperature 310.15