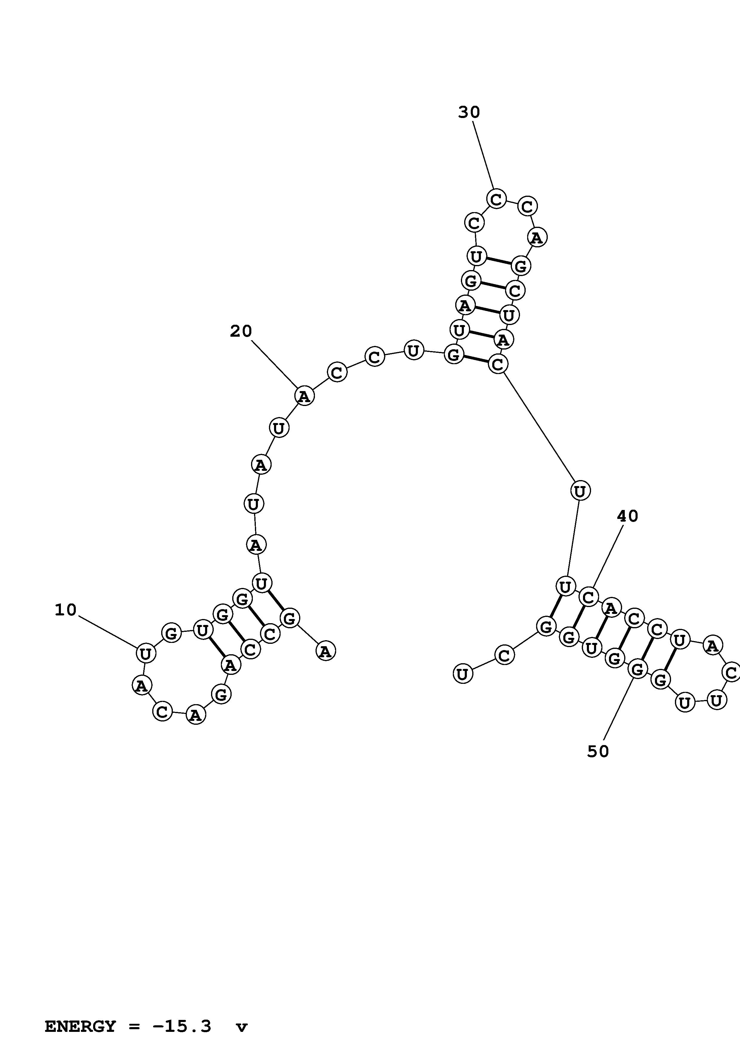
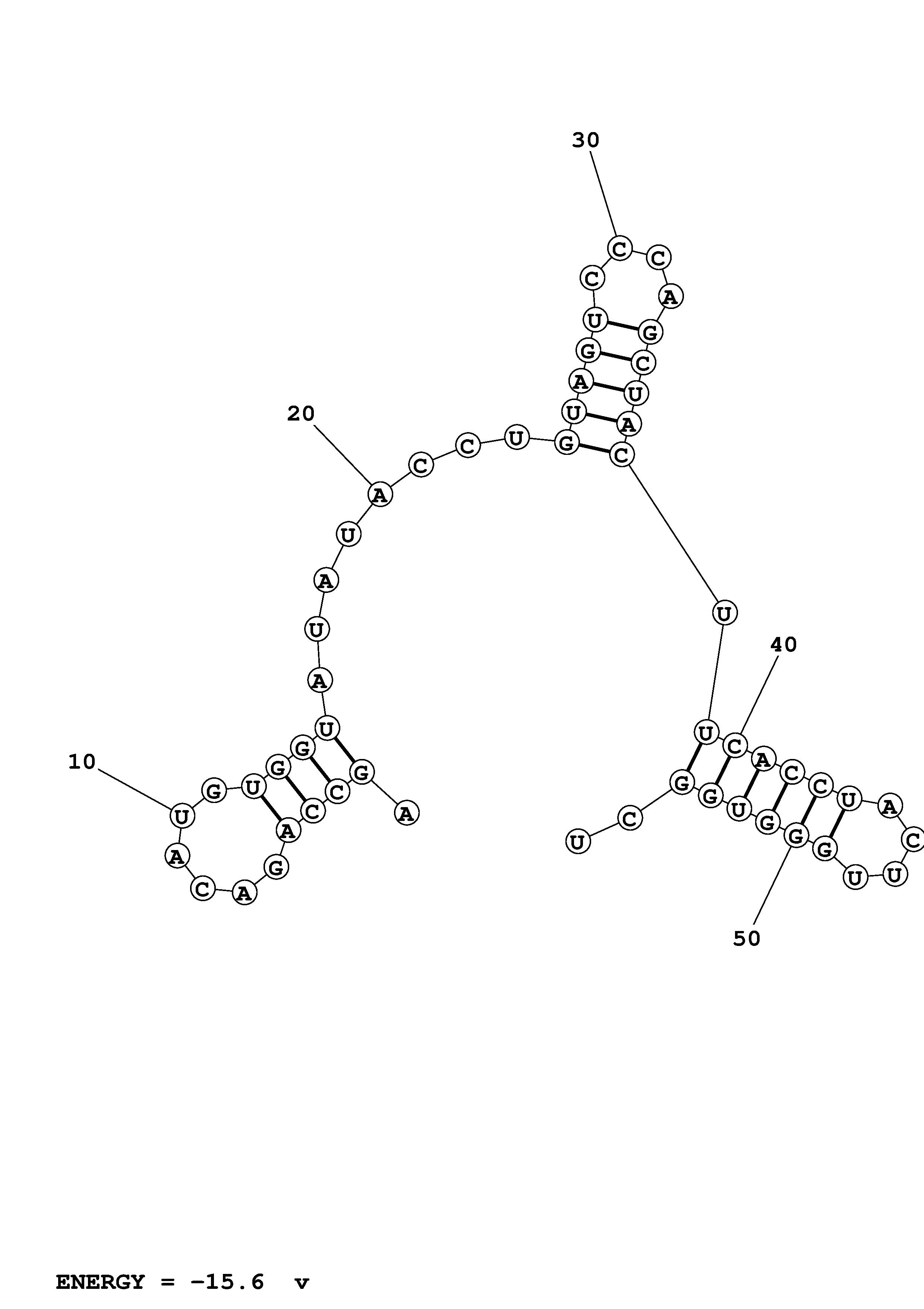
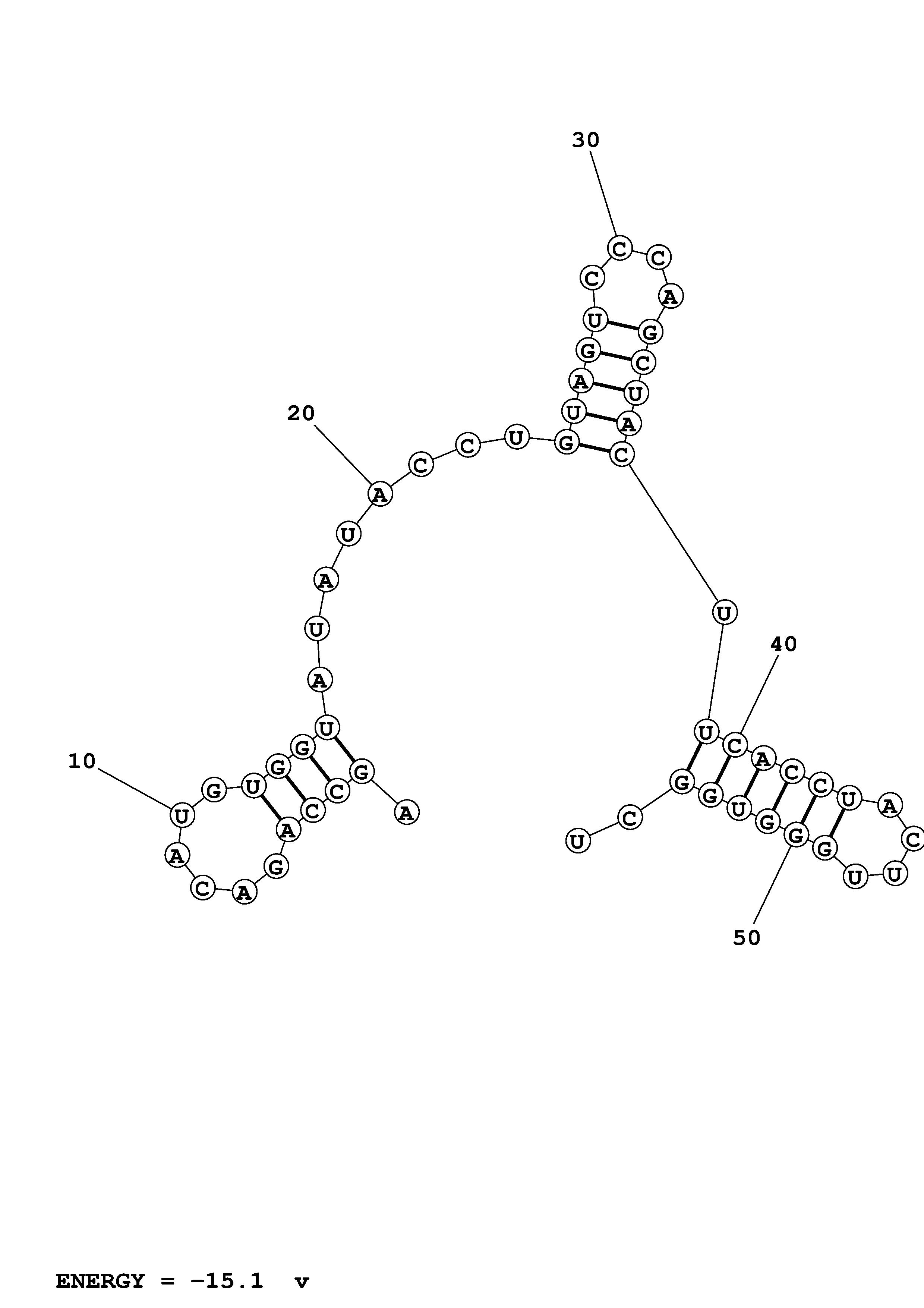
RNAstructure AllSub Results
(Generate all possible low free energy structures for a nucleic acid sequence.)
Download Individual Structures:
Command Line:
AllSub AllSub.fasta AllSub.ct --absolute 0.6 --percent 5 --temperature 310.15