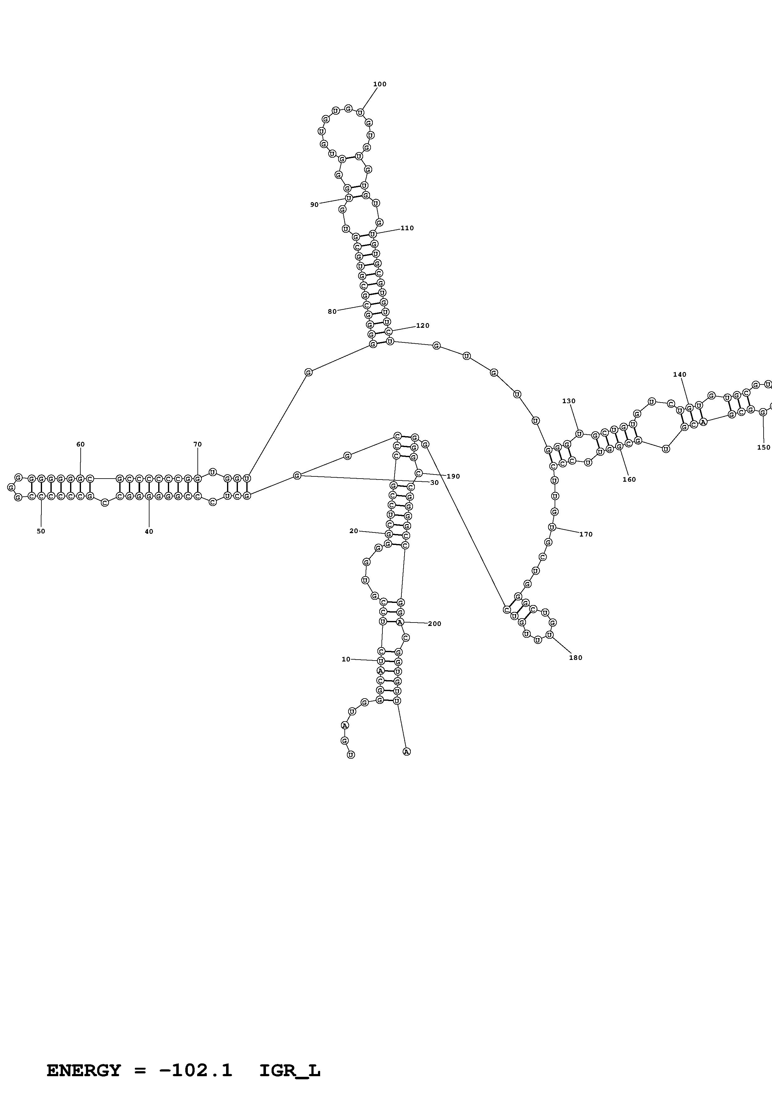
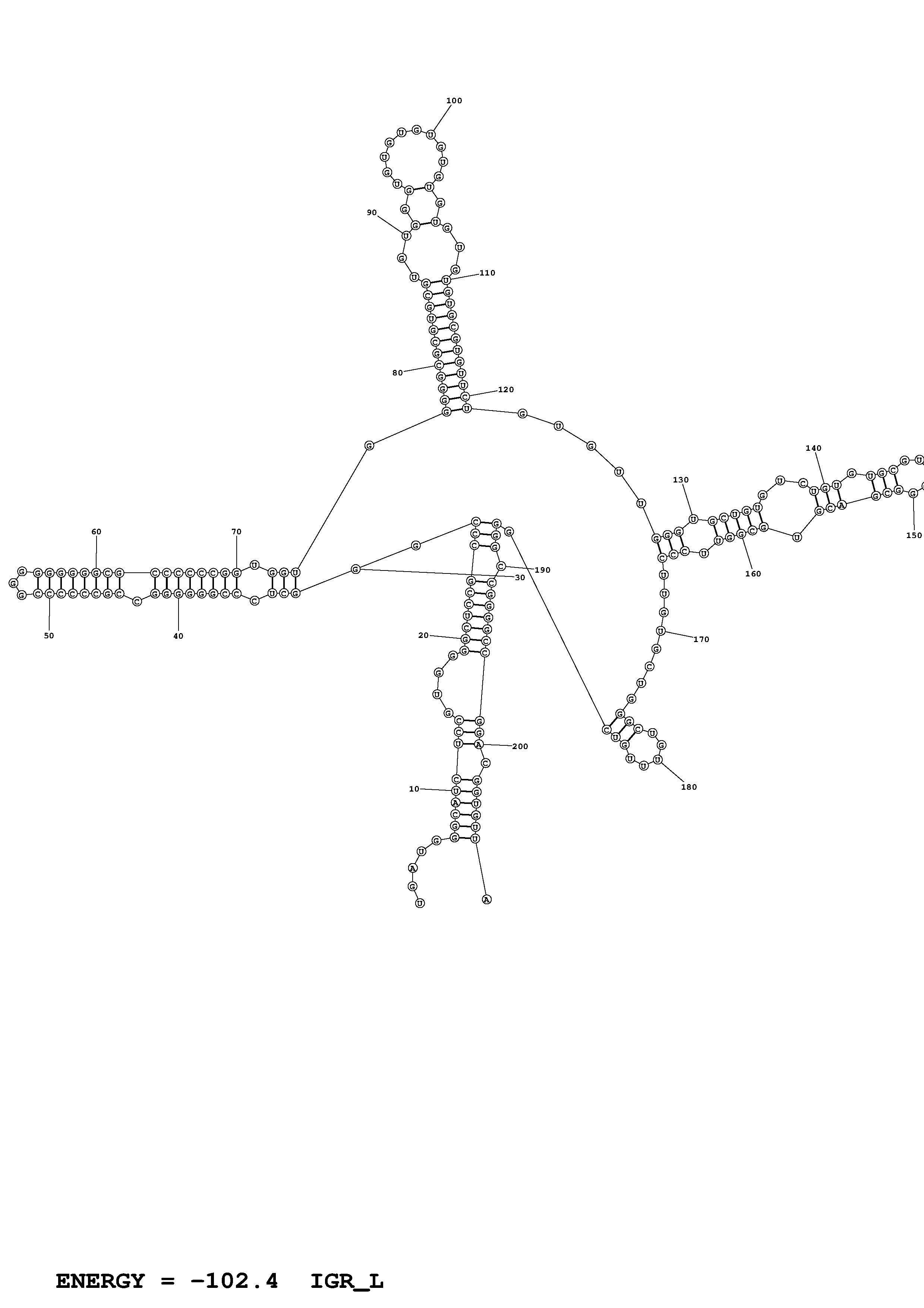
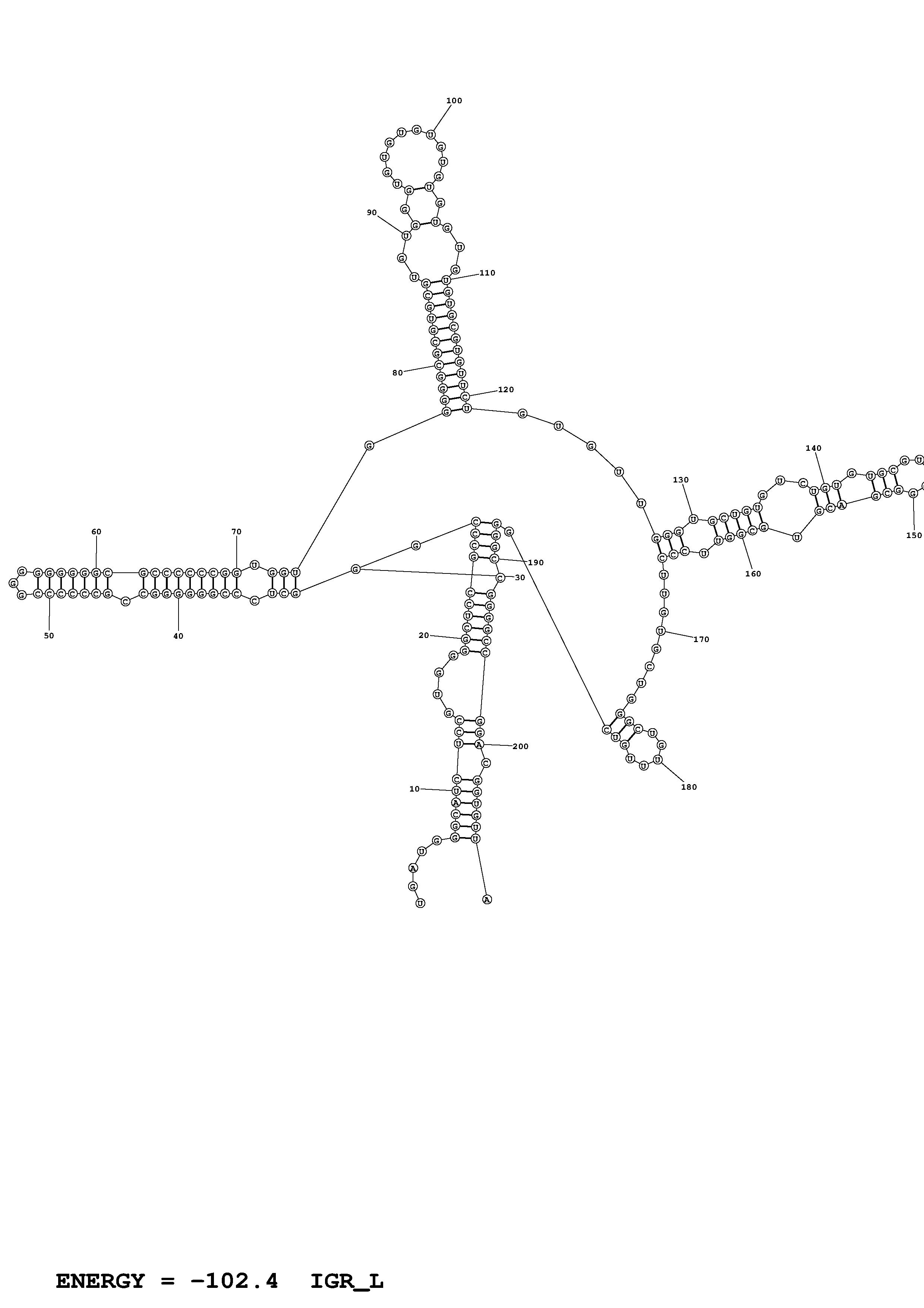
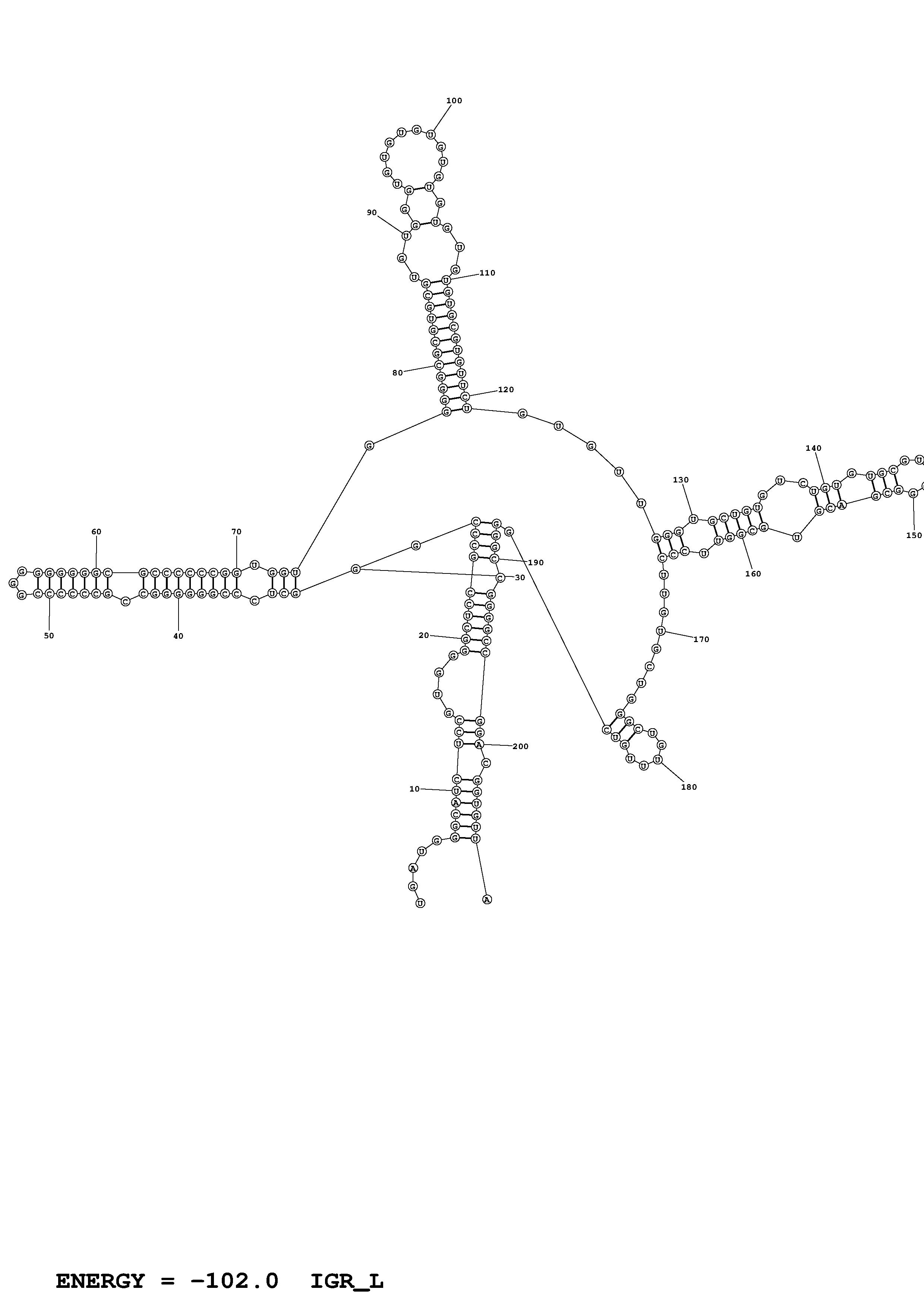
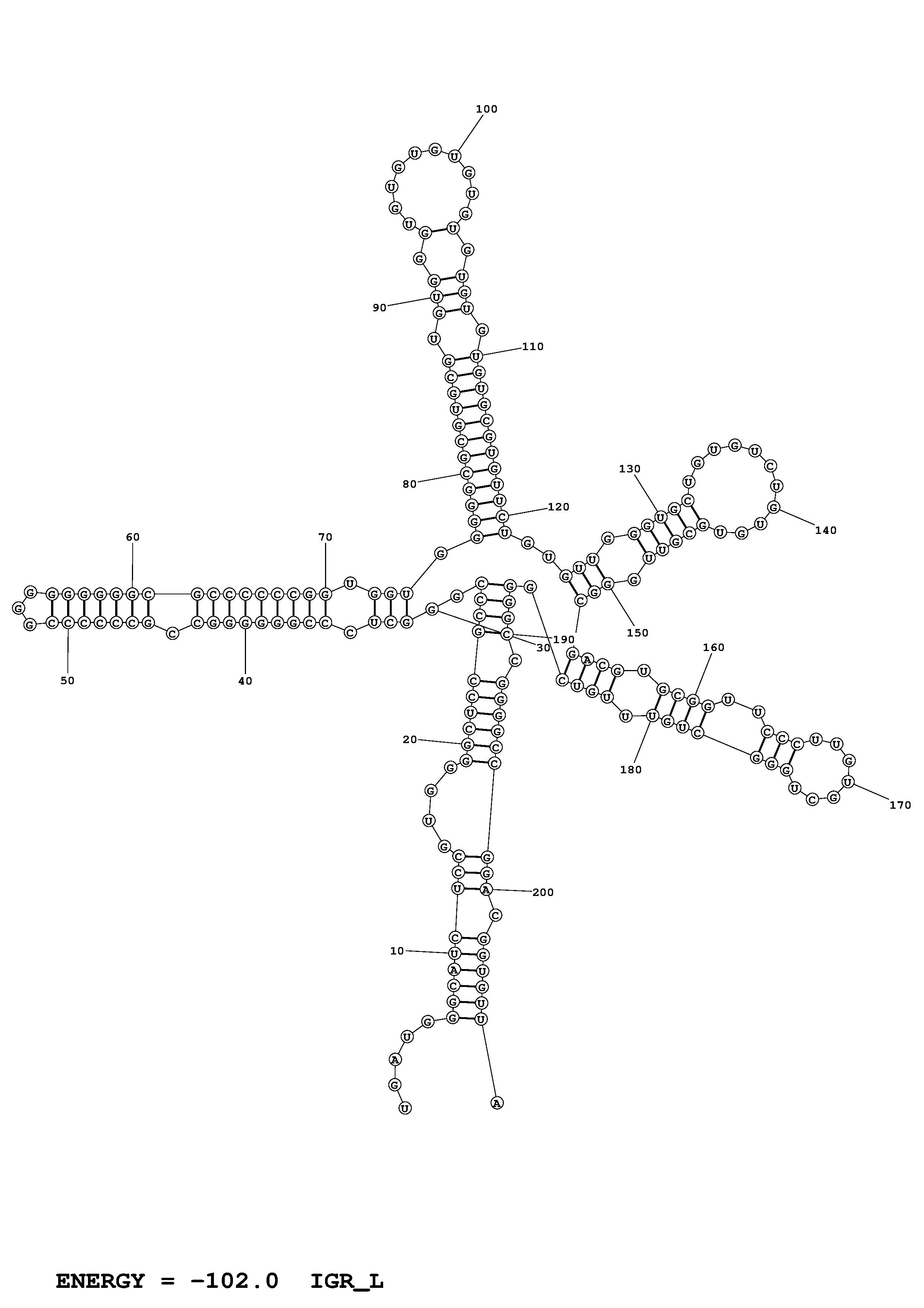
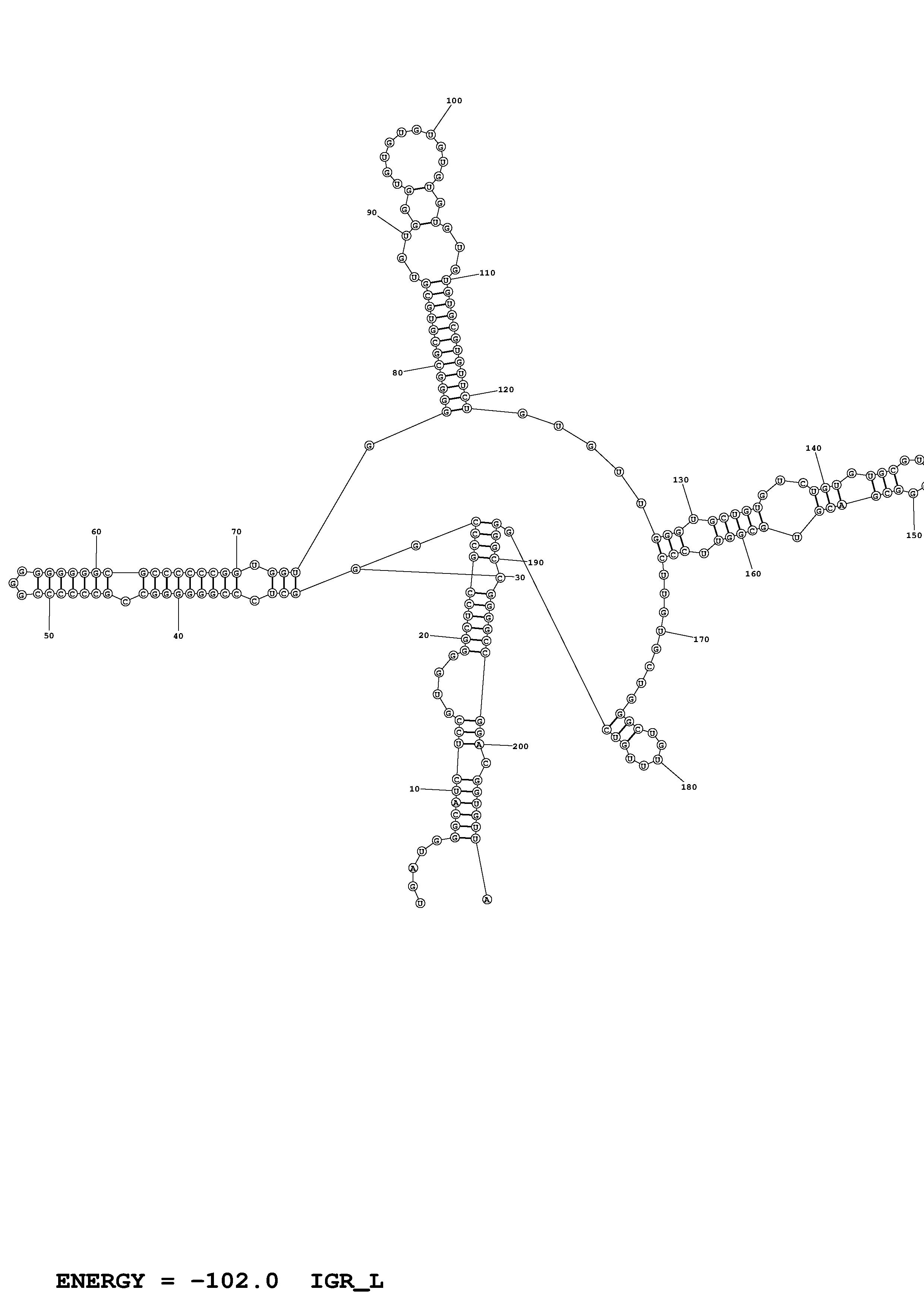
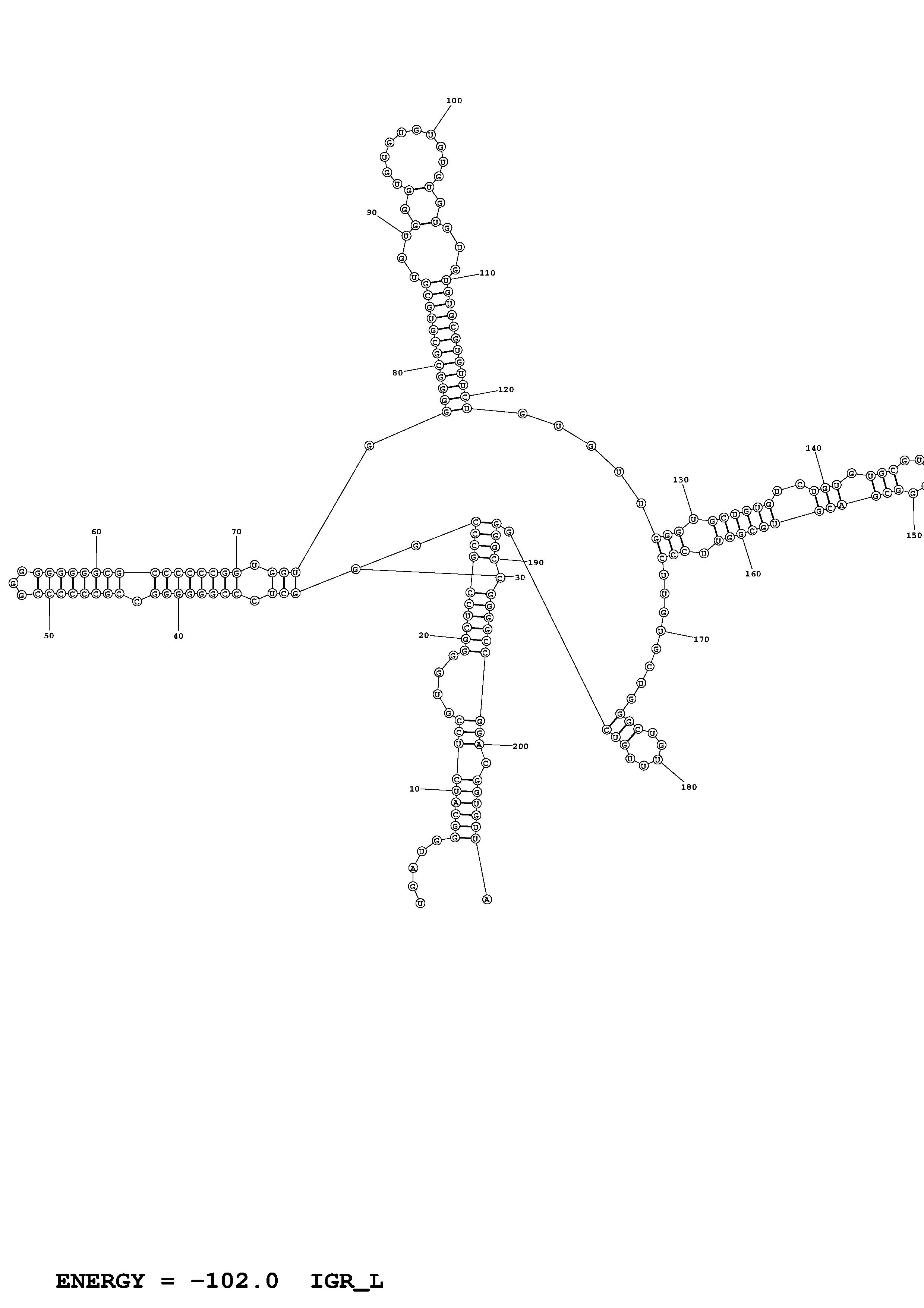
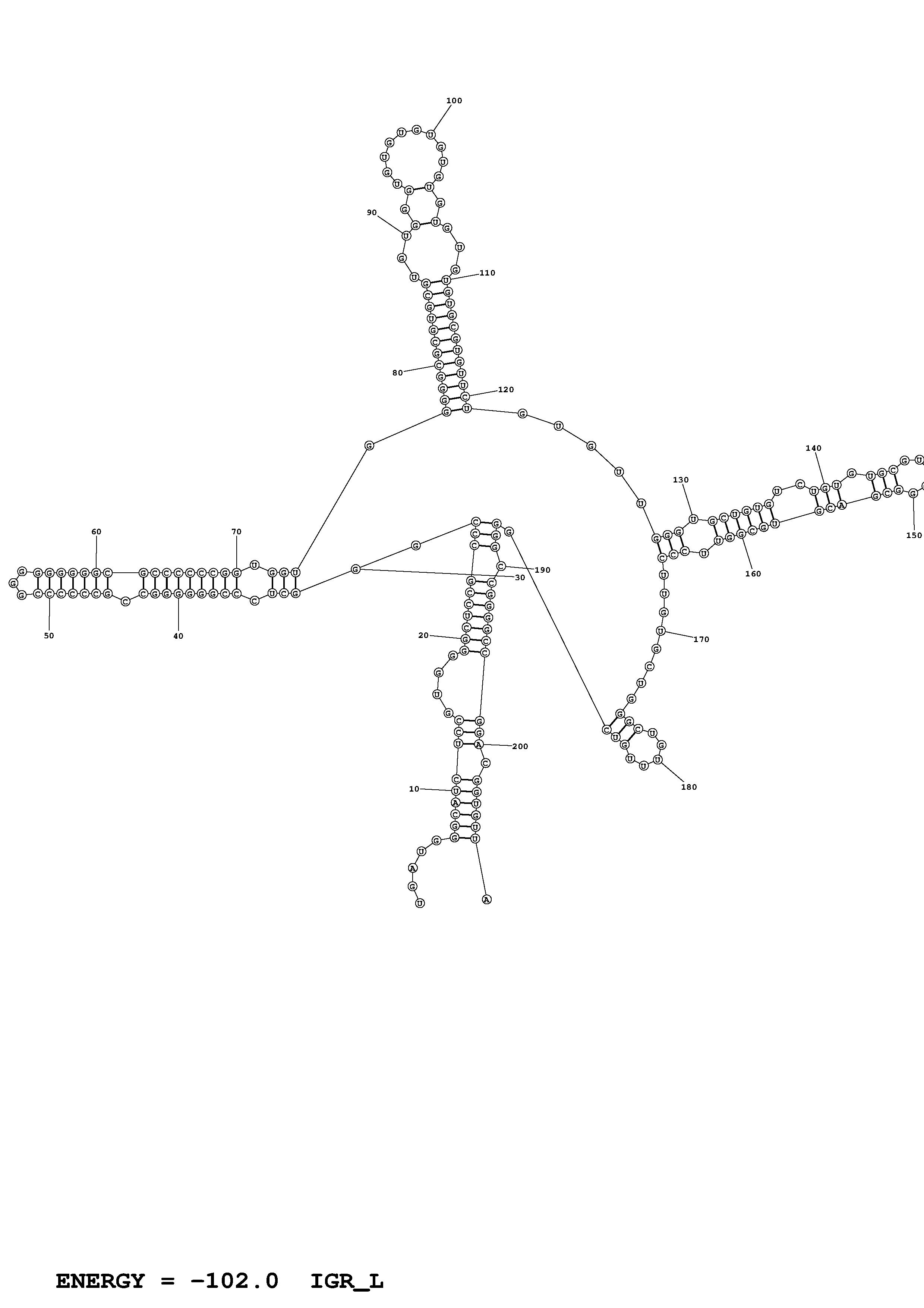
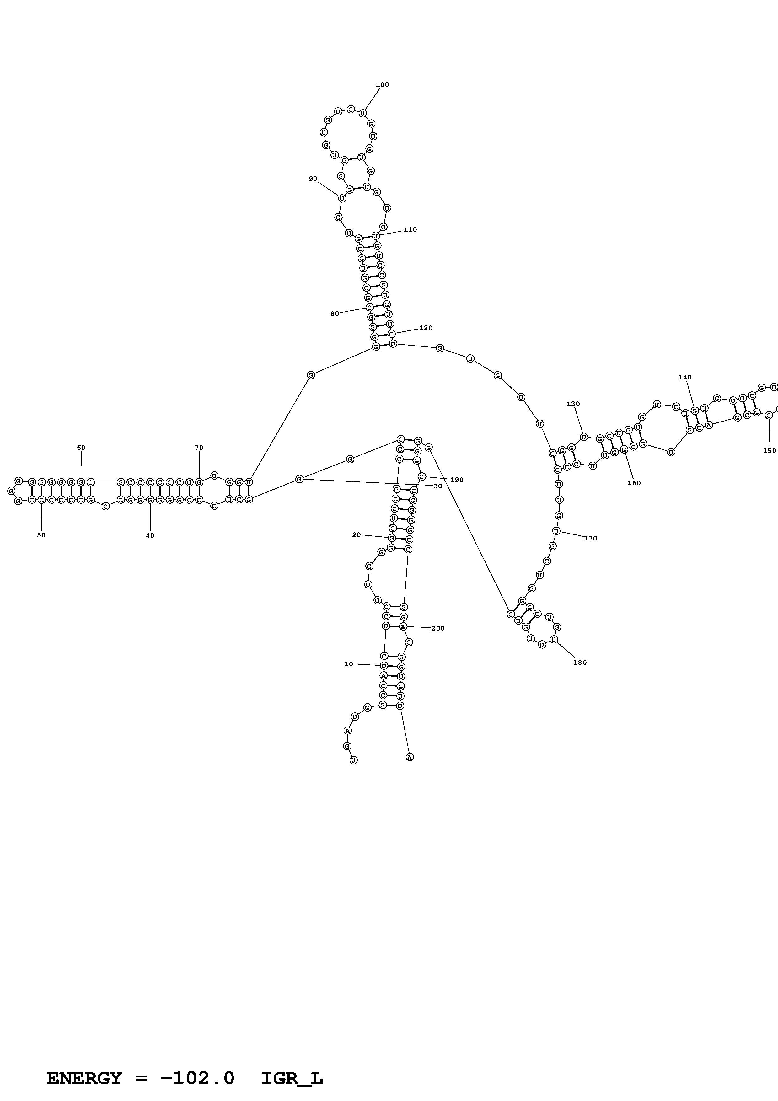
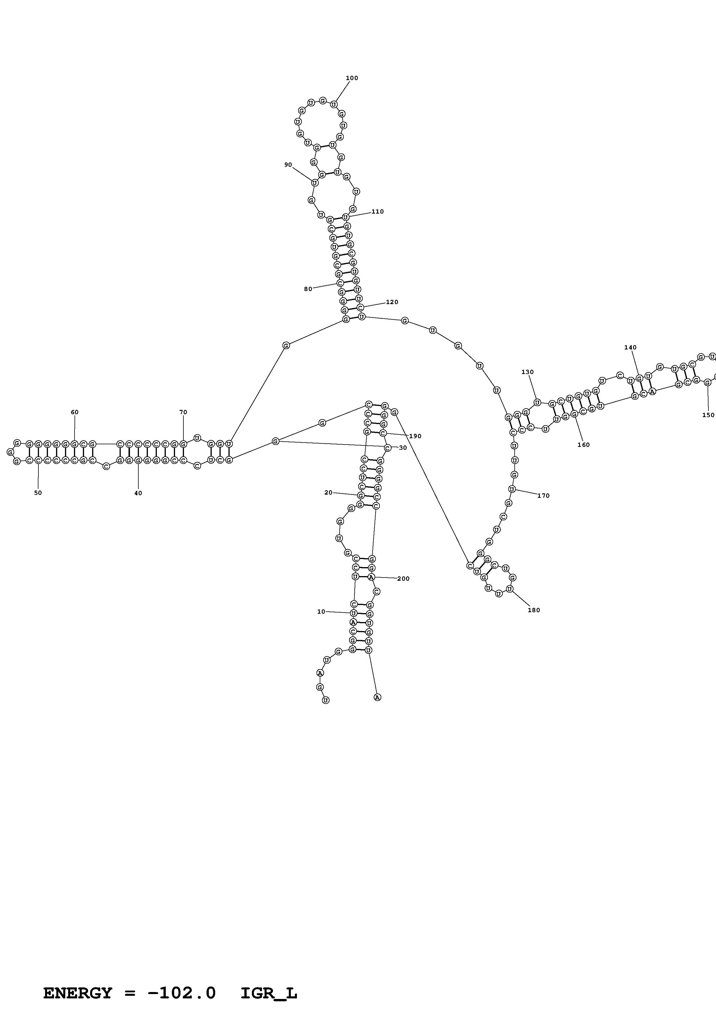
RNAstructure AllSub Results
(Generate all possible low free energy structures for a nucleic acid sequence.)


Download All Structures: PDF PS CT
Download Individual Structures:
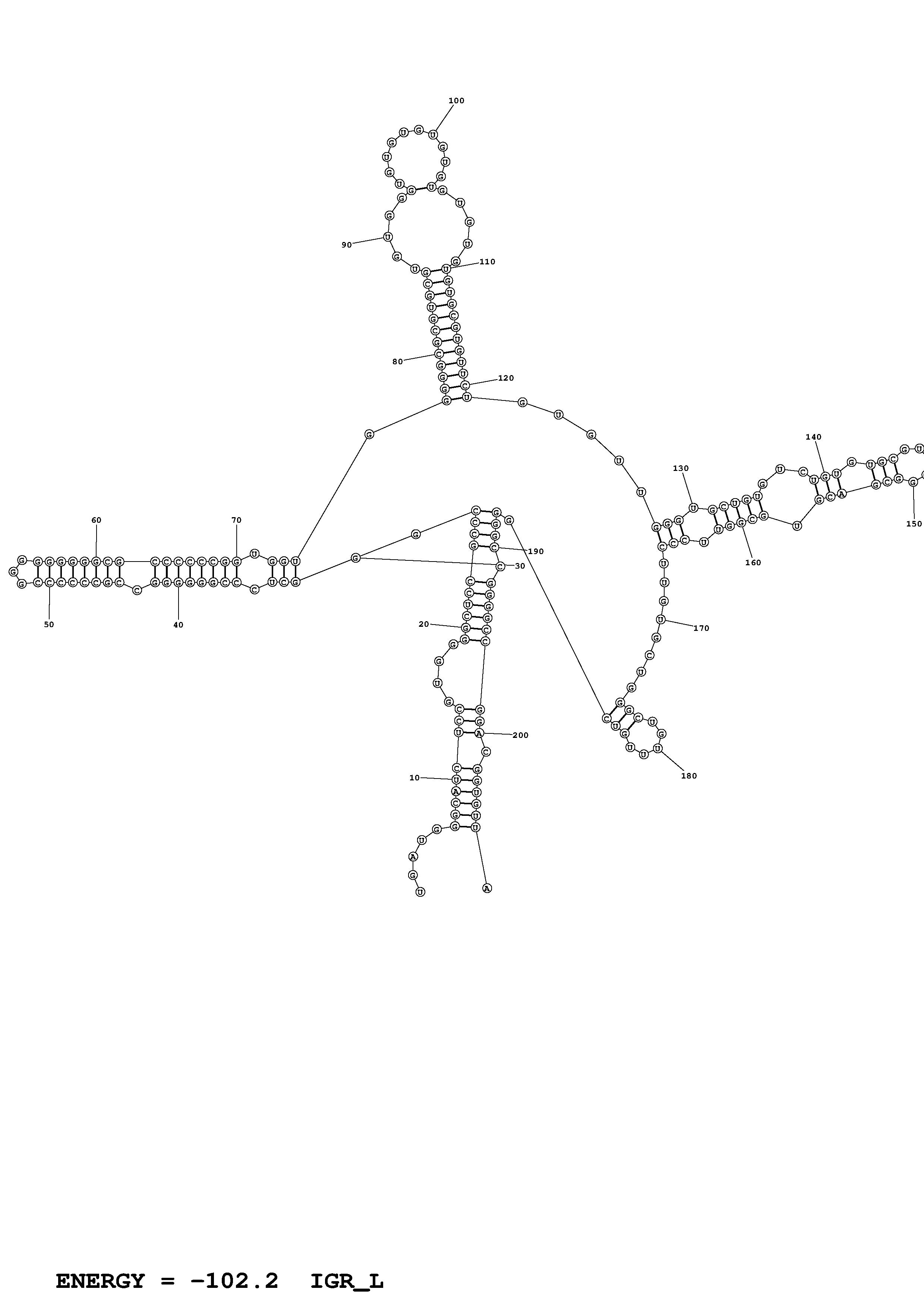
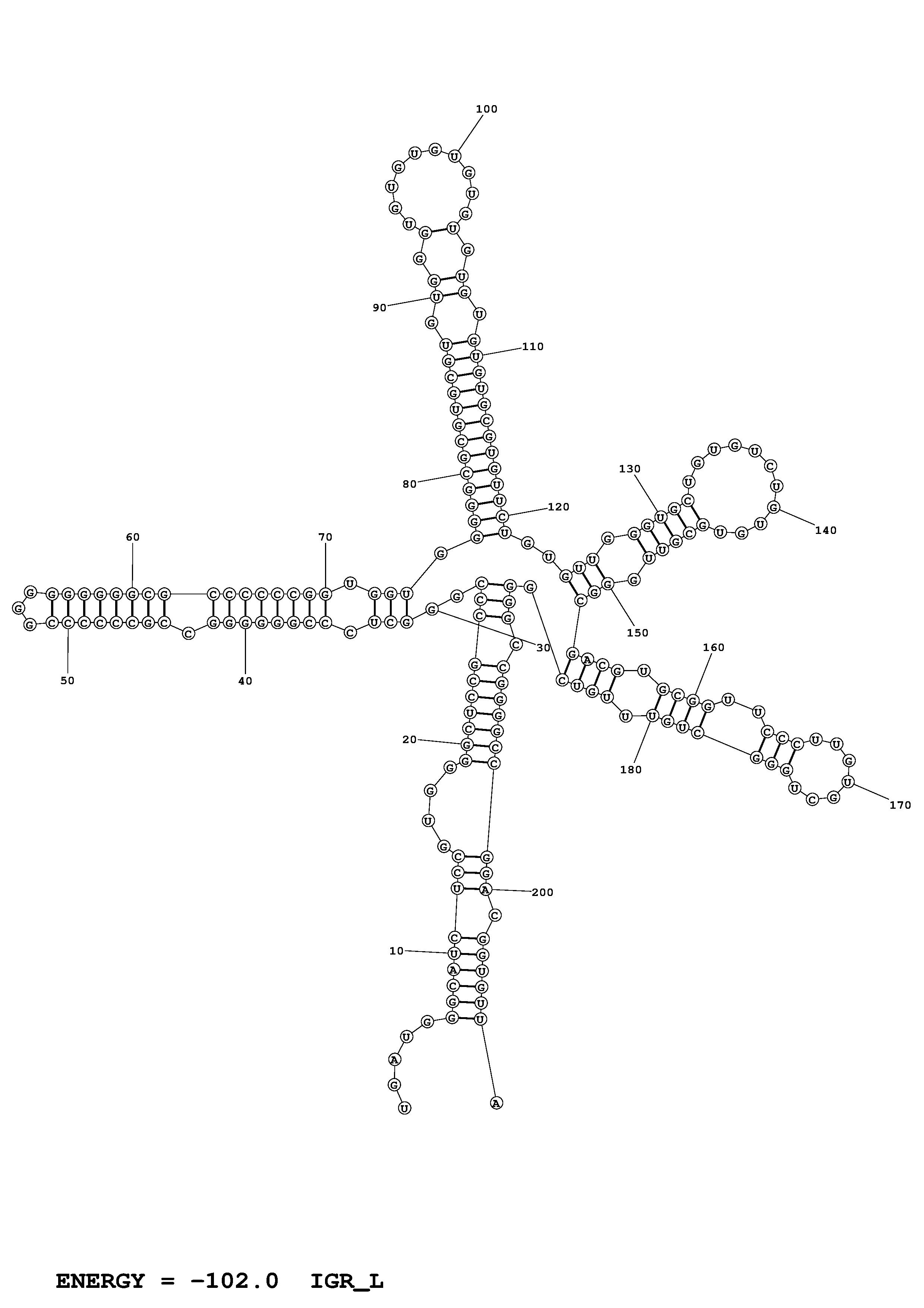
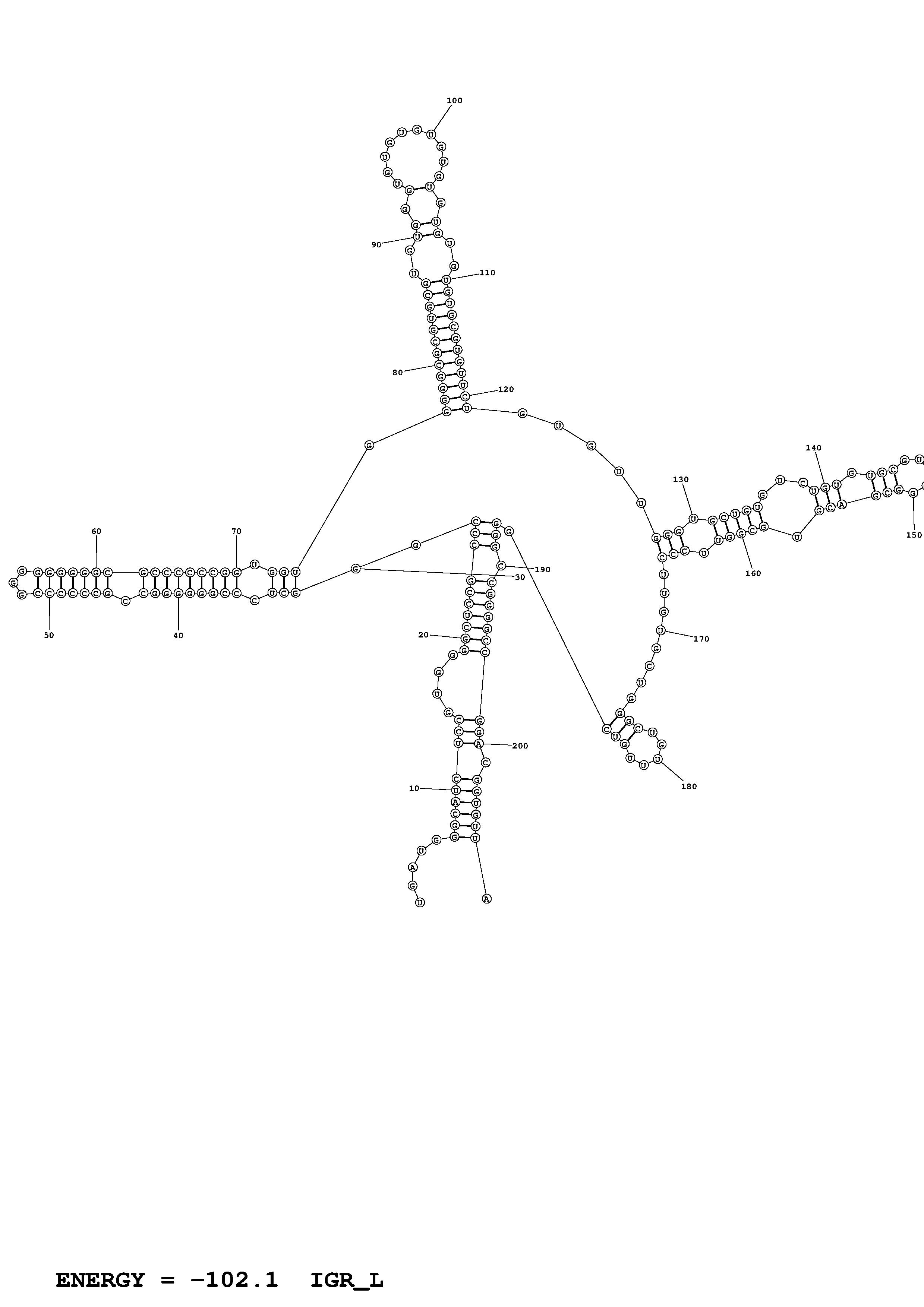
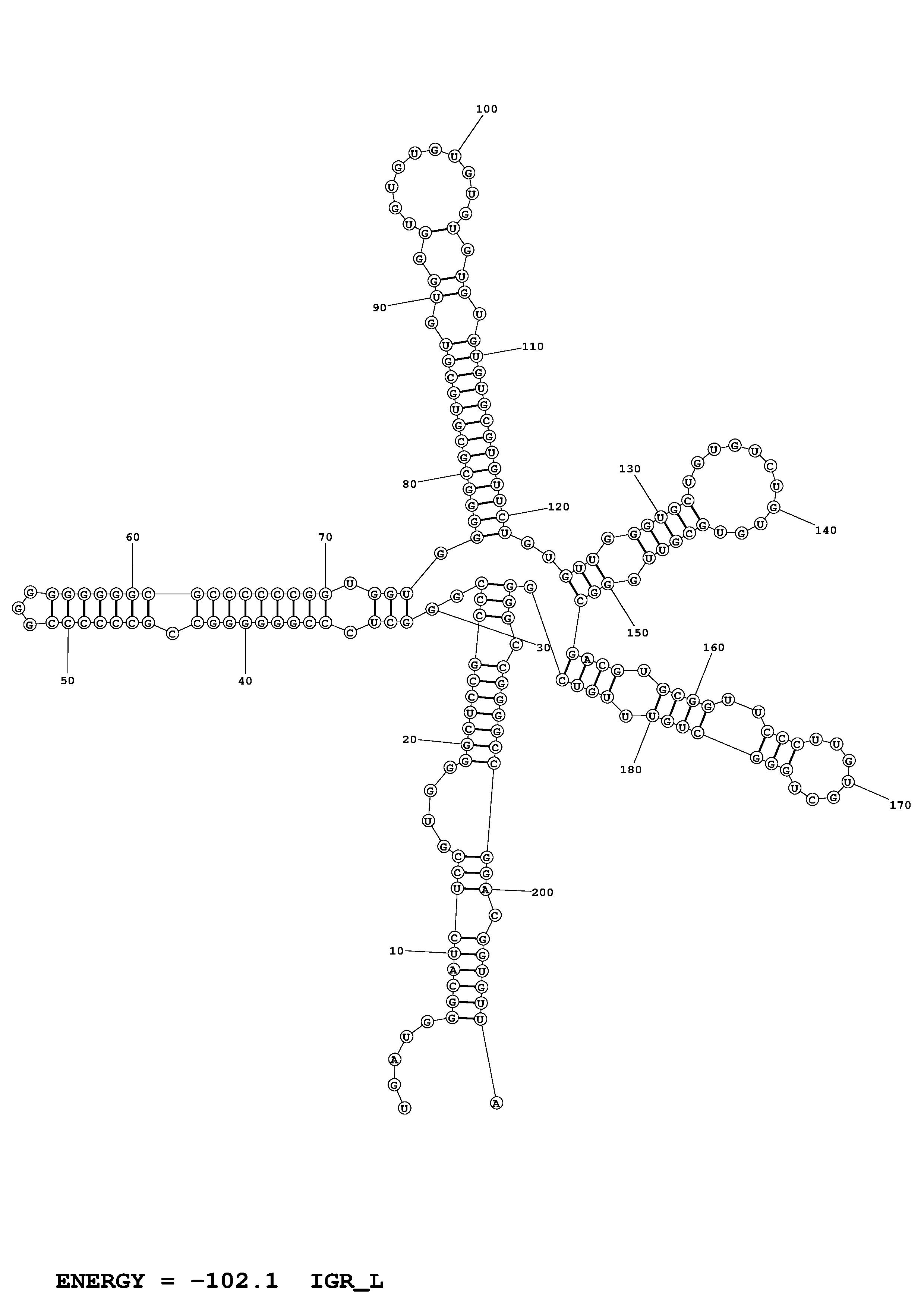
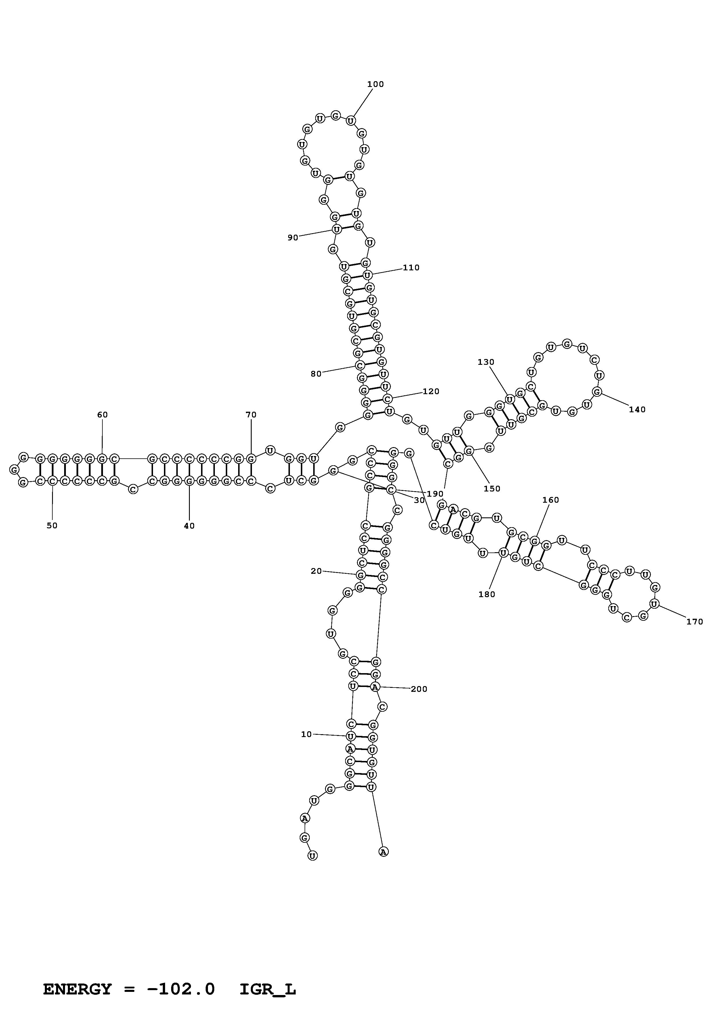
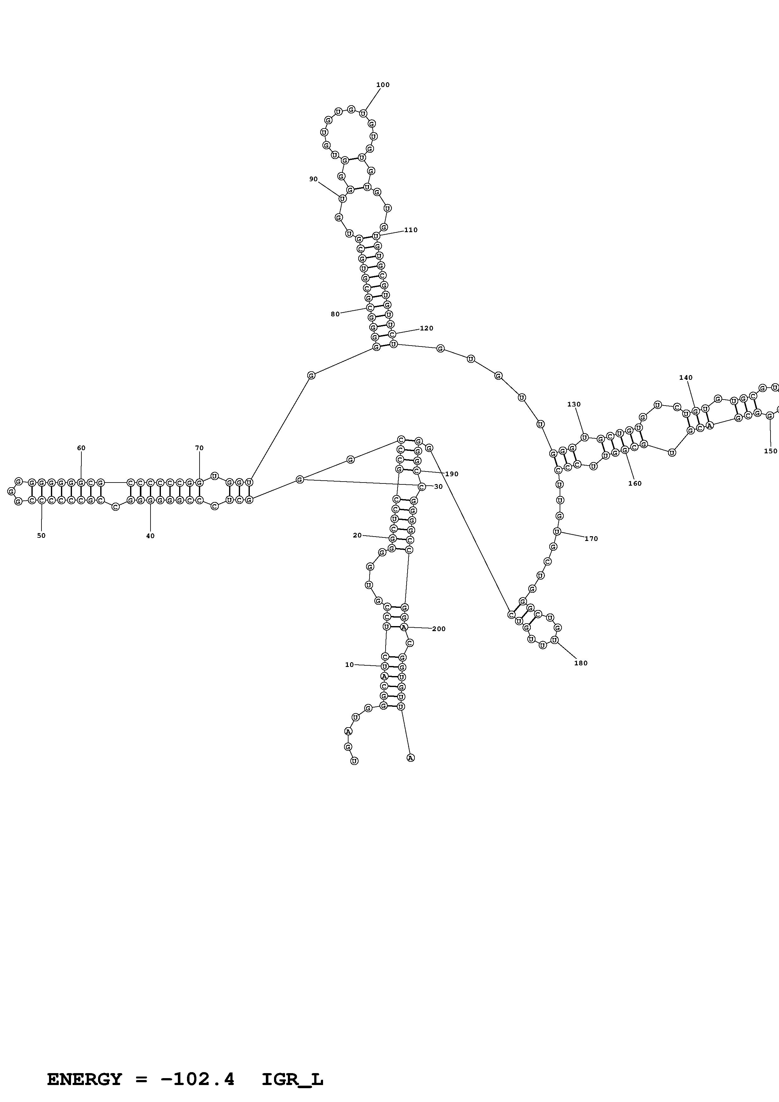
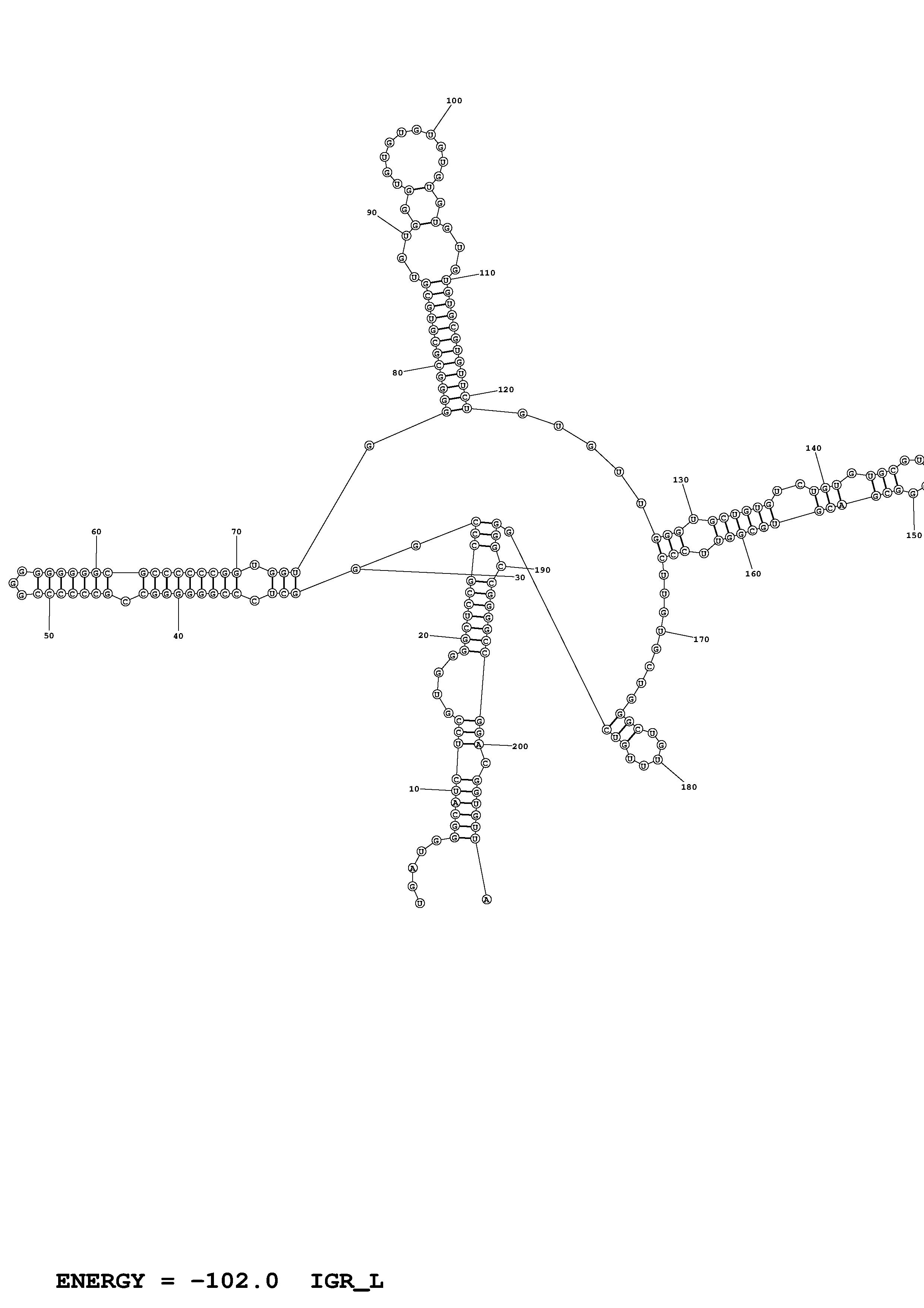
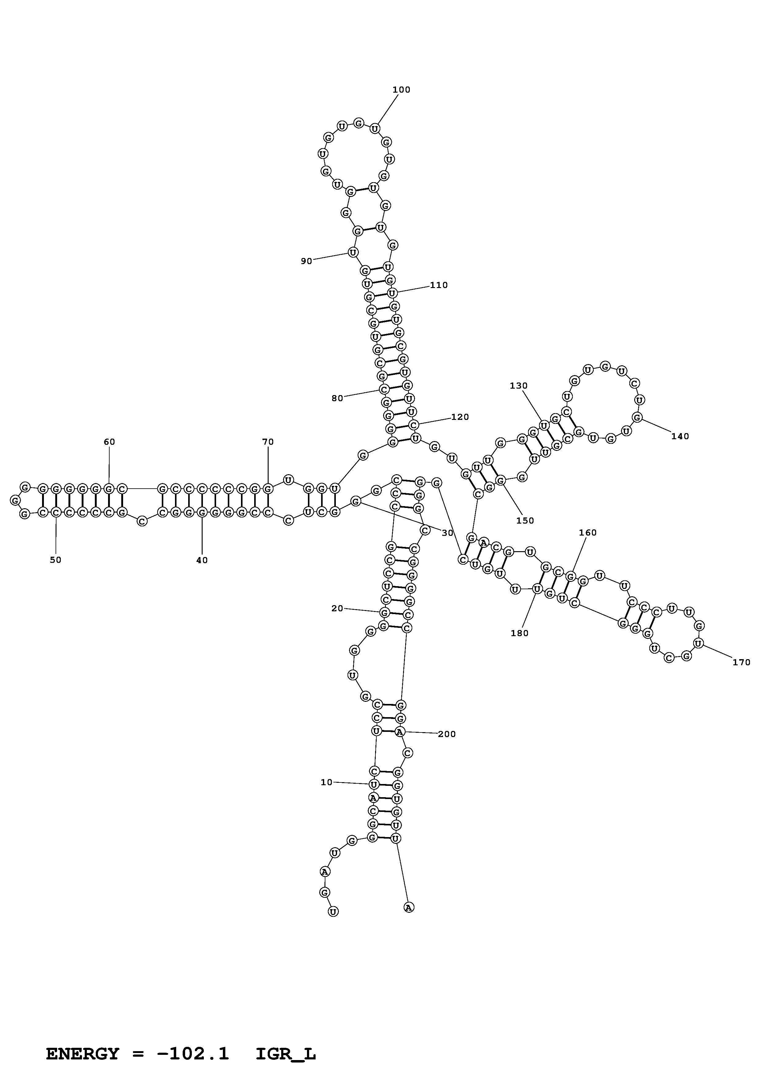
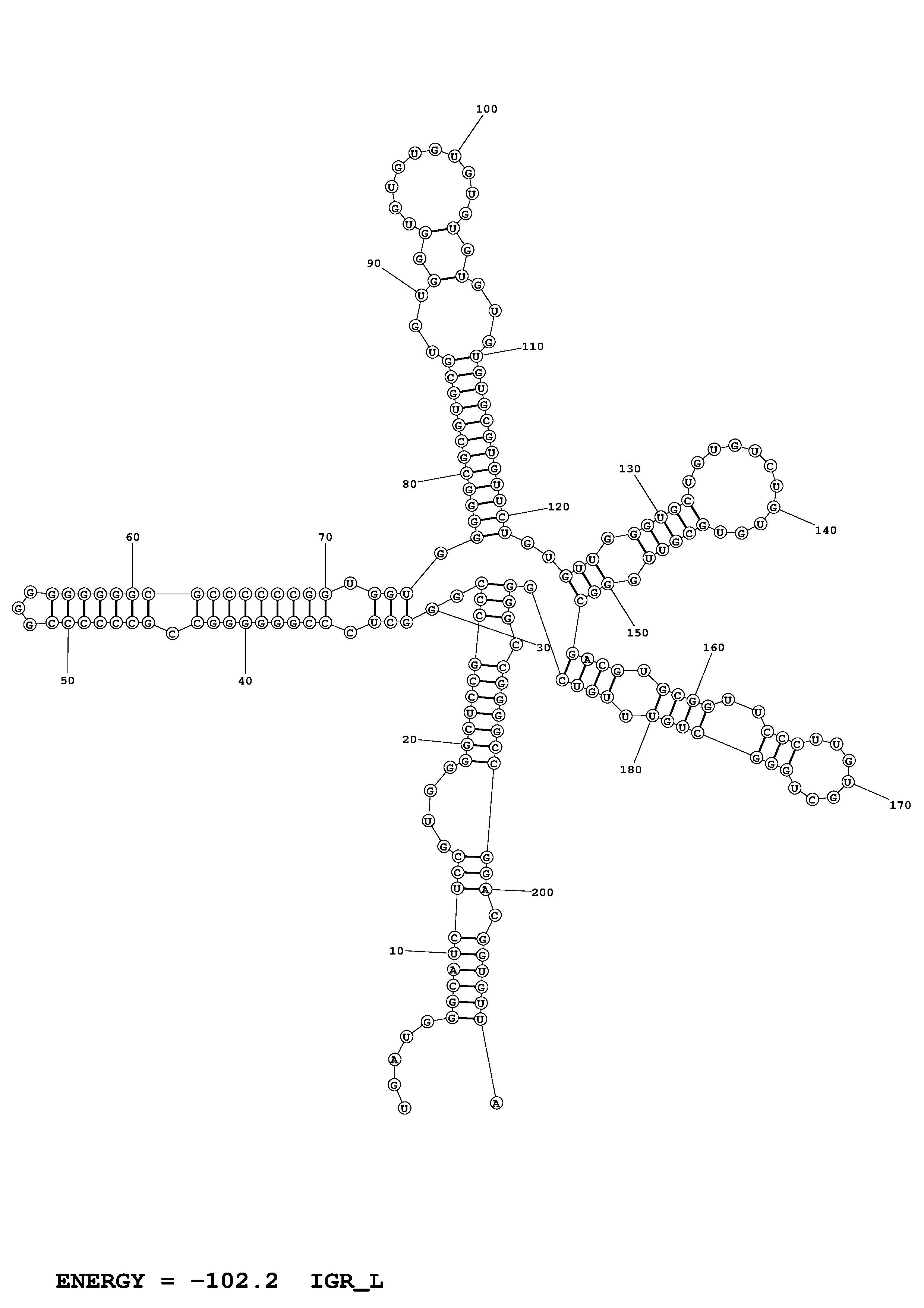
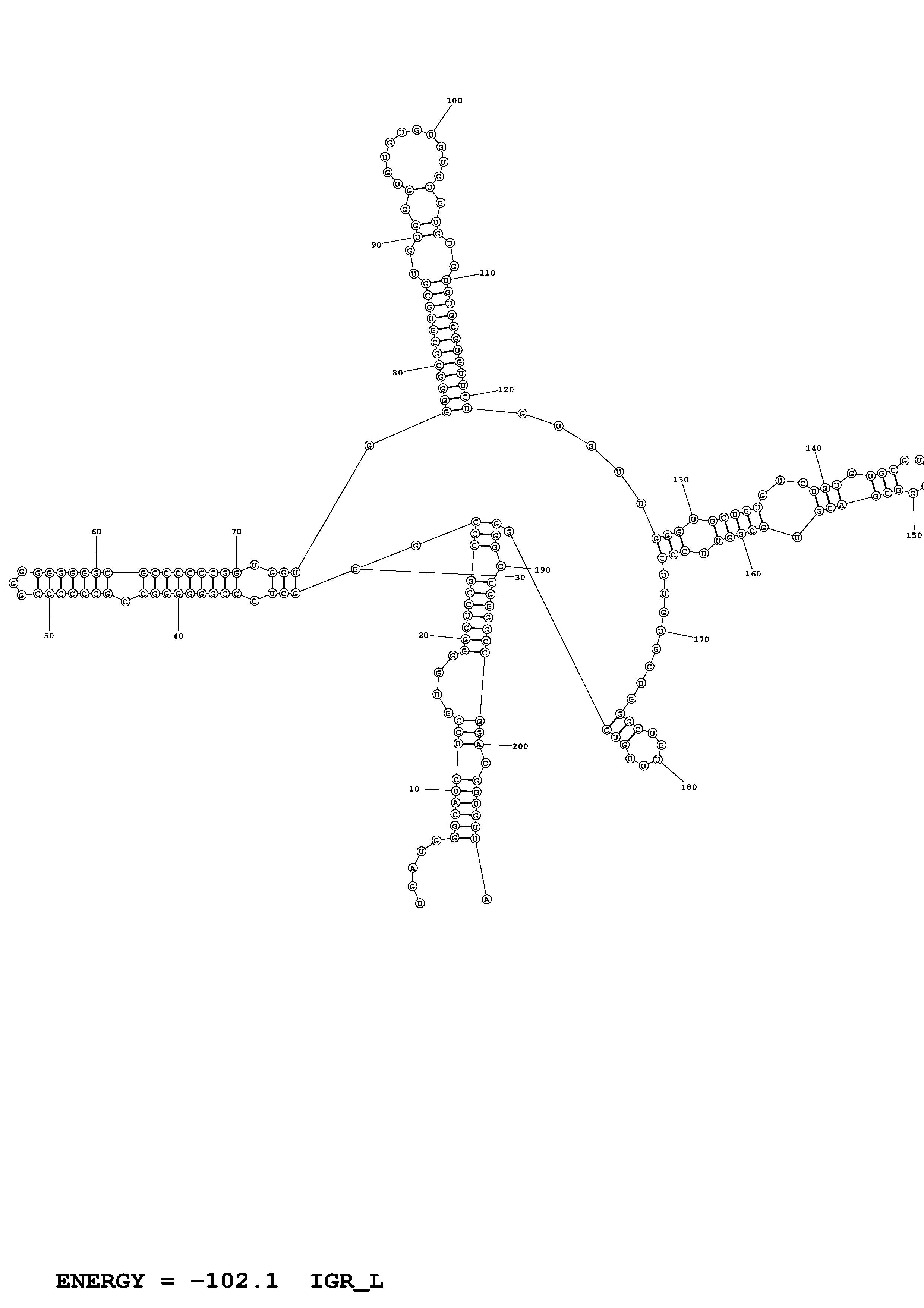
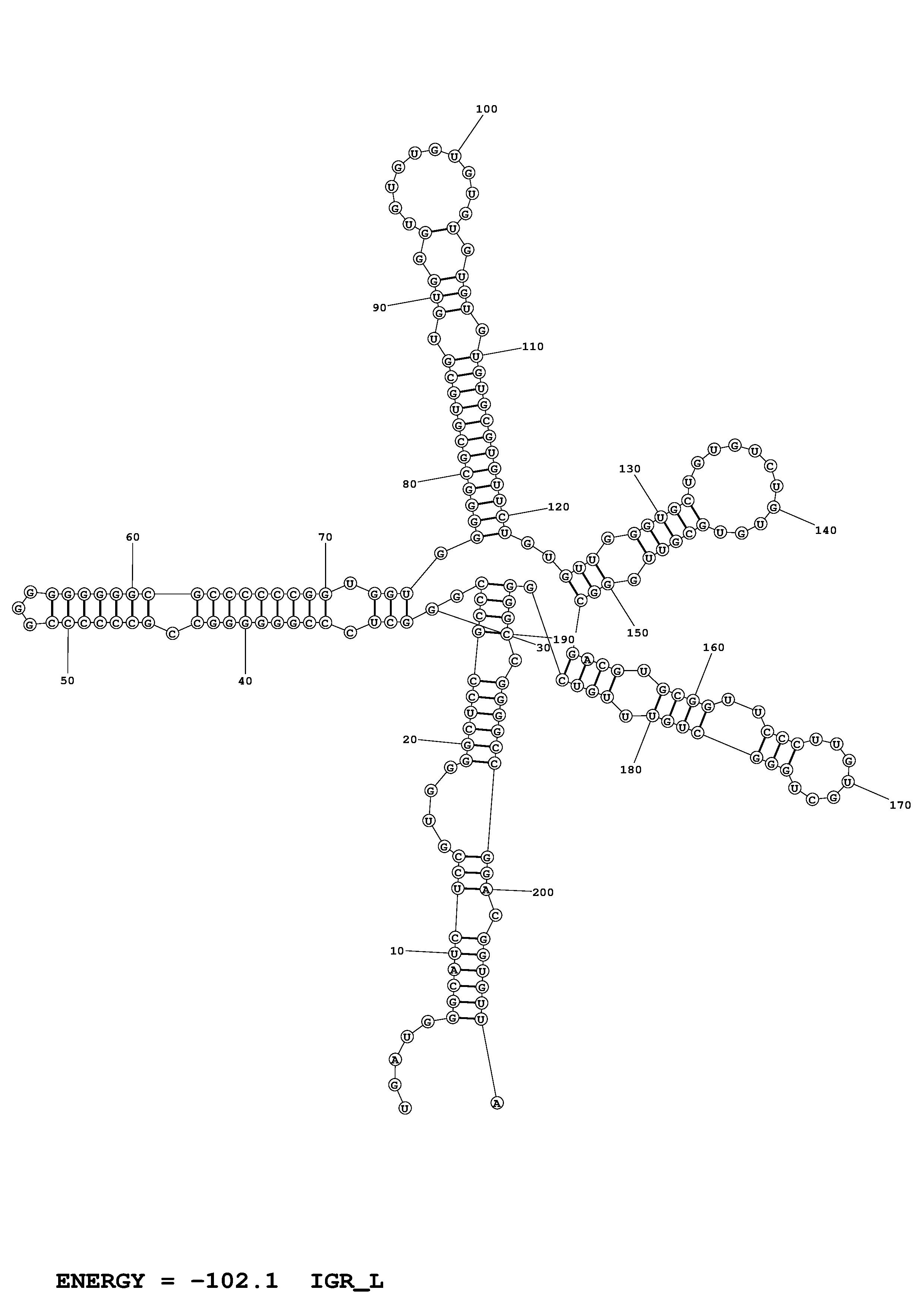
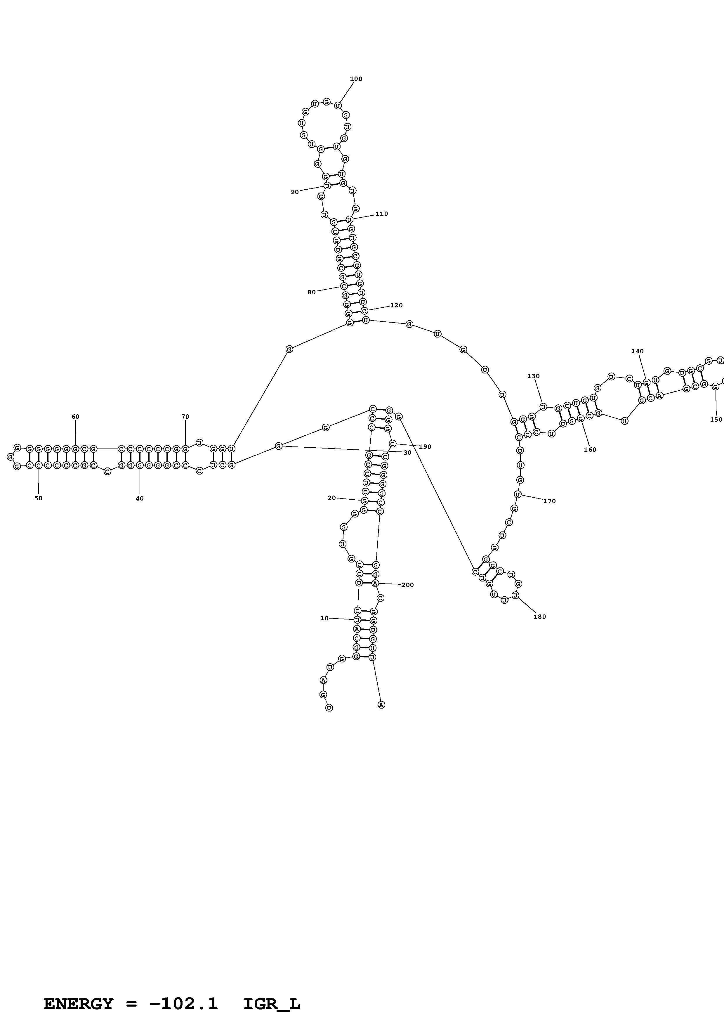
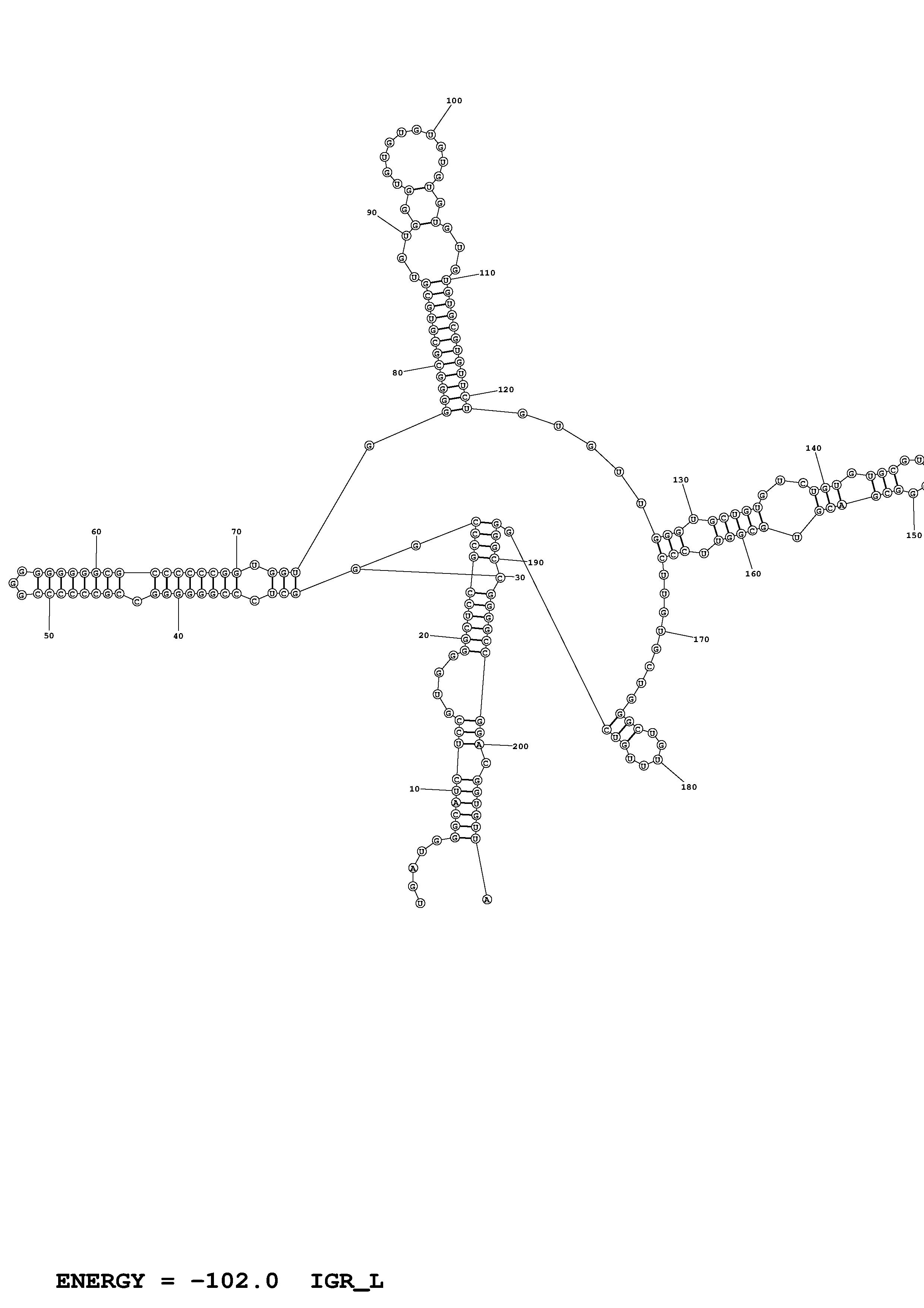
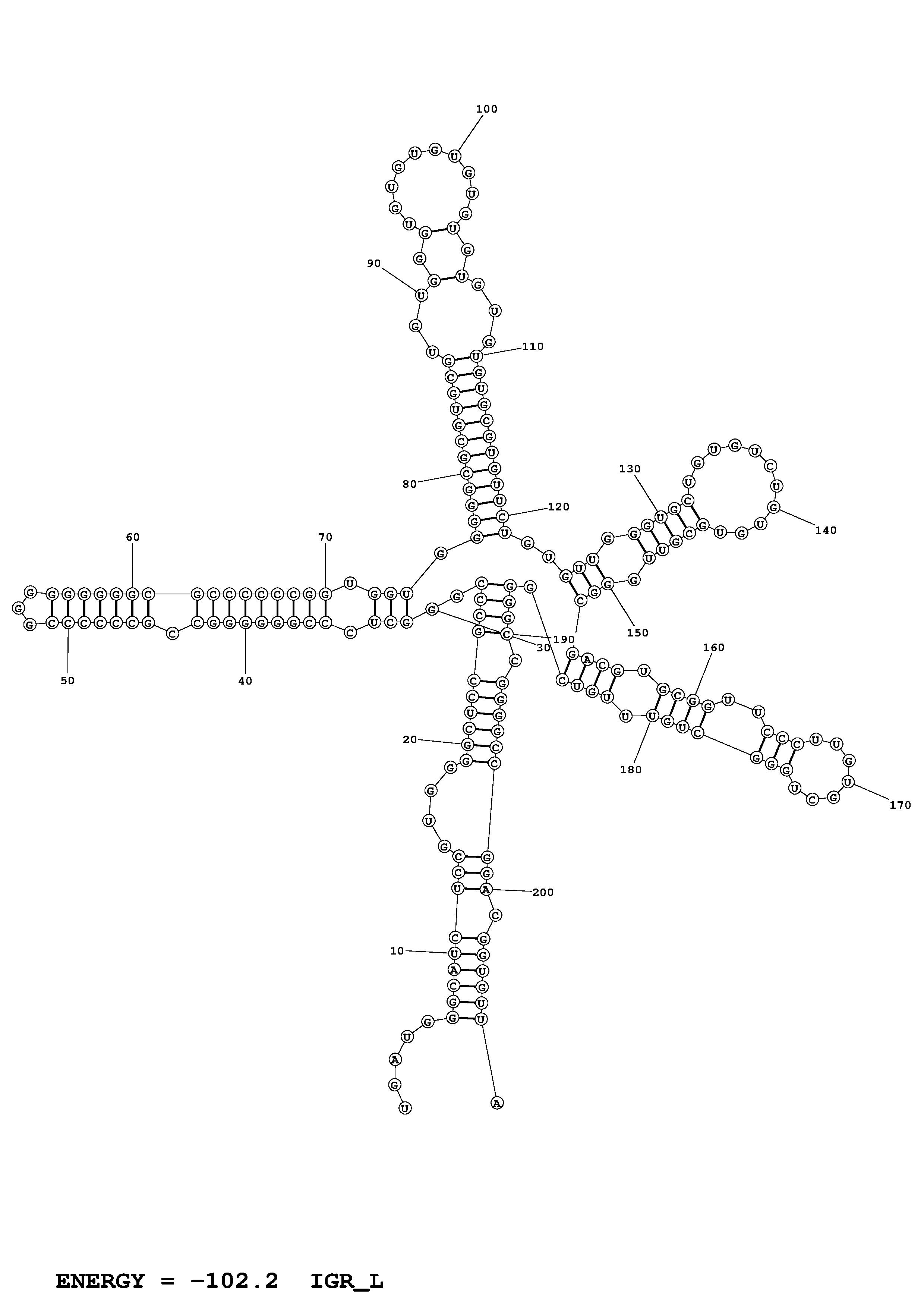
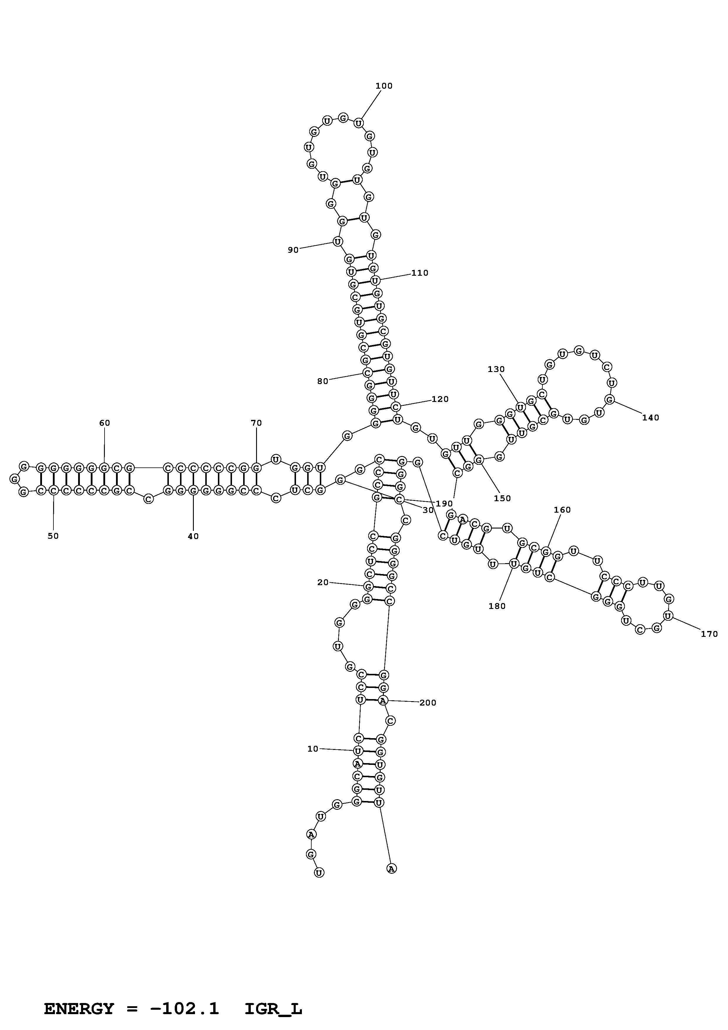
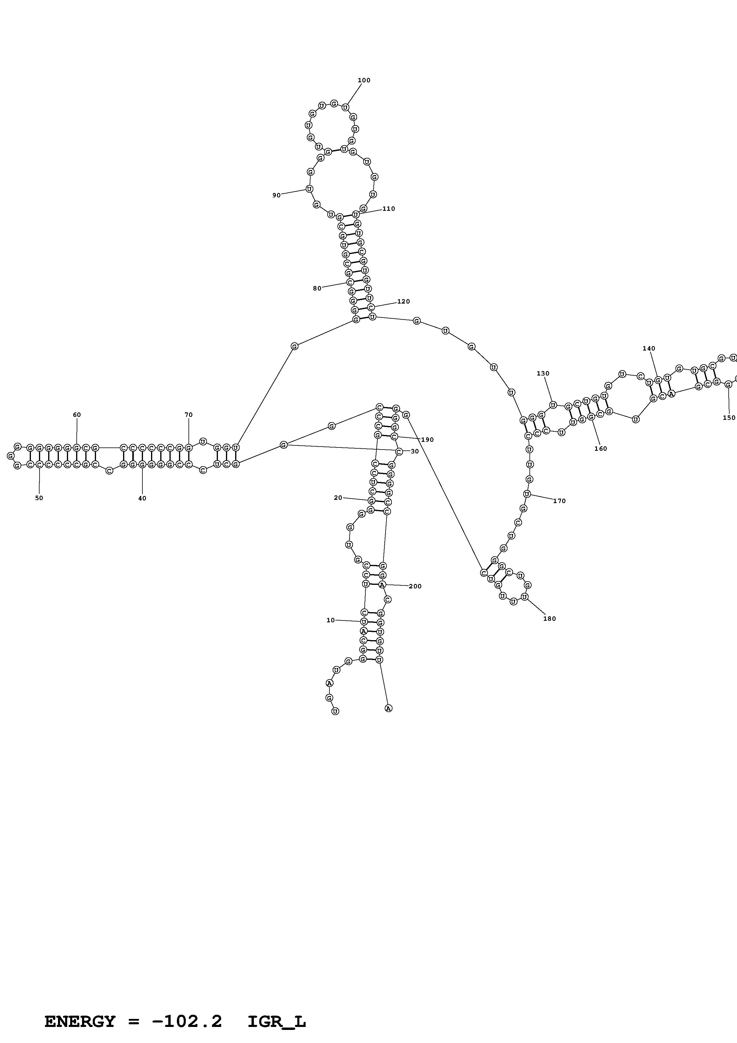
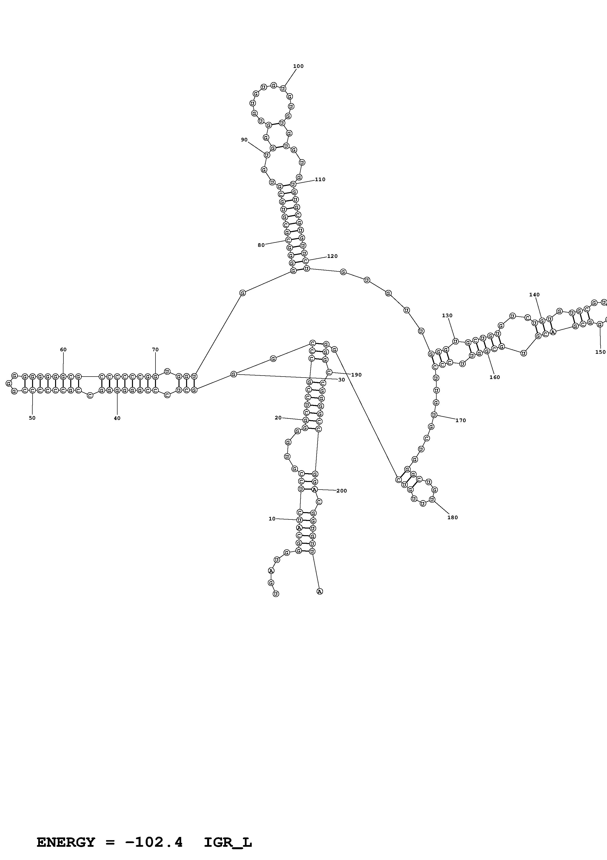
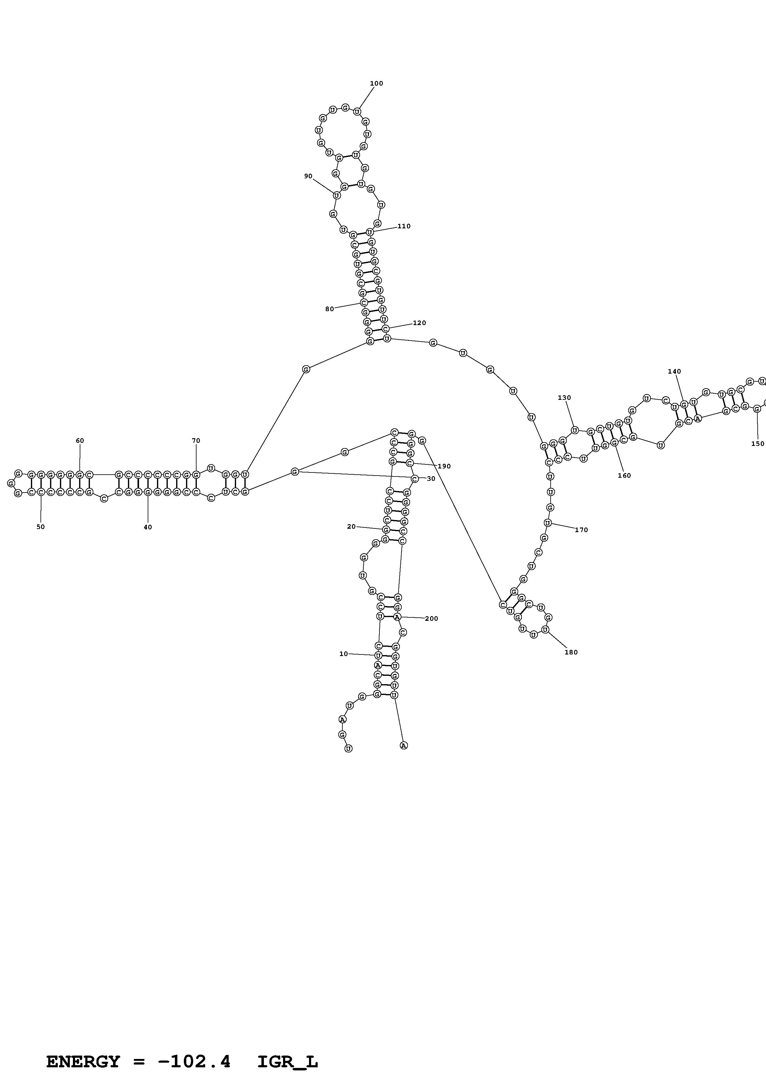
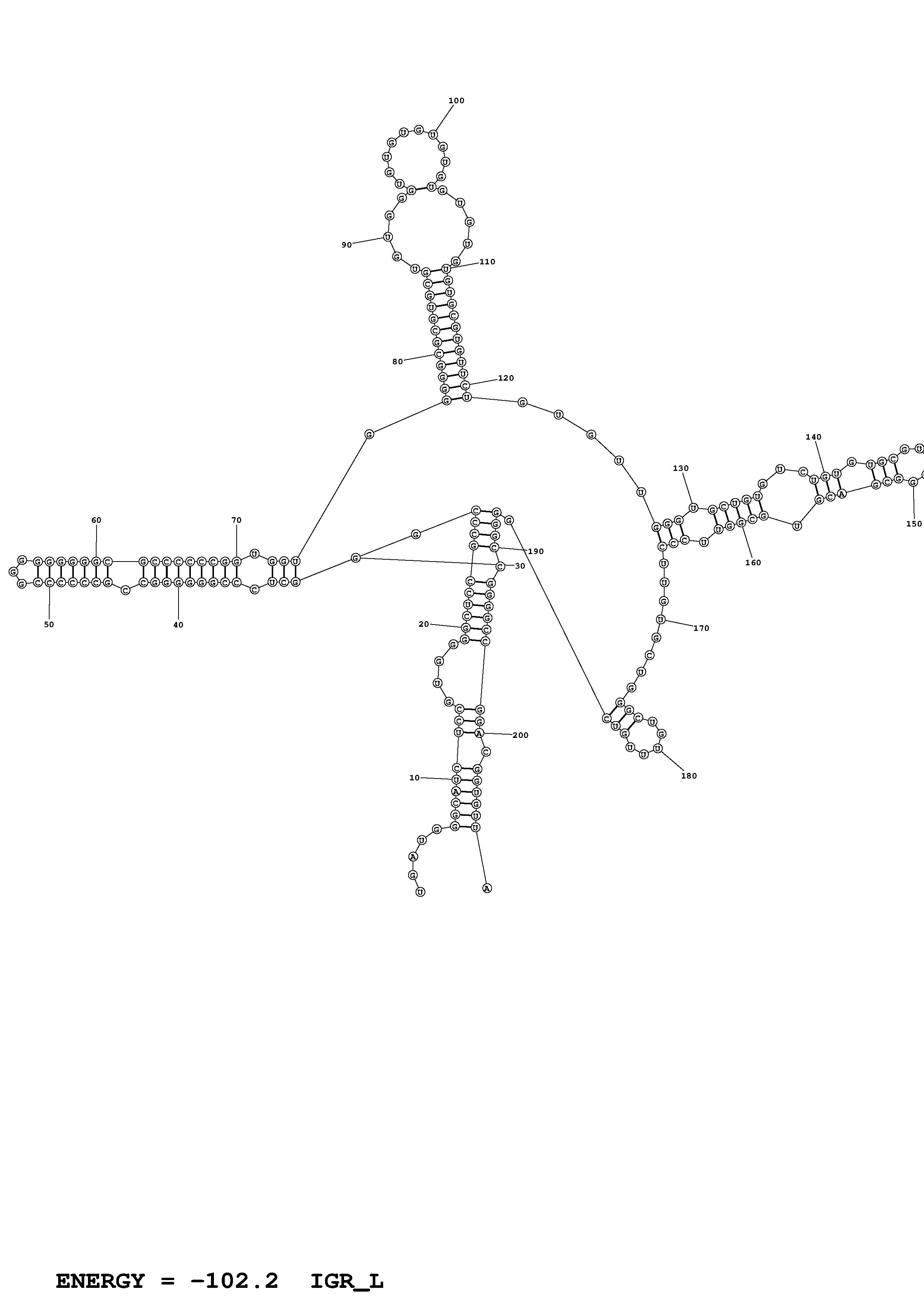
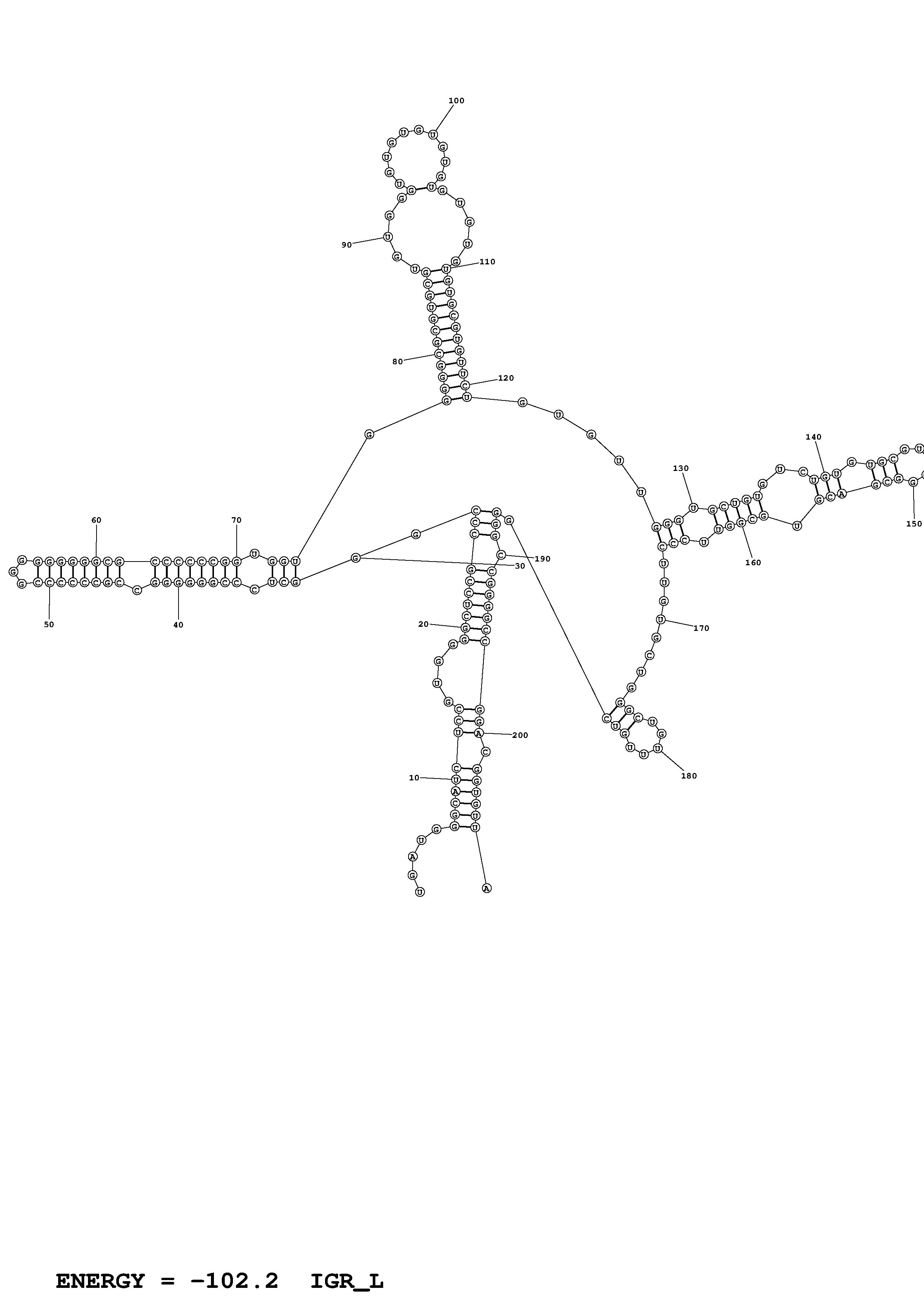
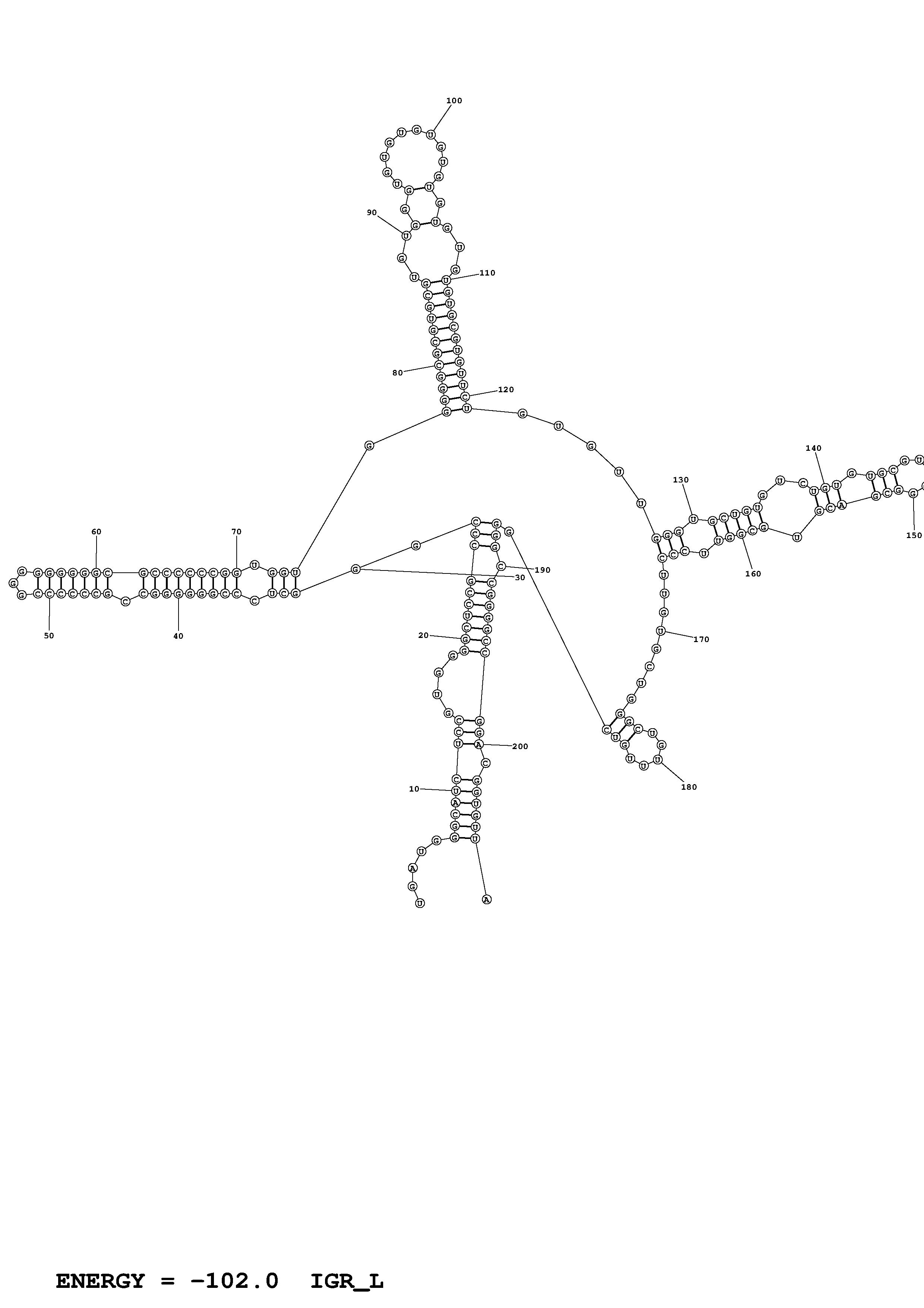
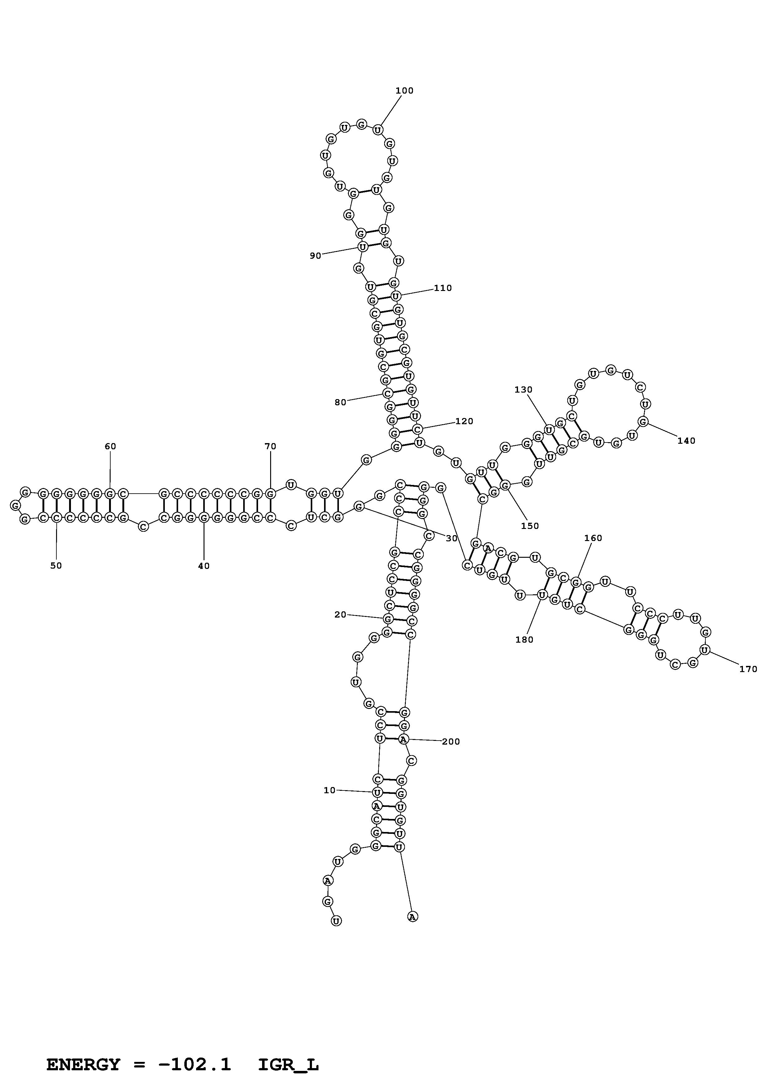
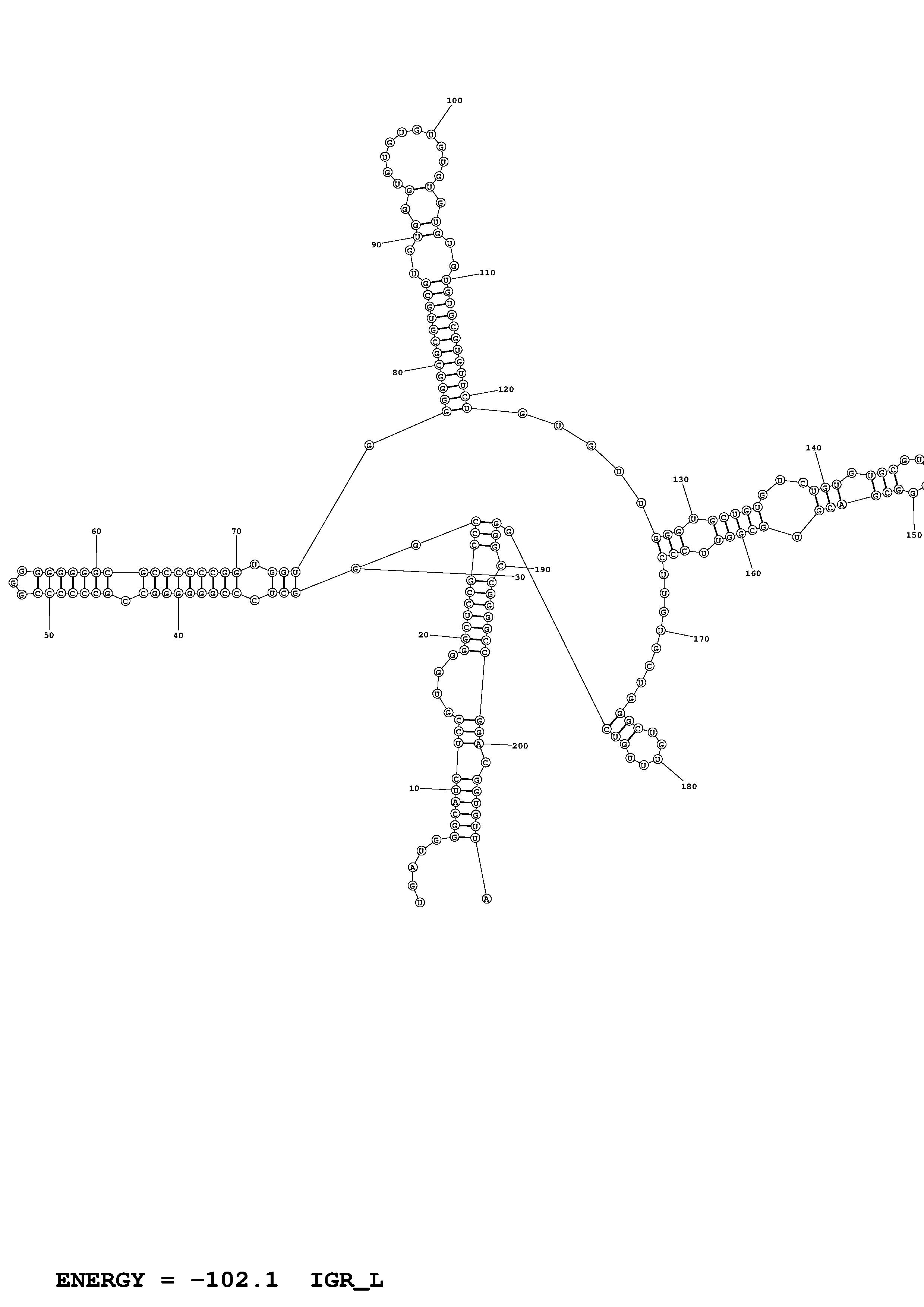
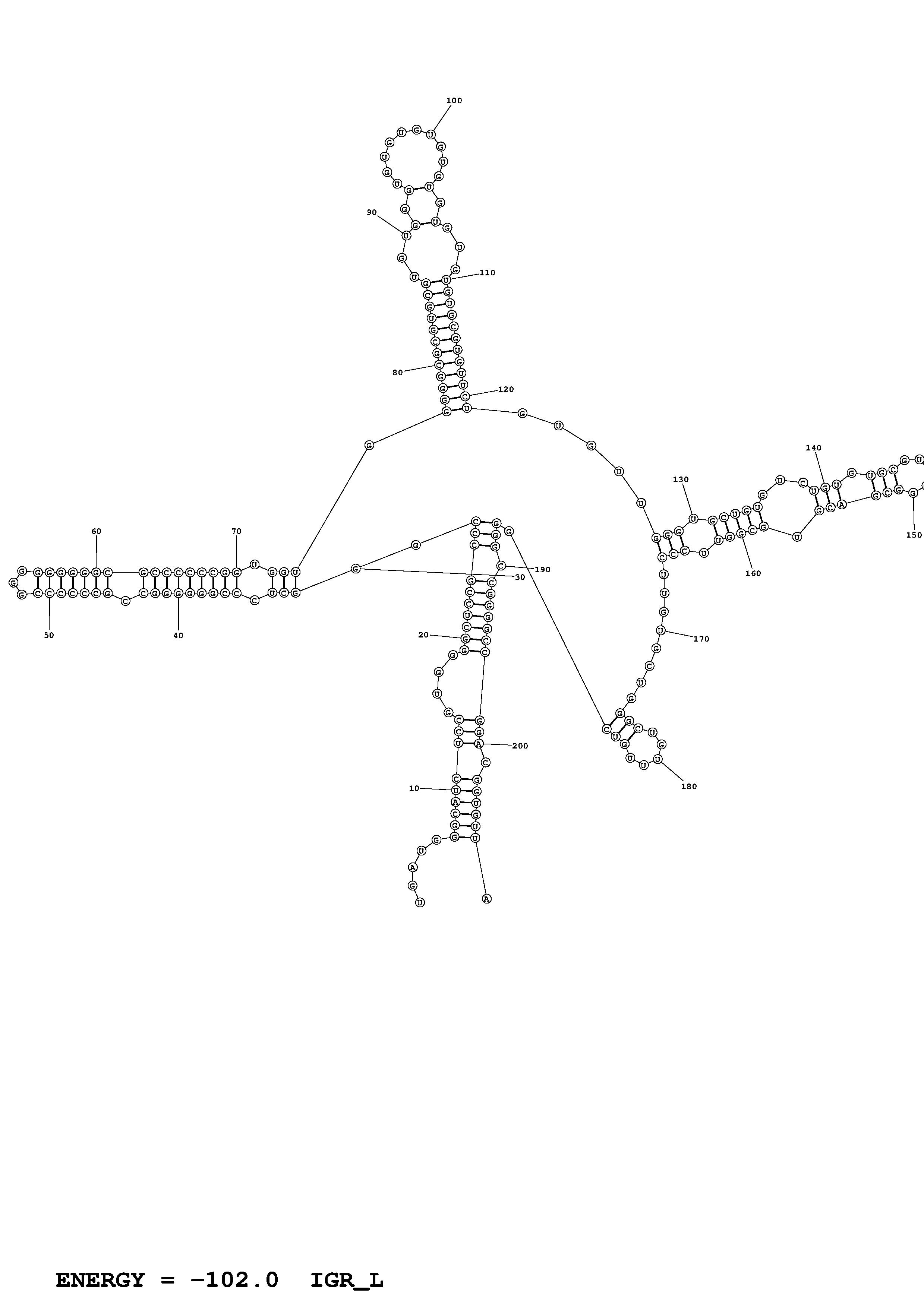
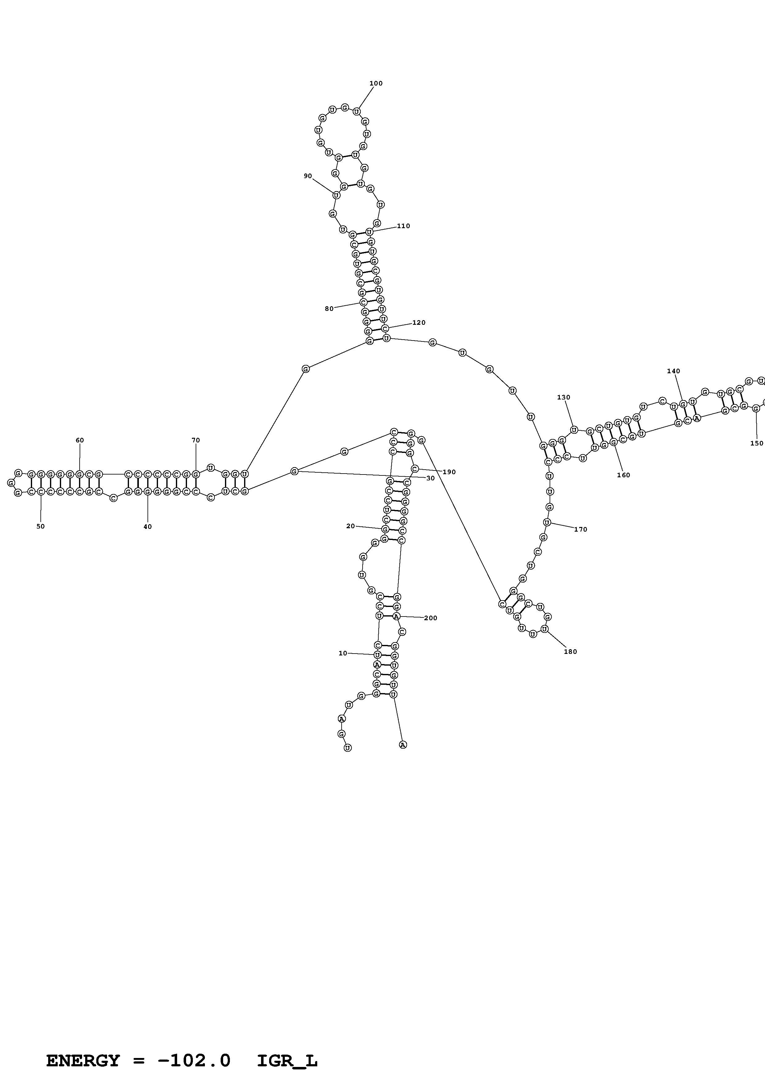
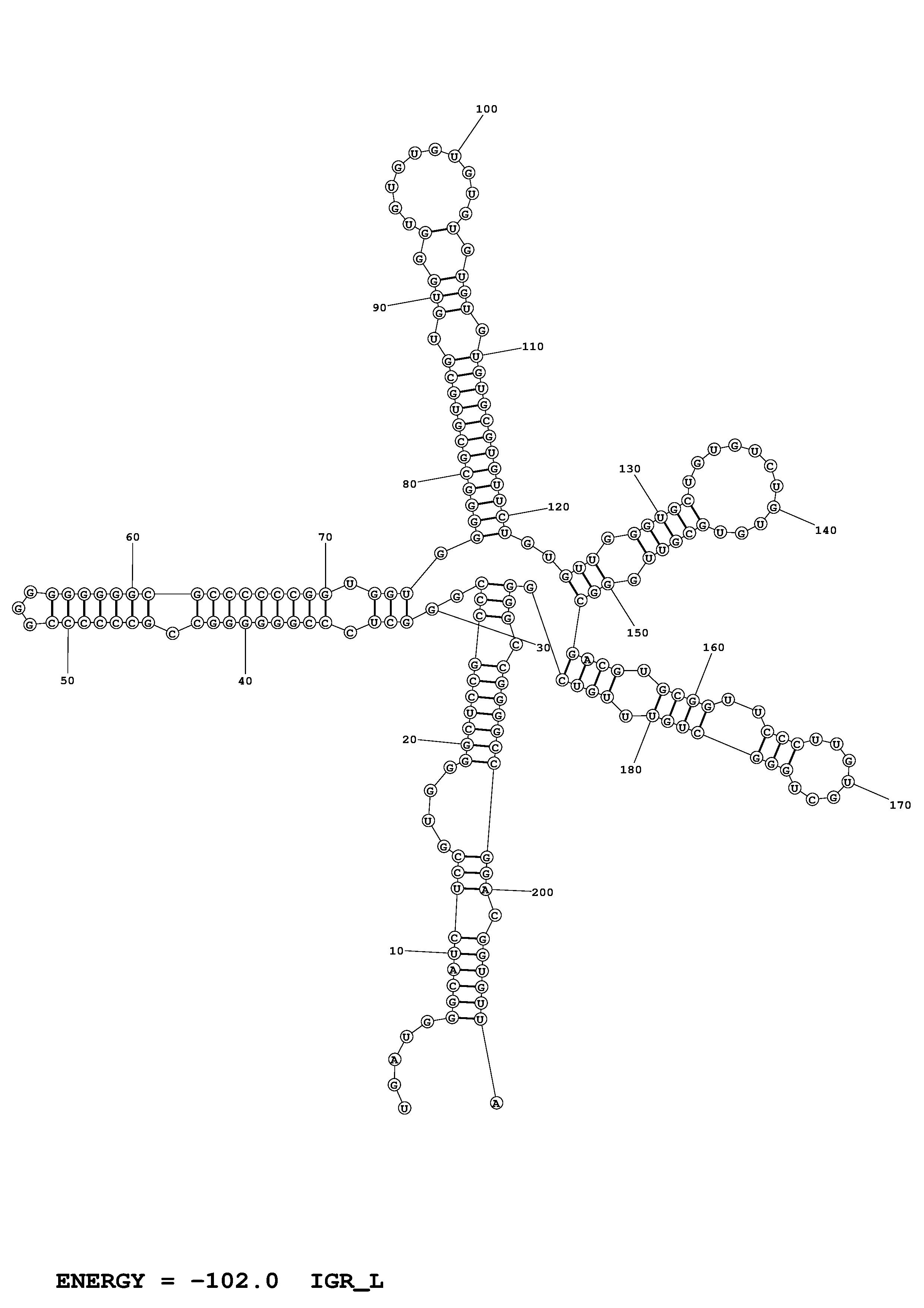
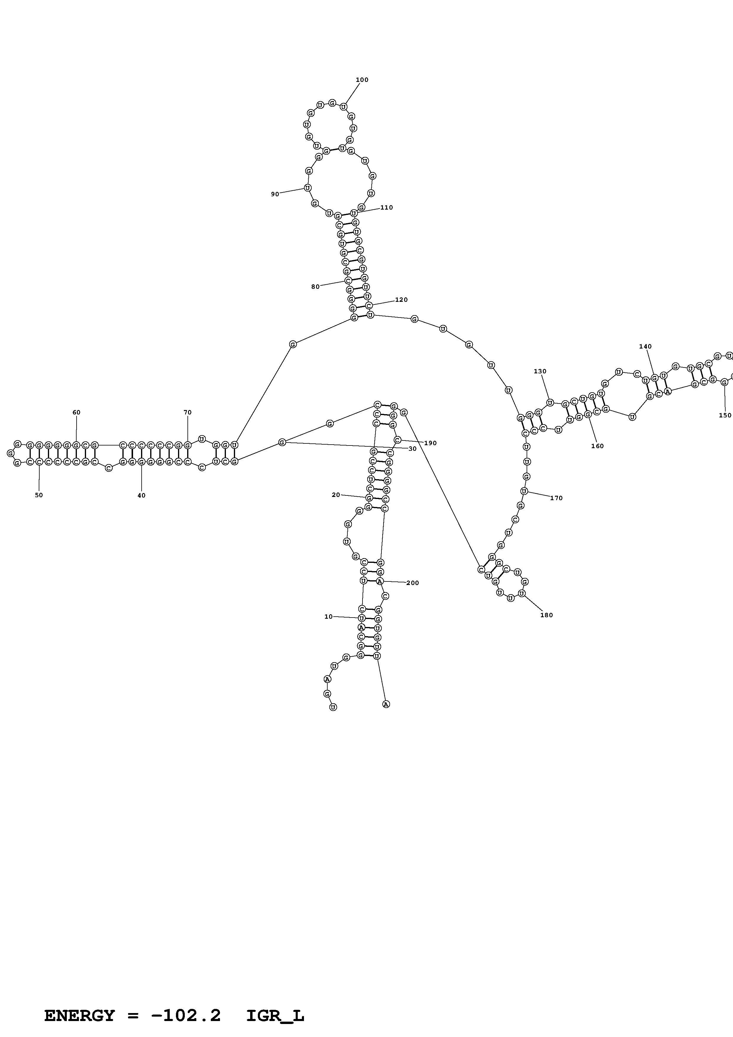
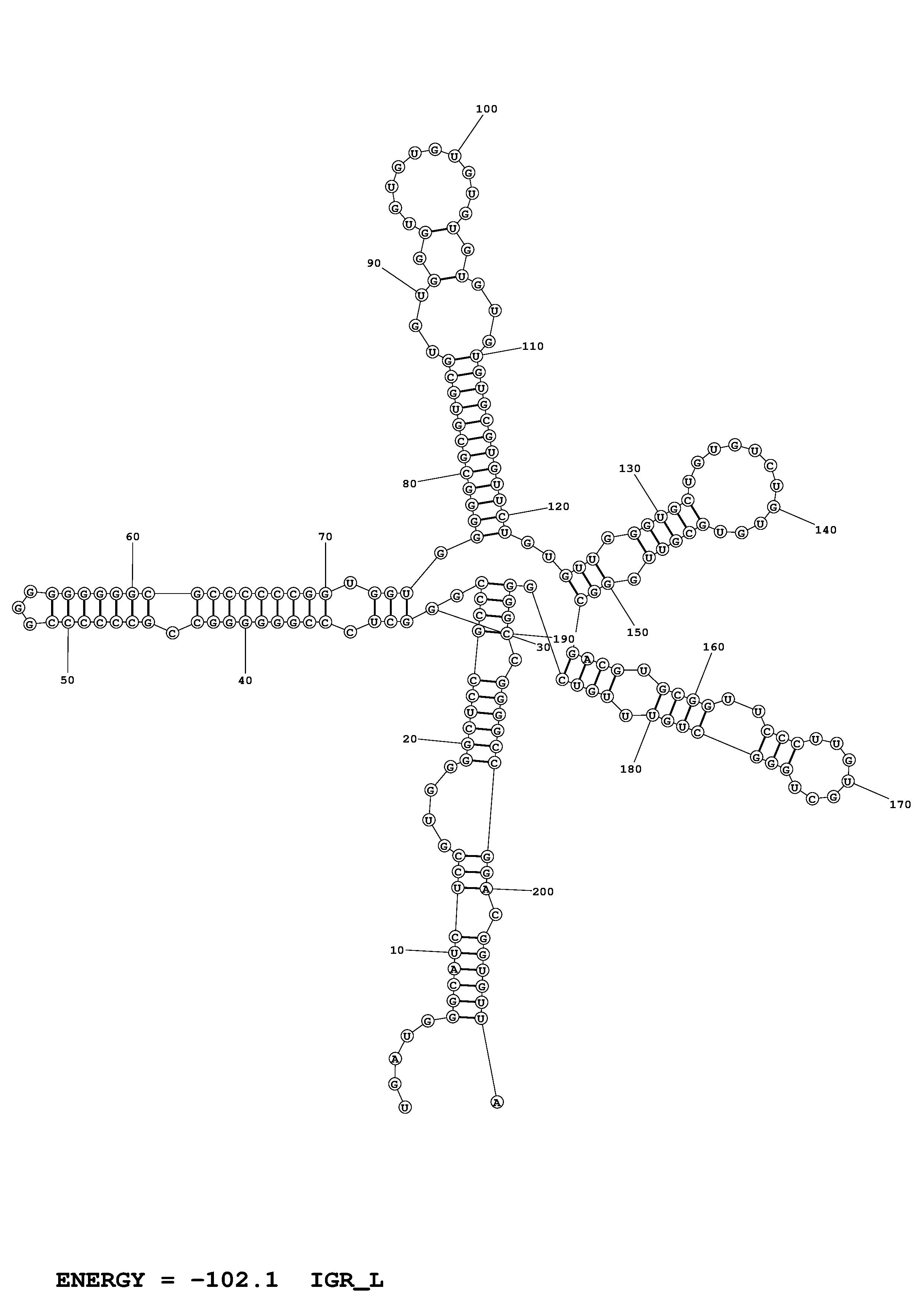
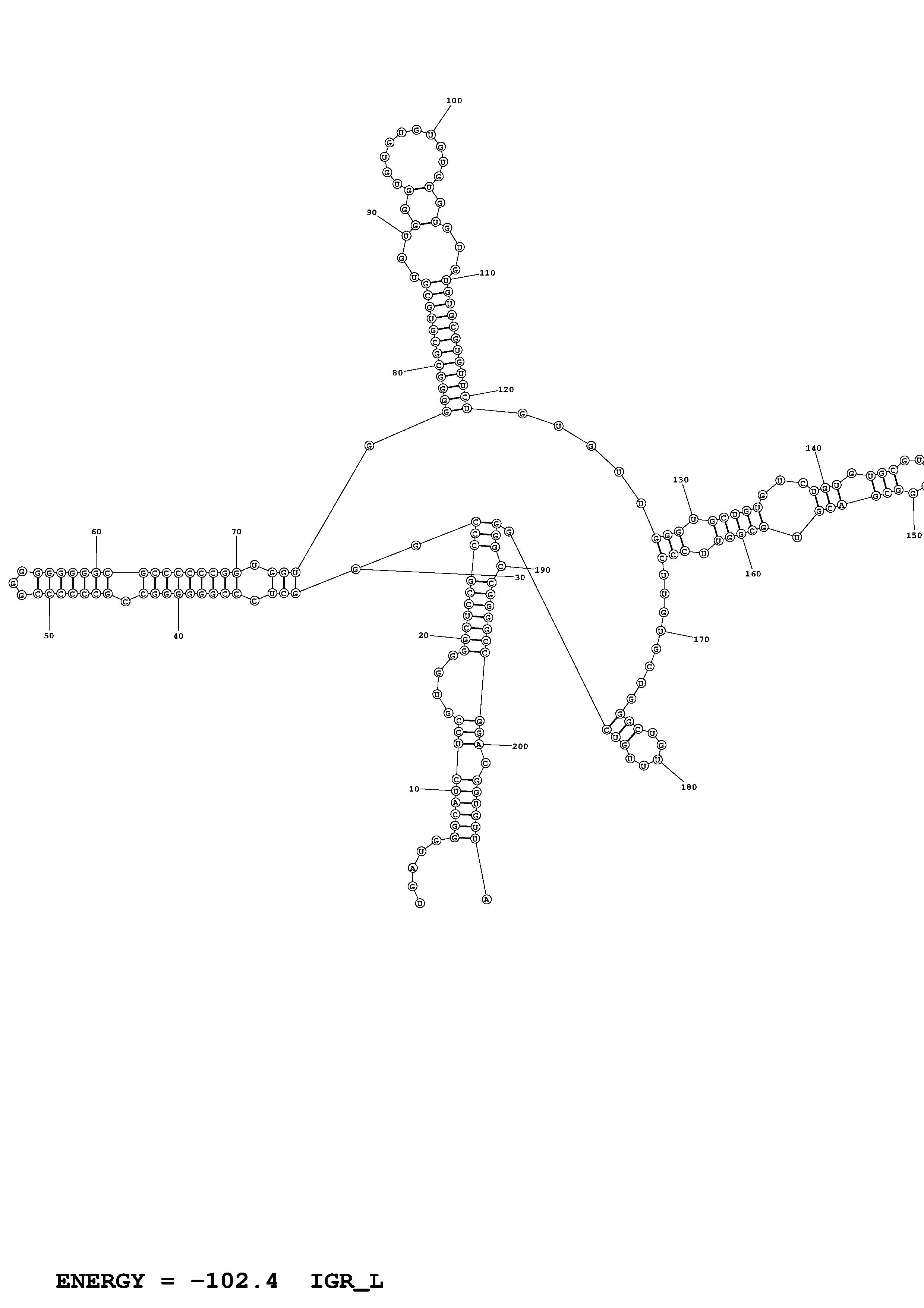
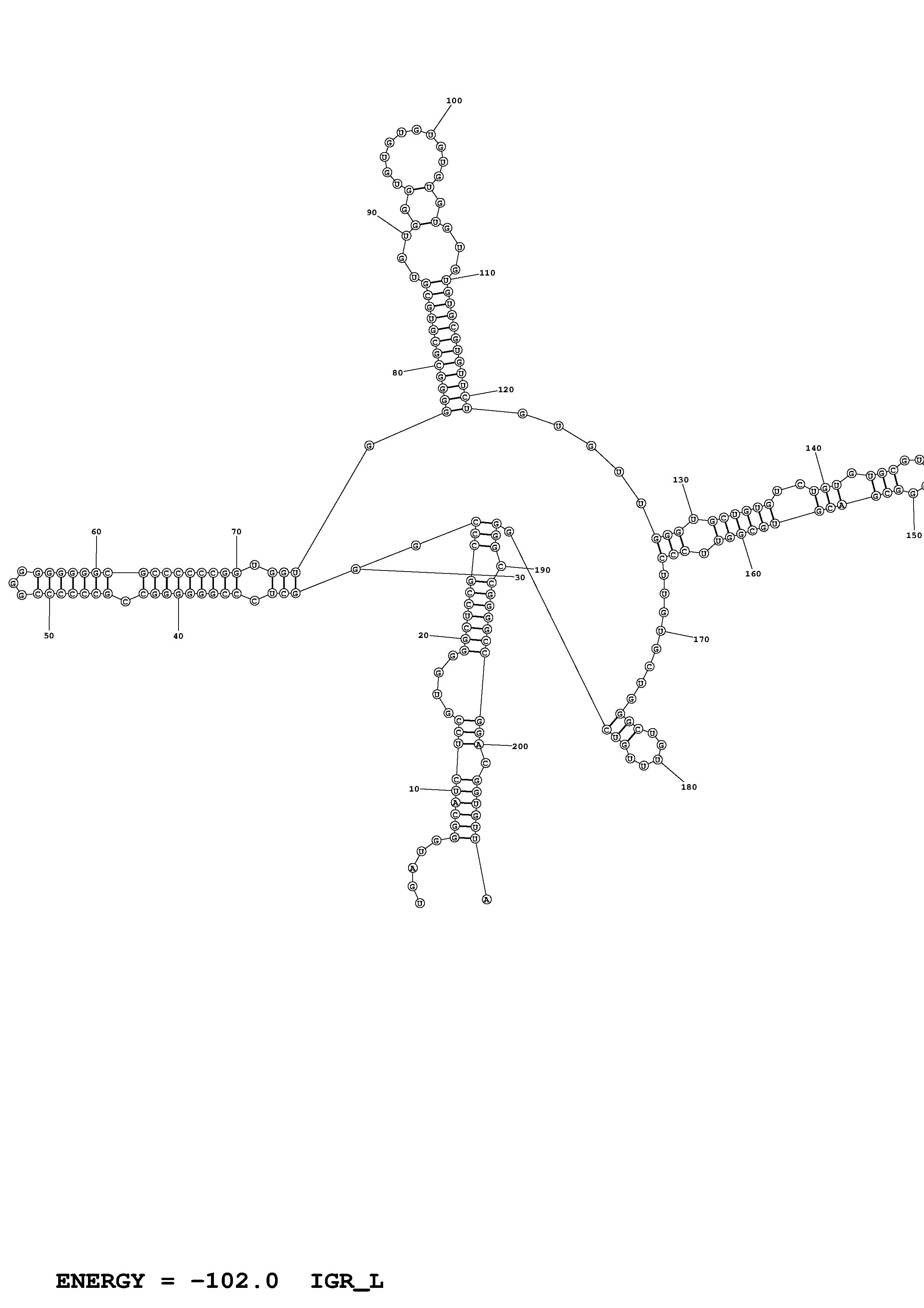
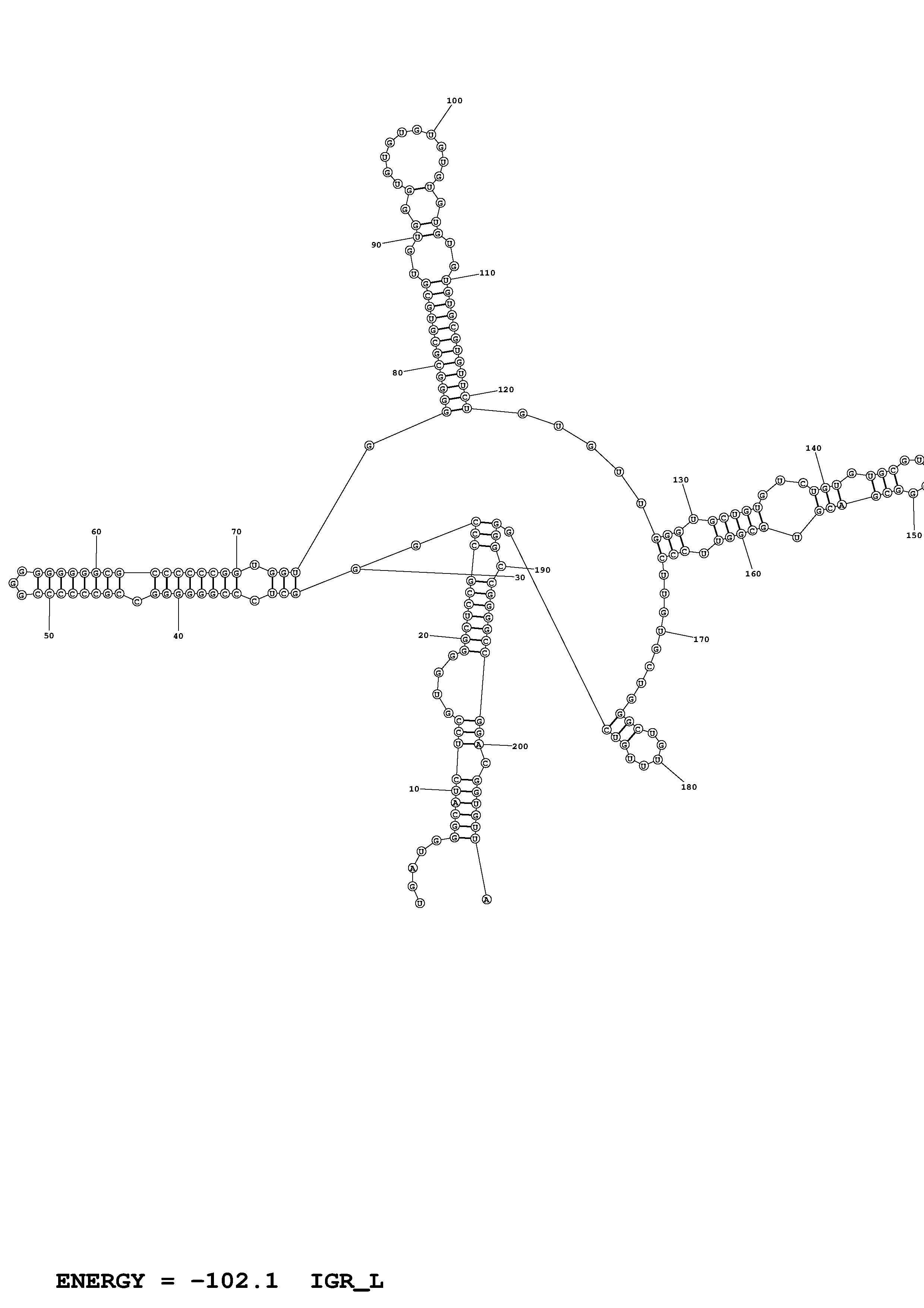
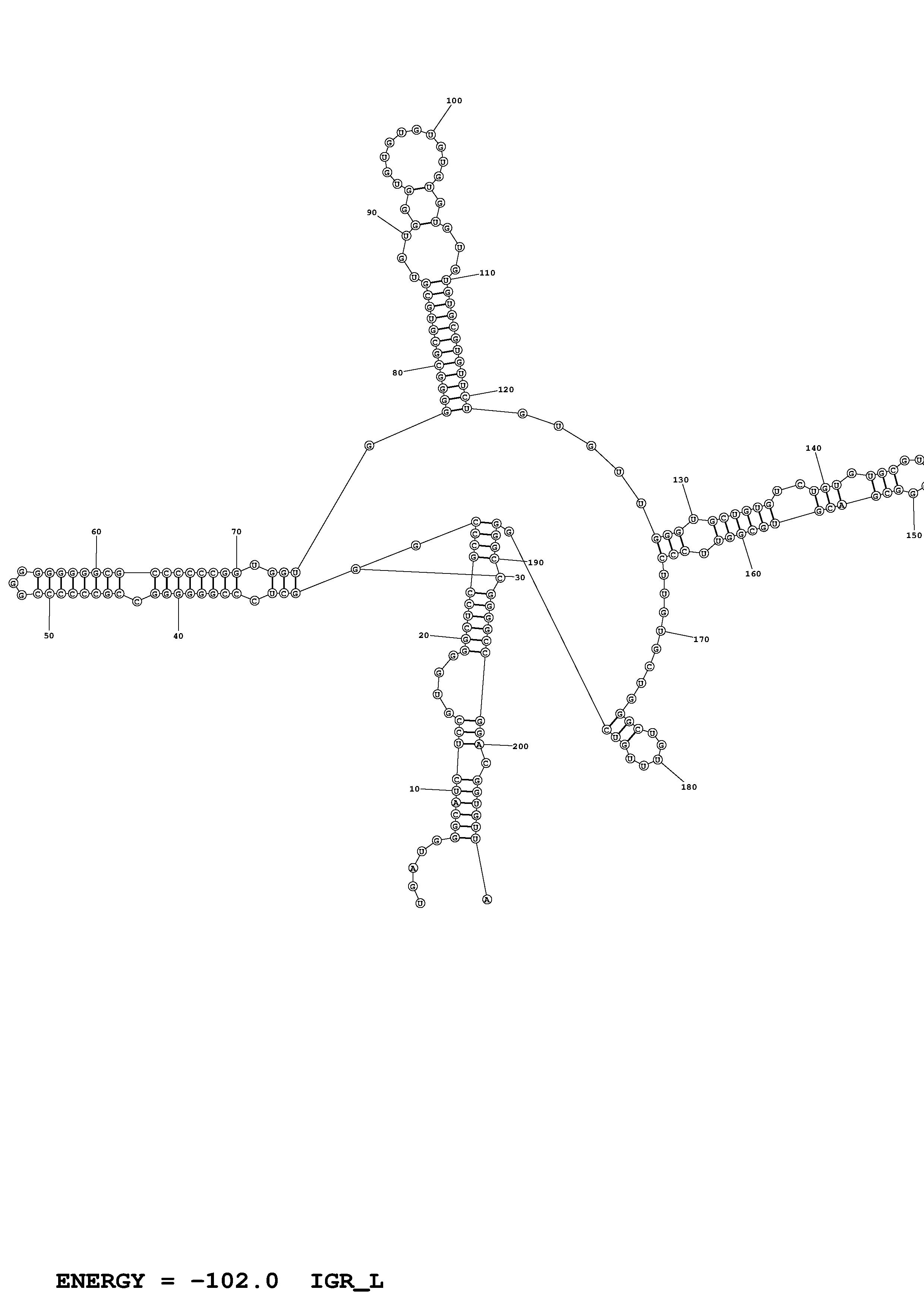
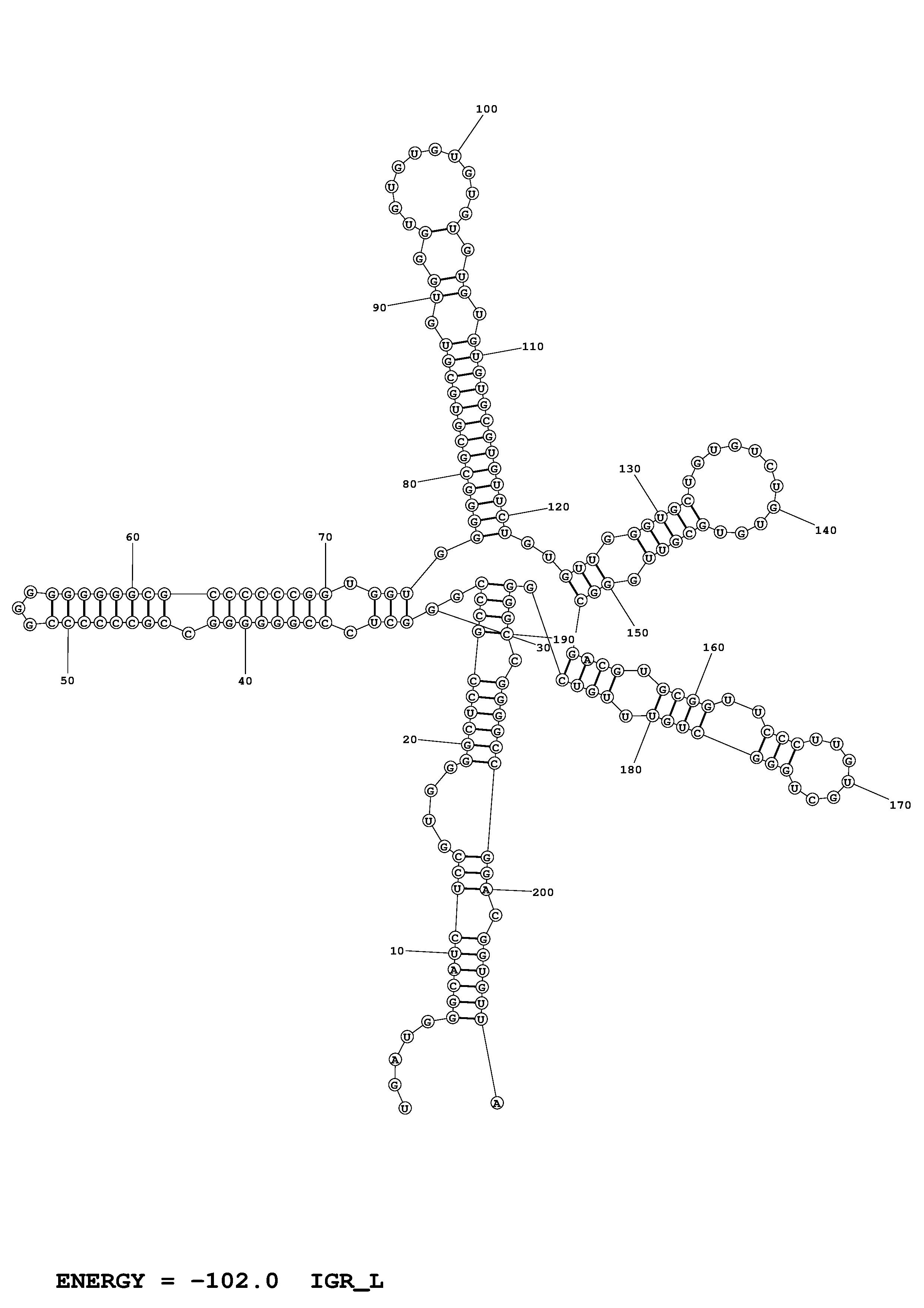
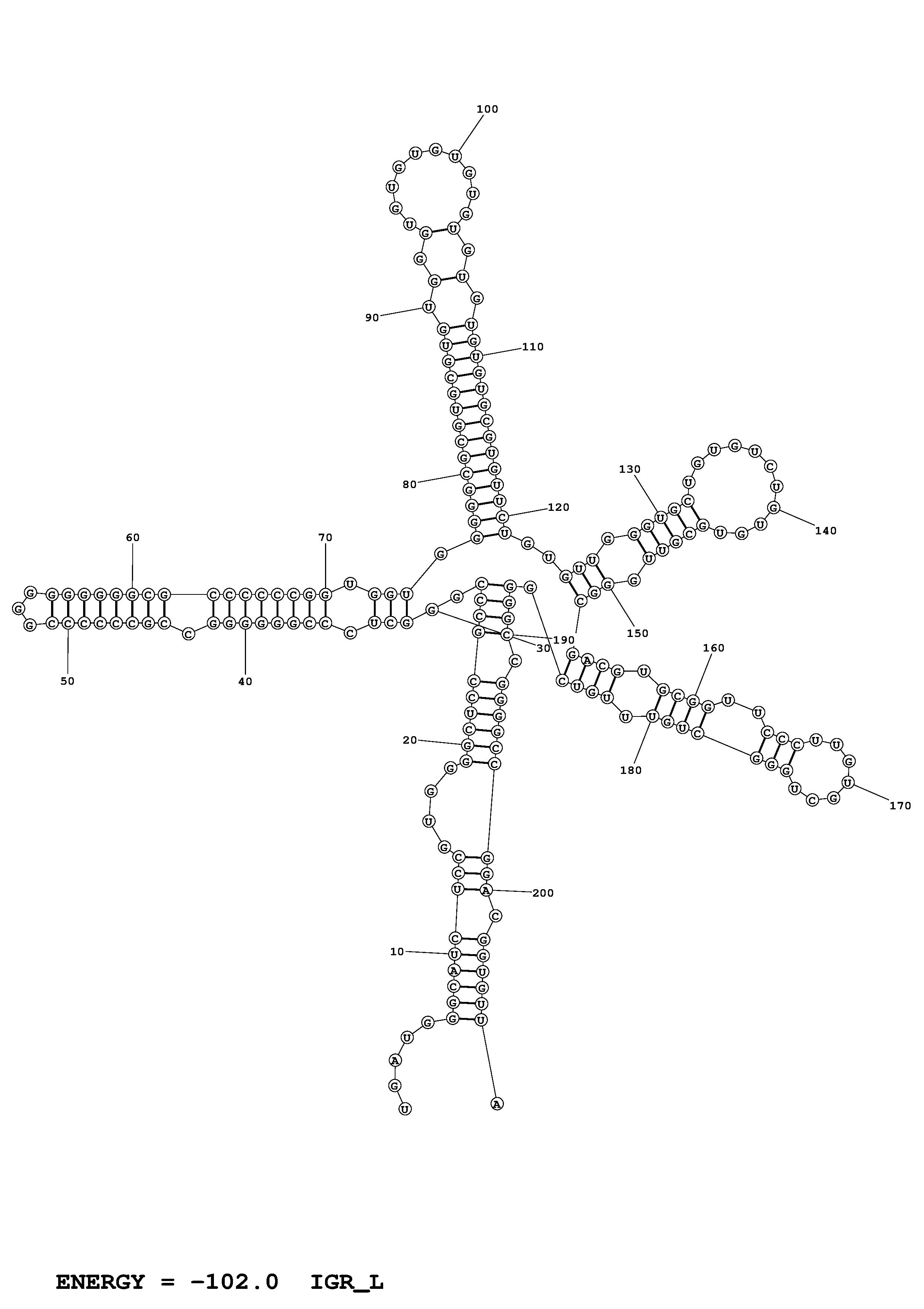
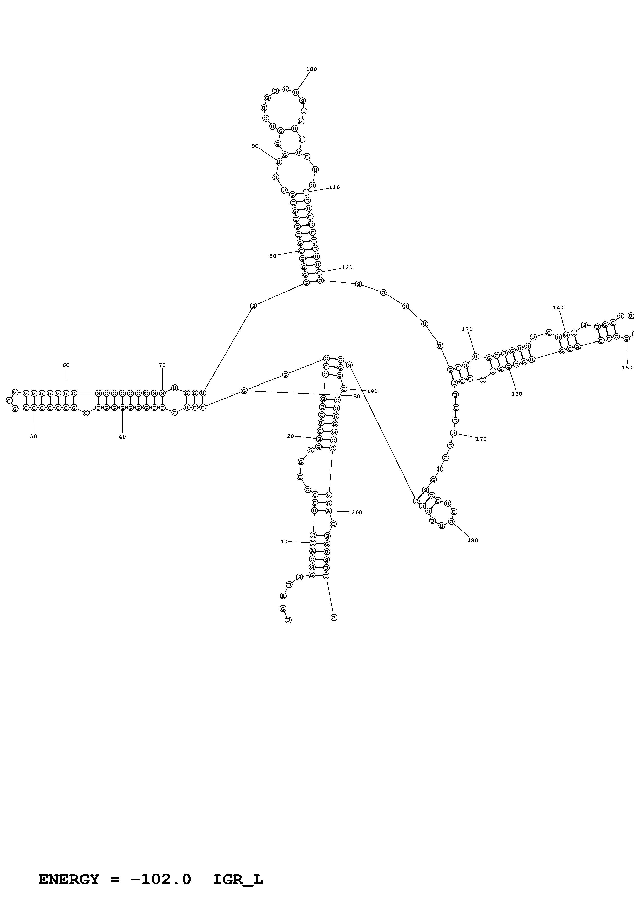
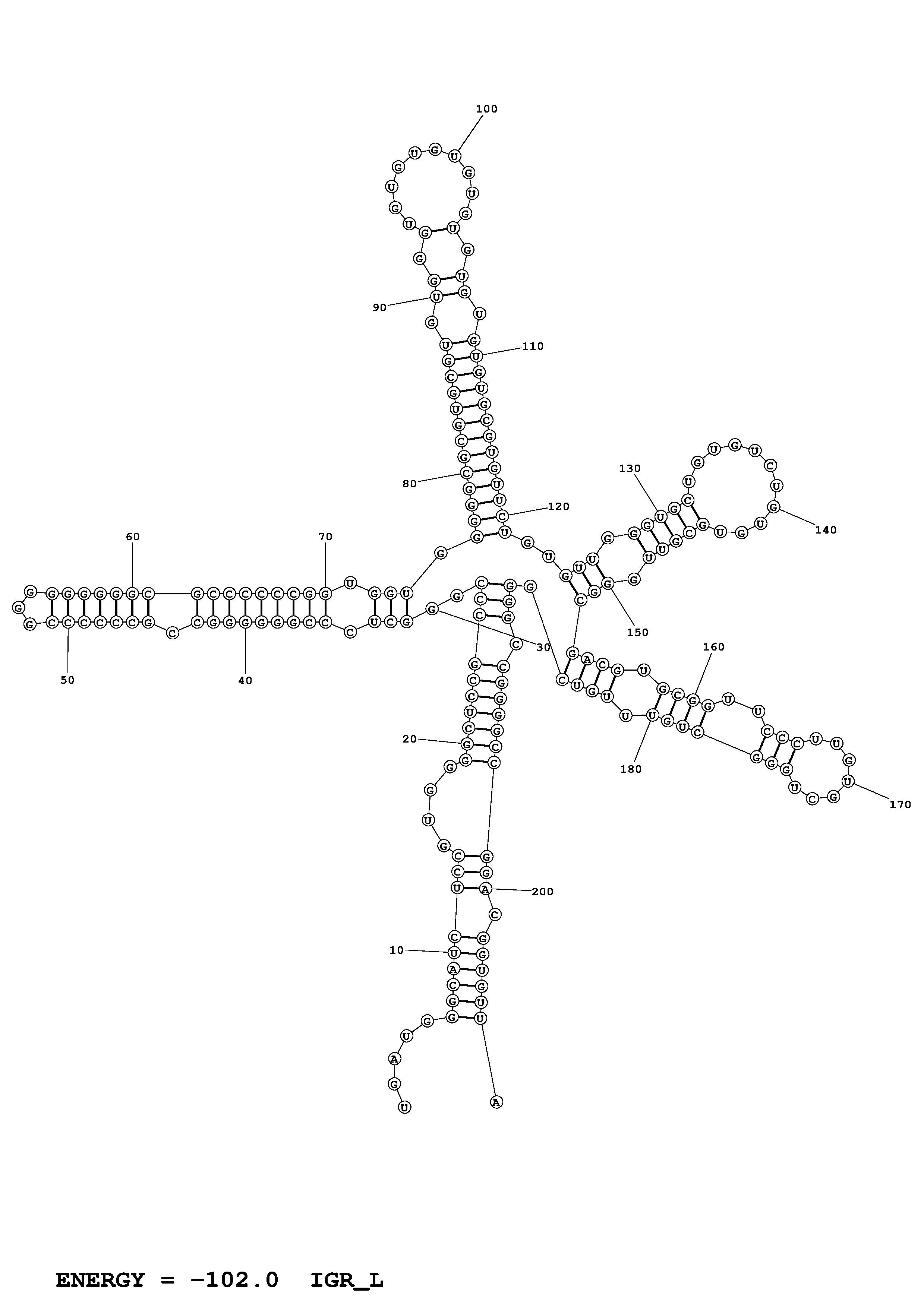
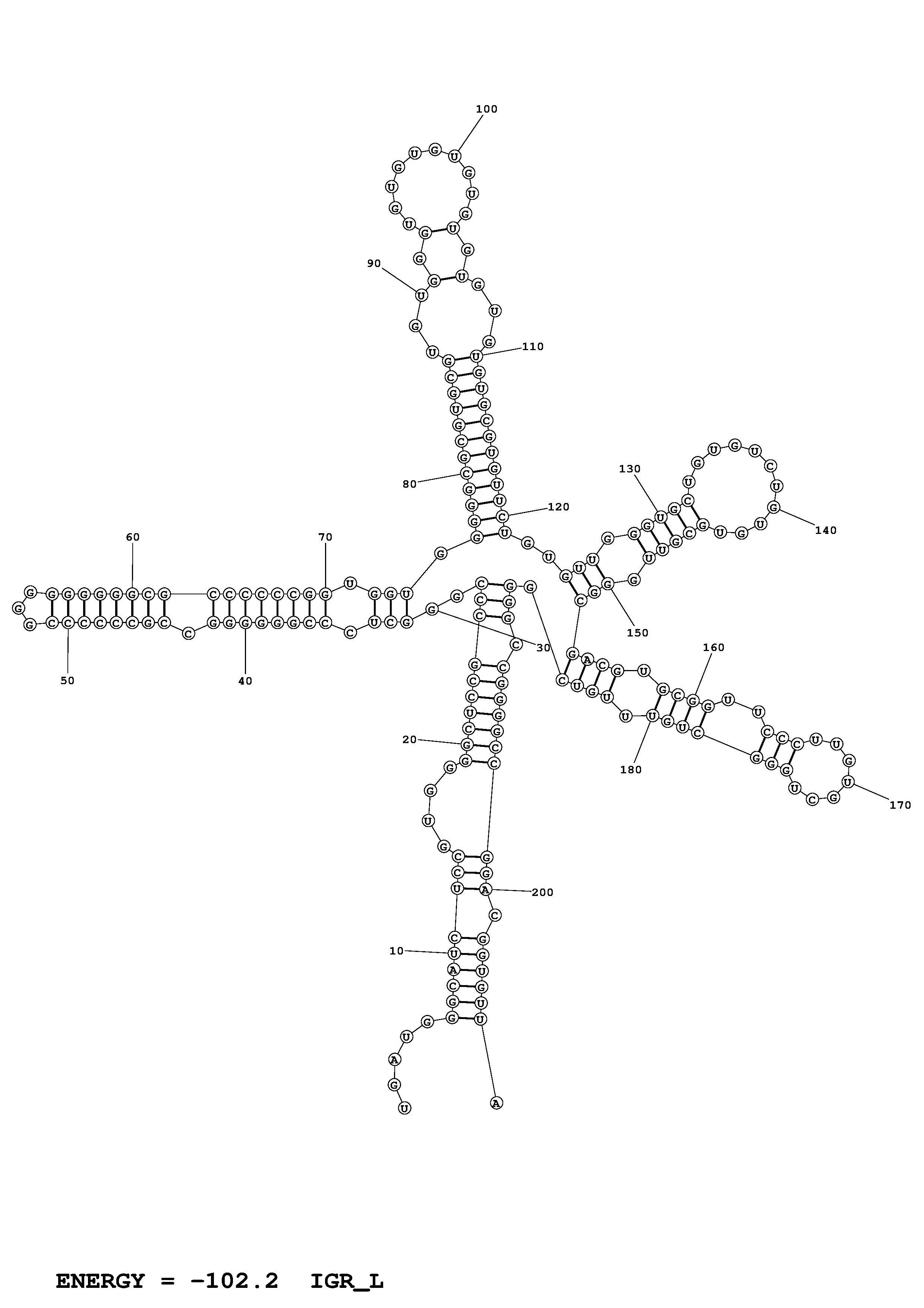
      Structure 1: PDF SVG PS JPEG PNG CT
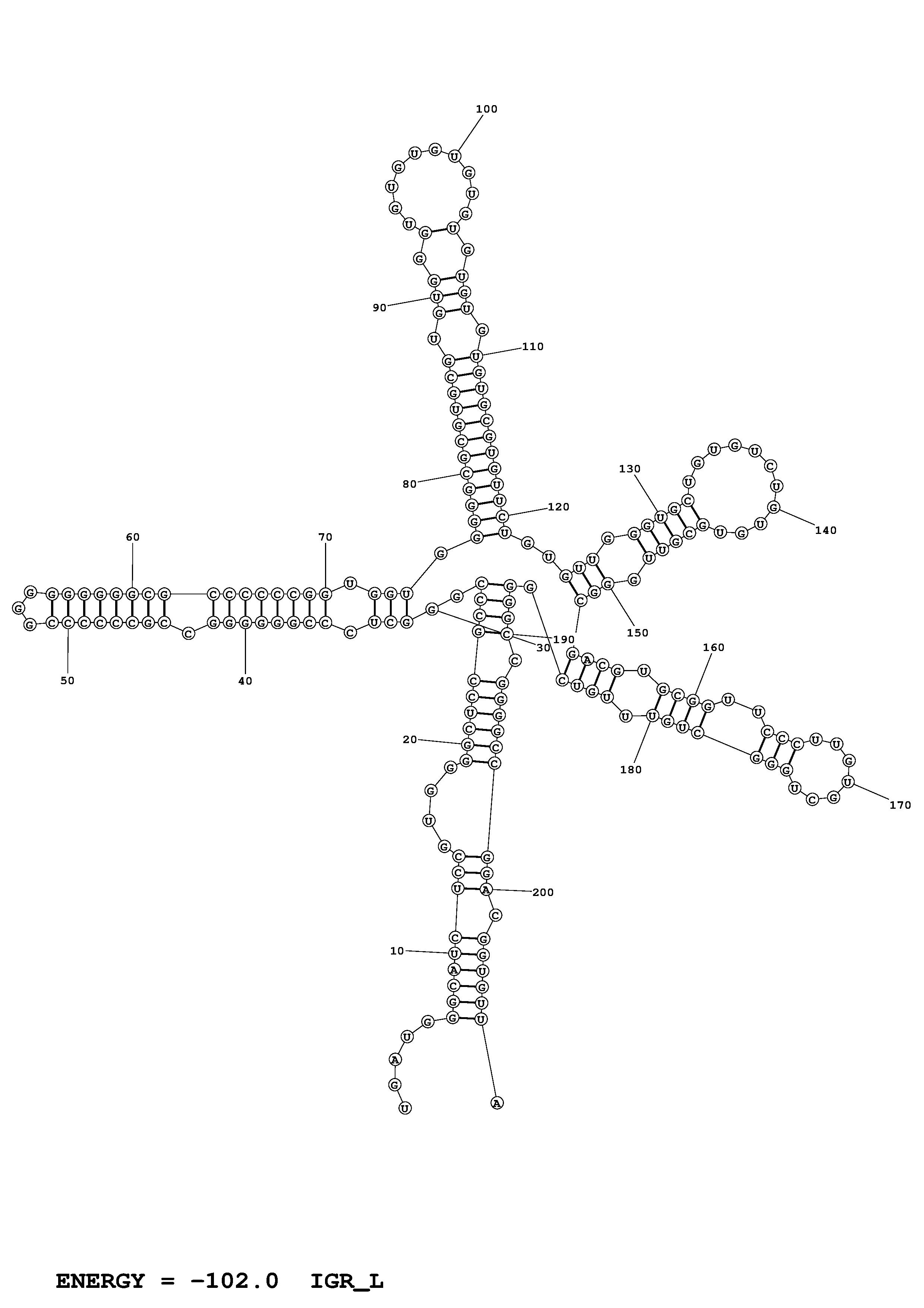
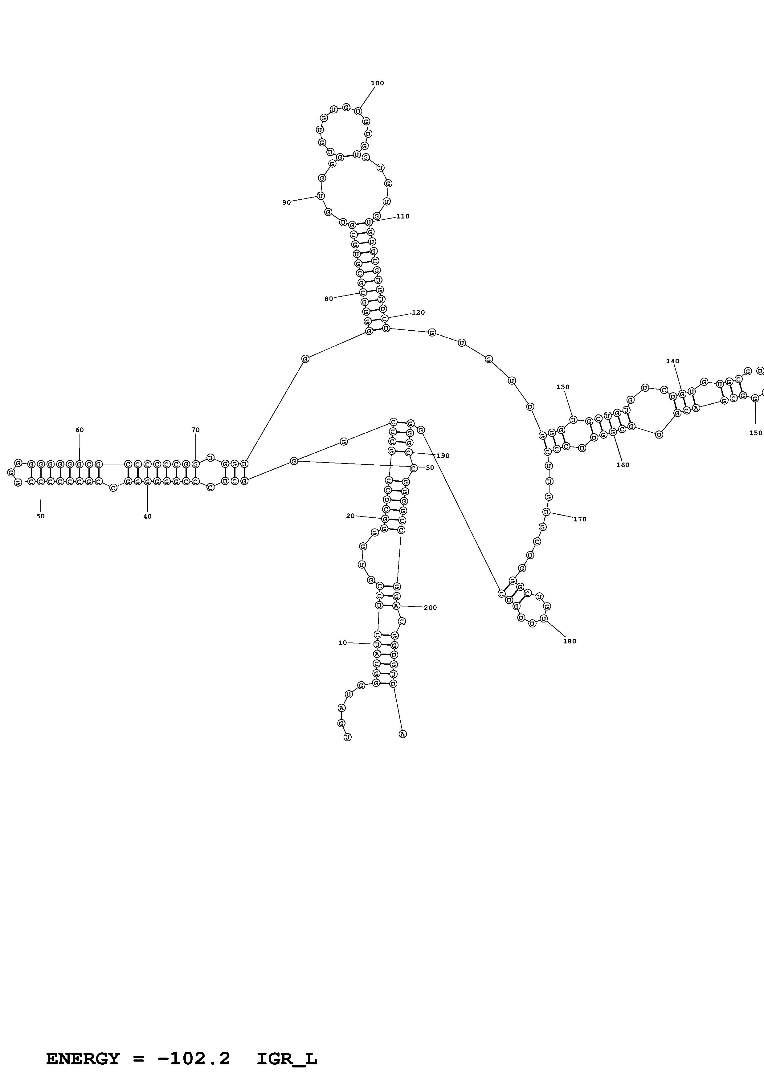
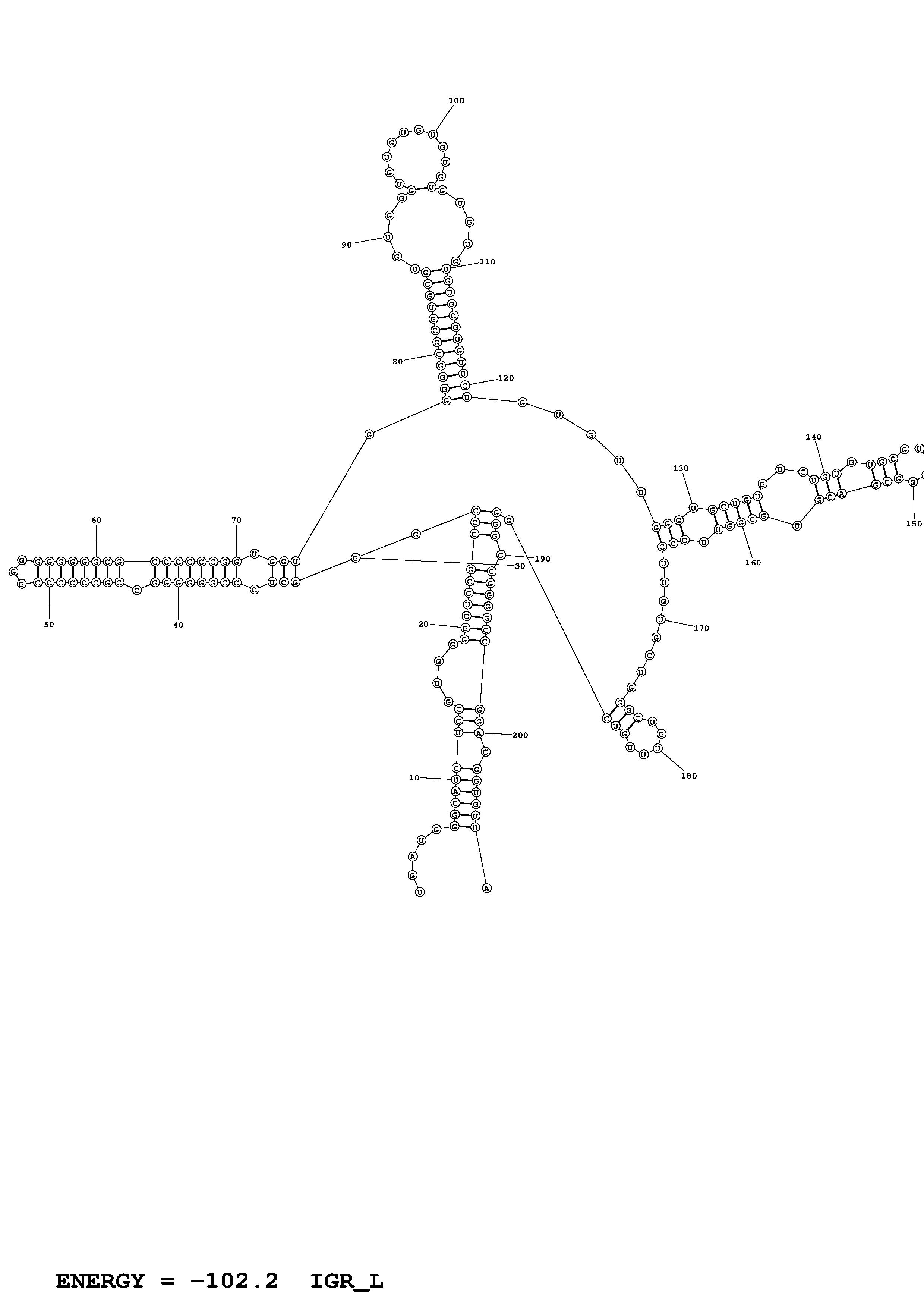
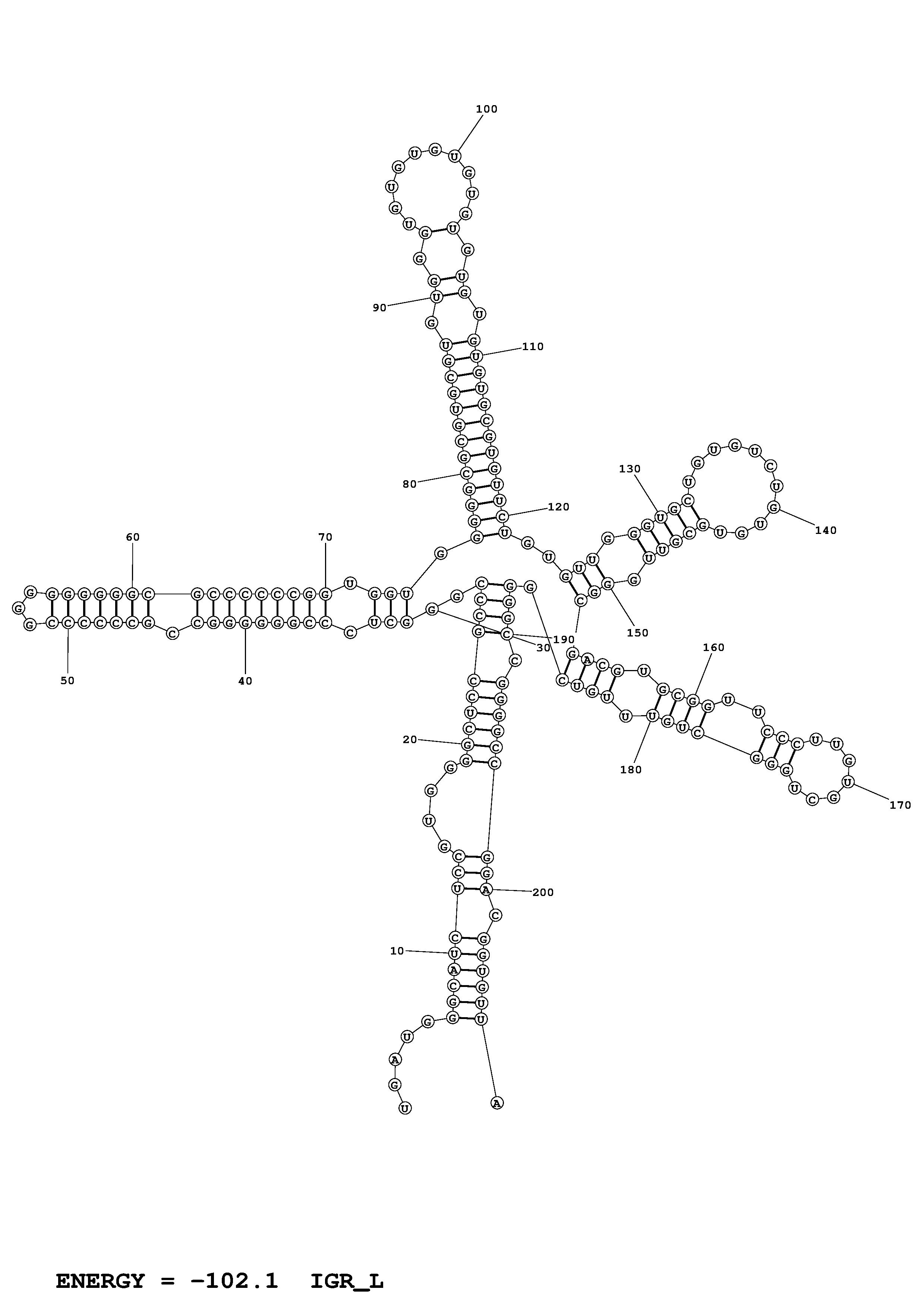
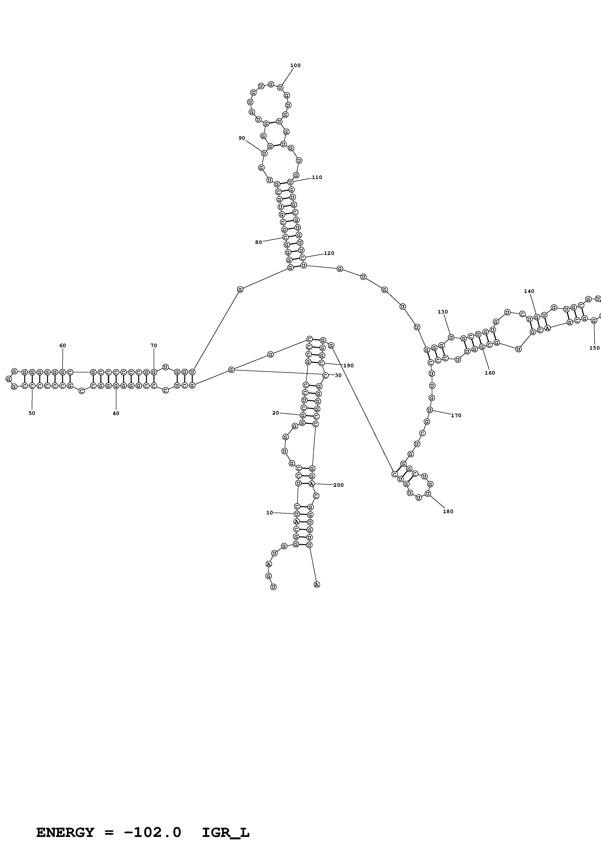
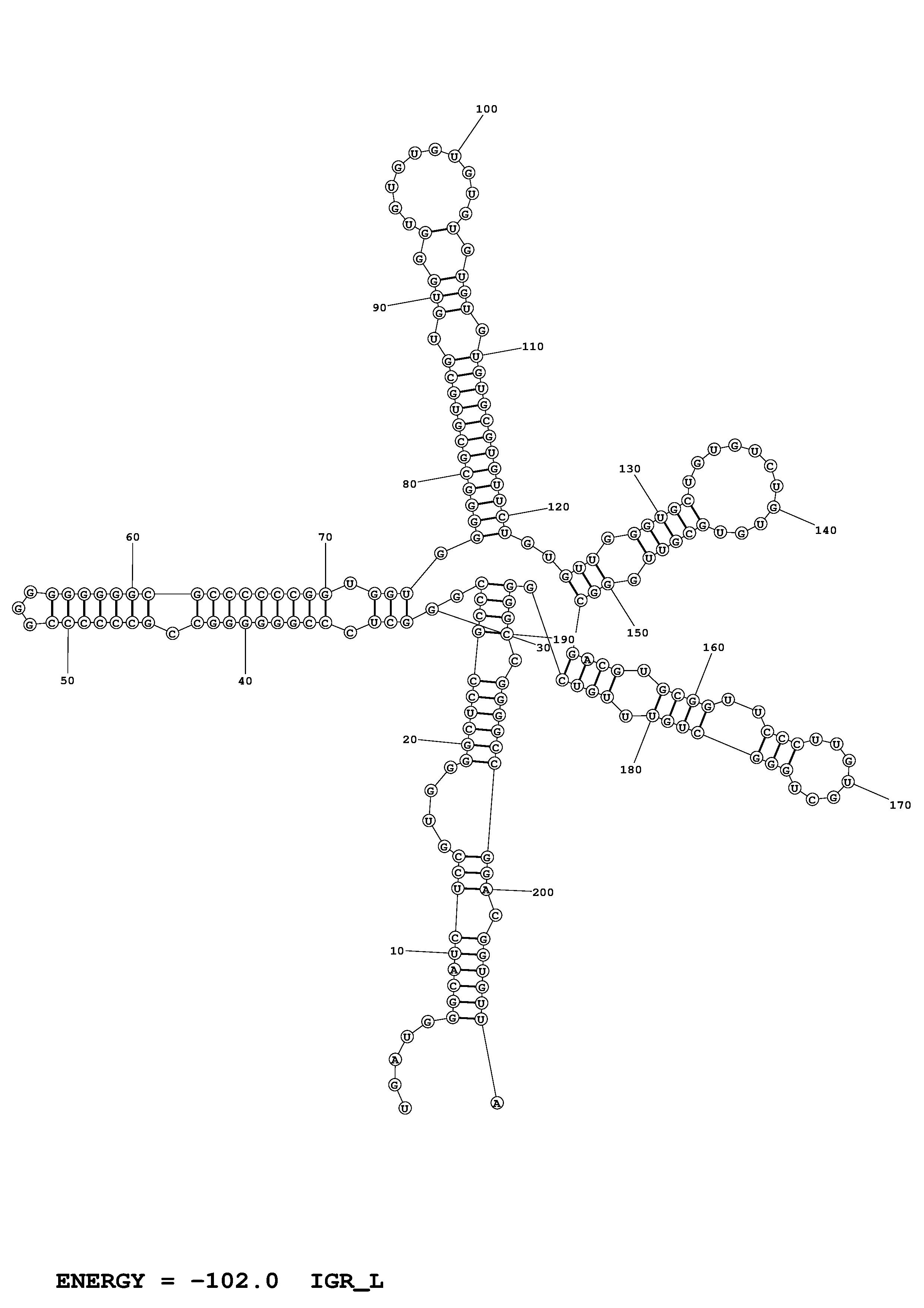
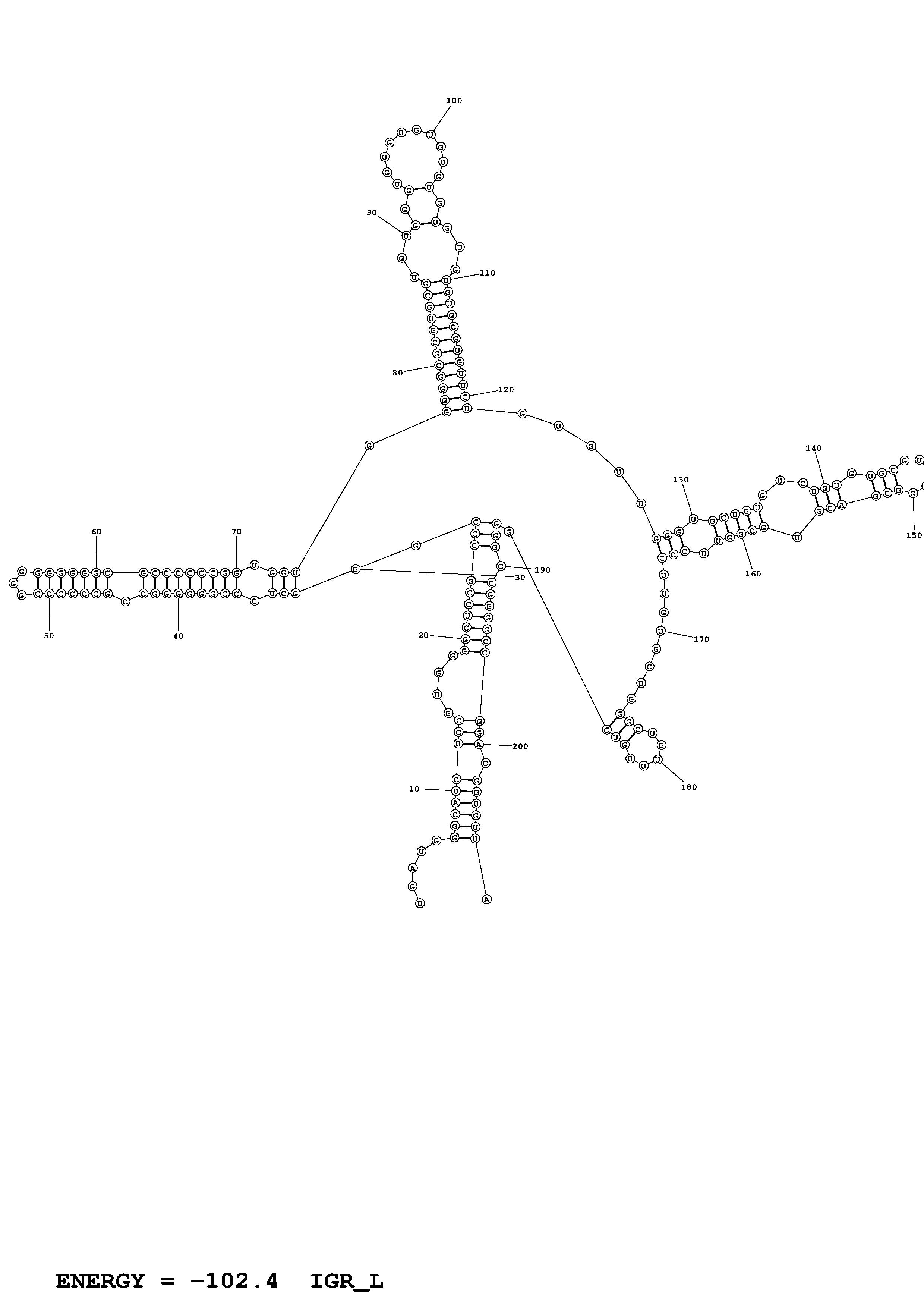
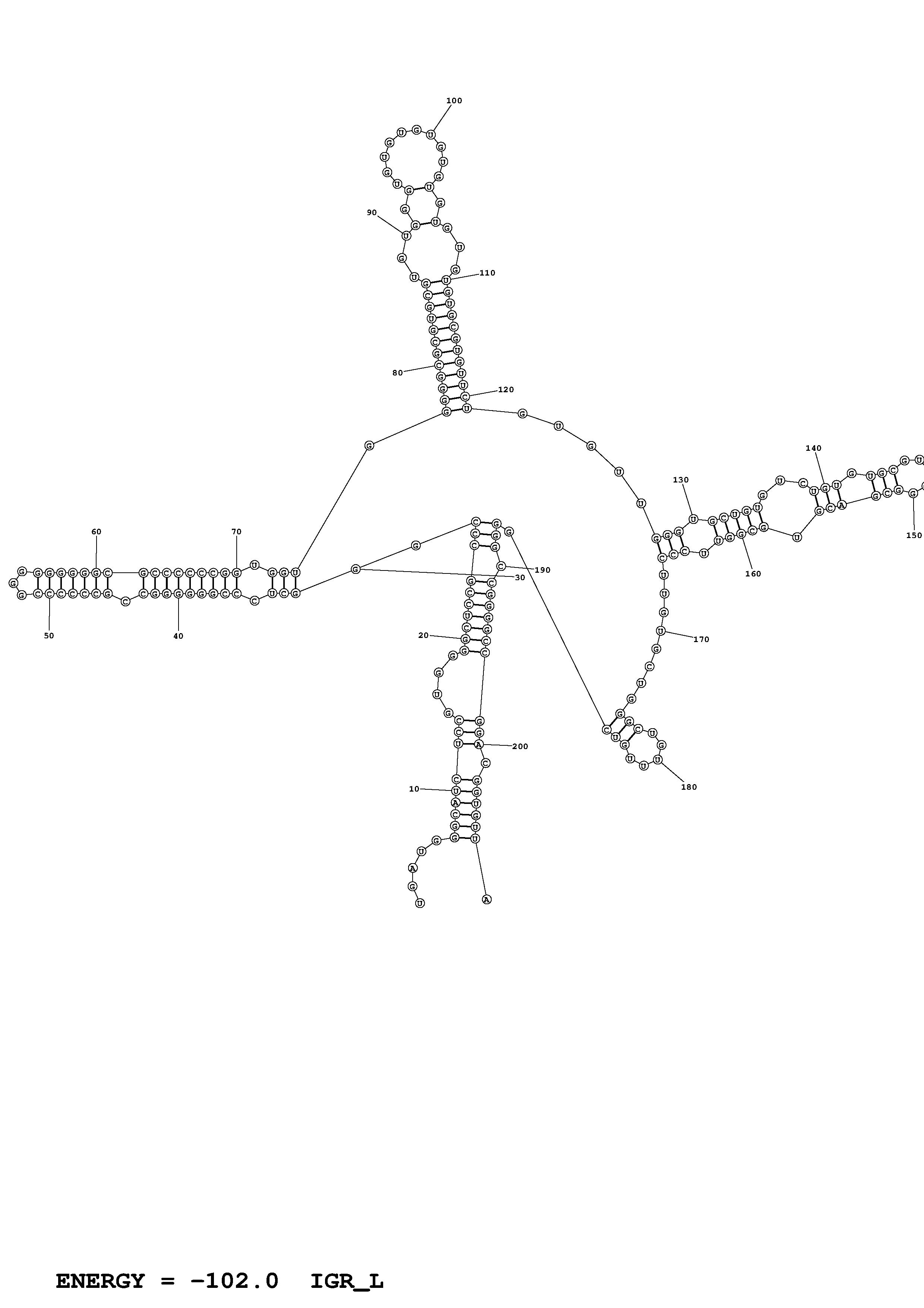
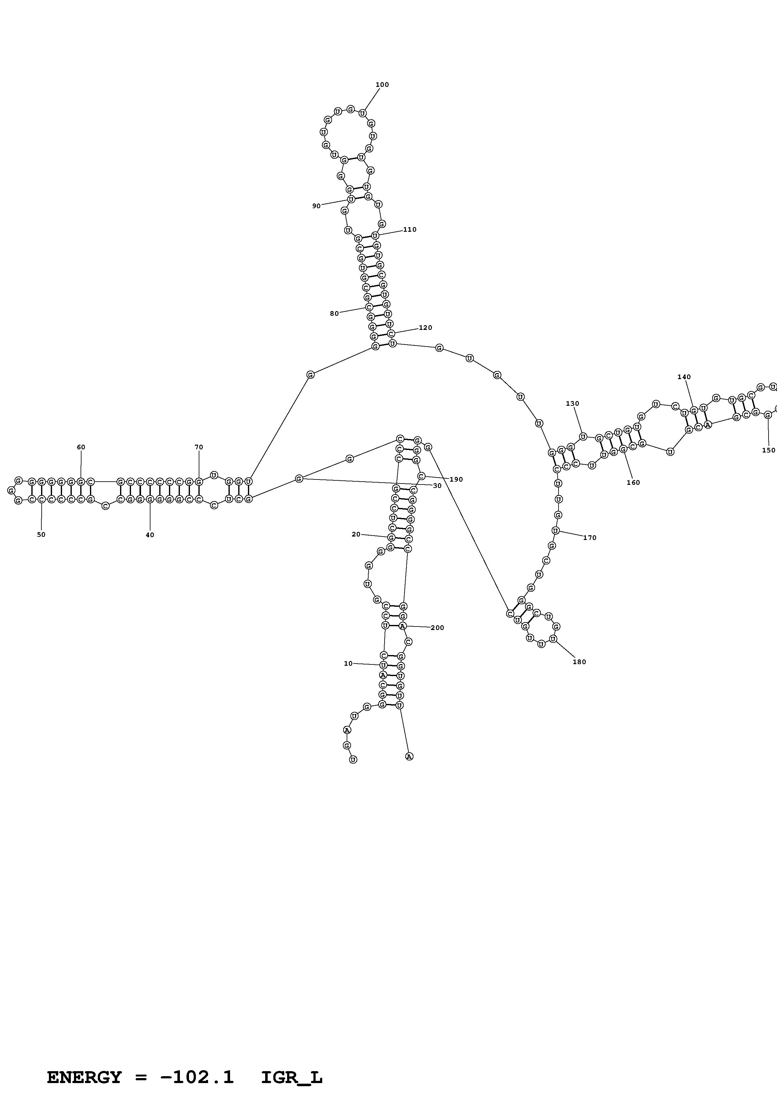
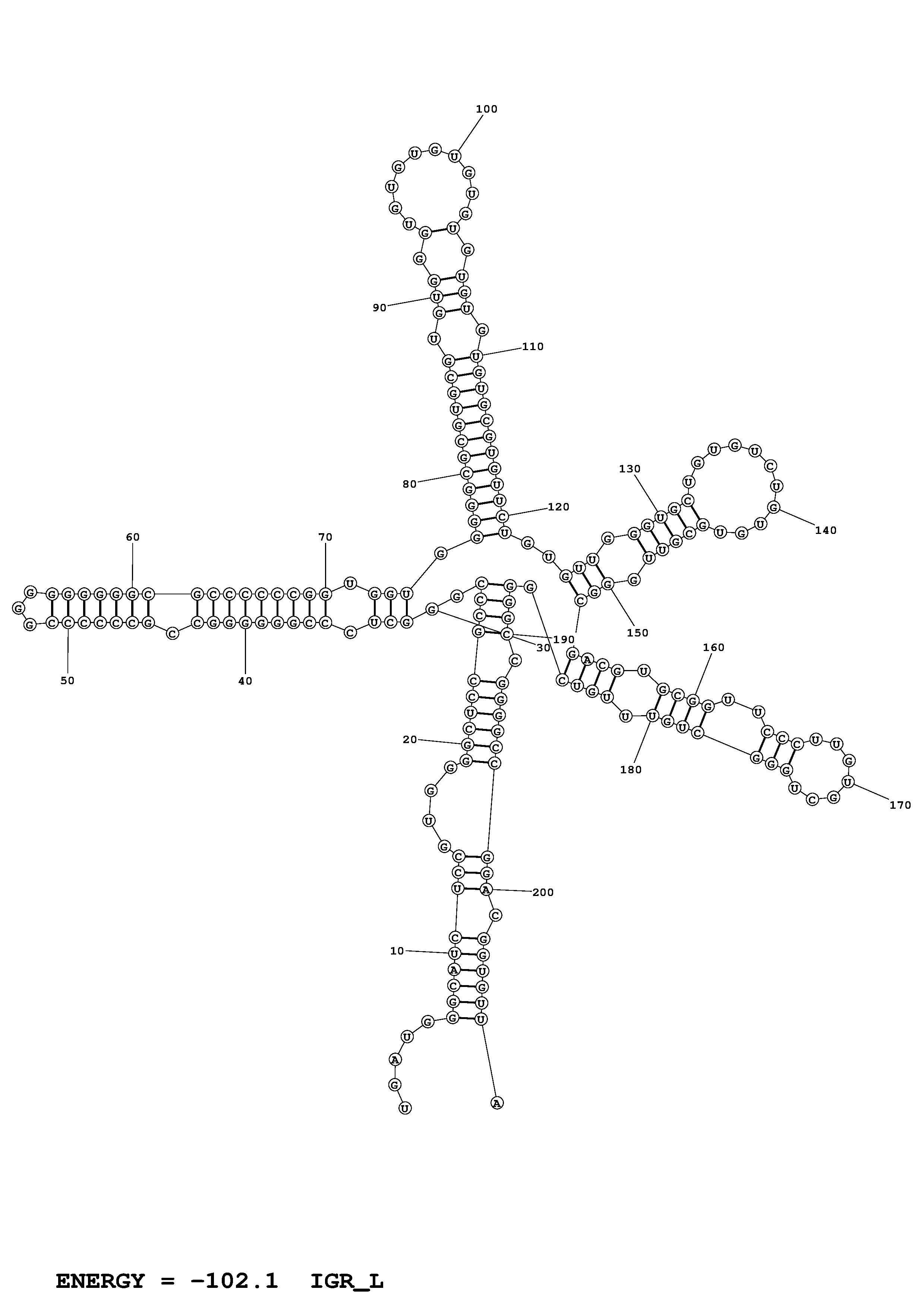
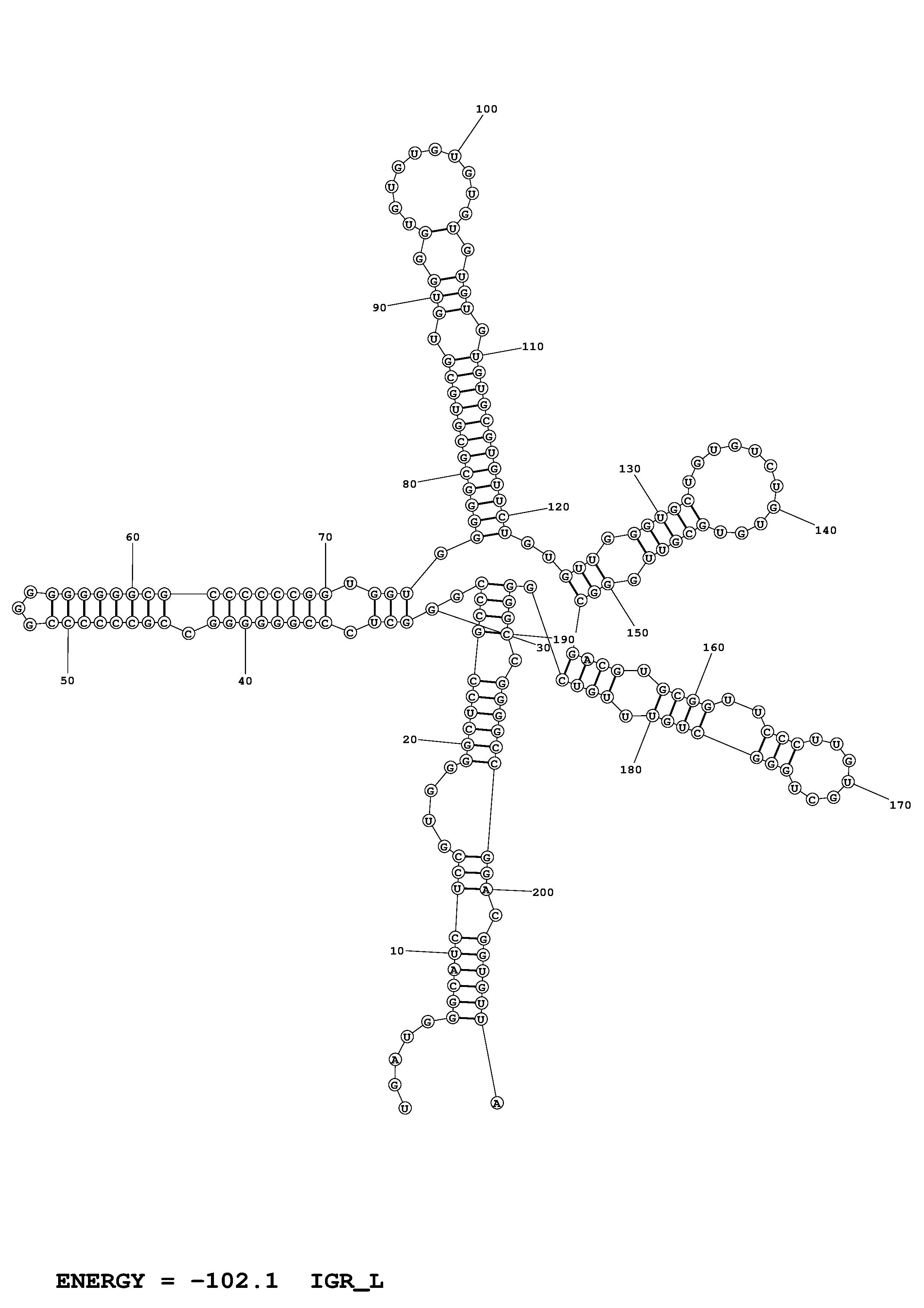
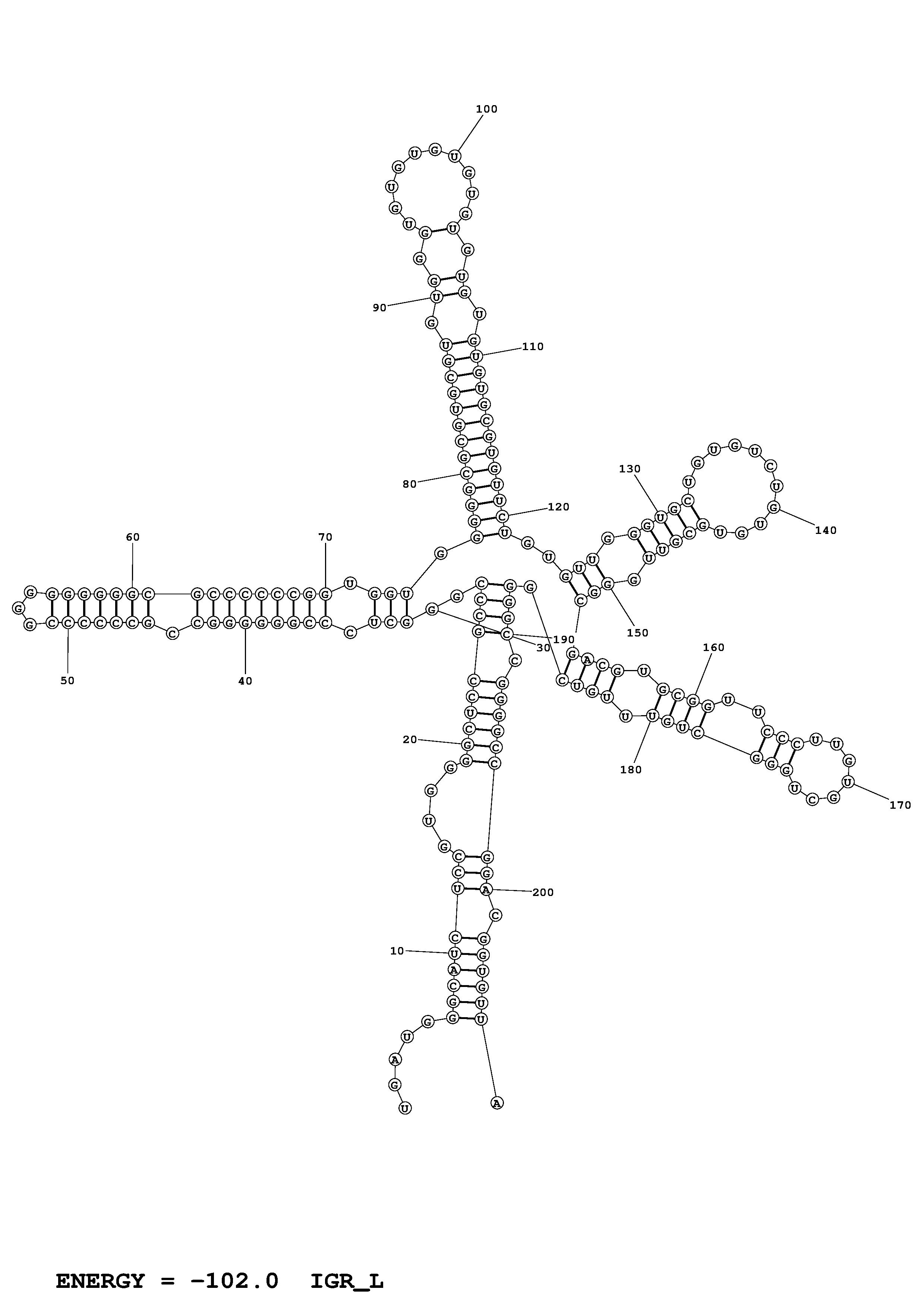
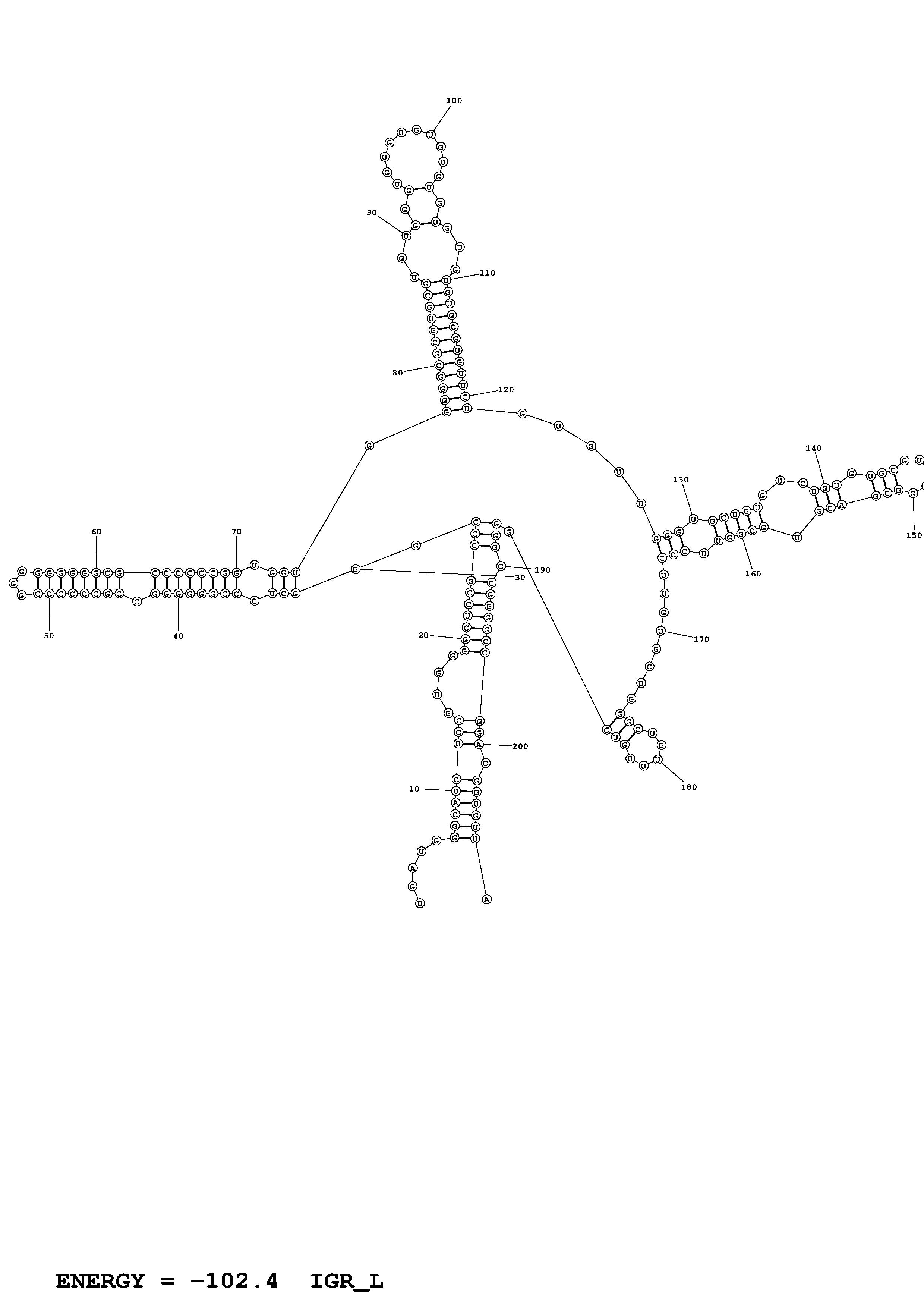
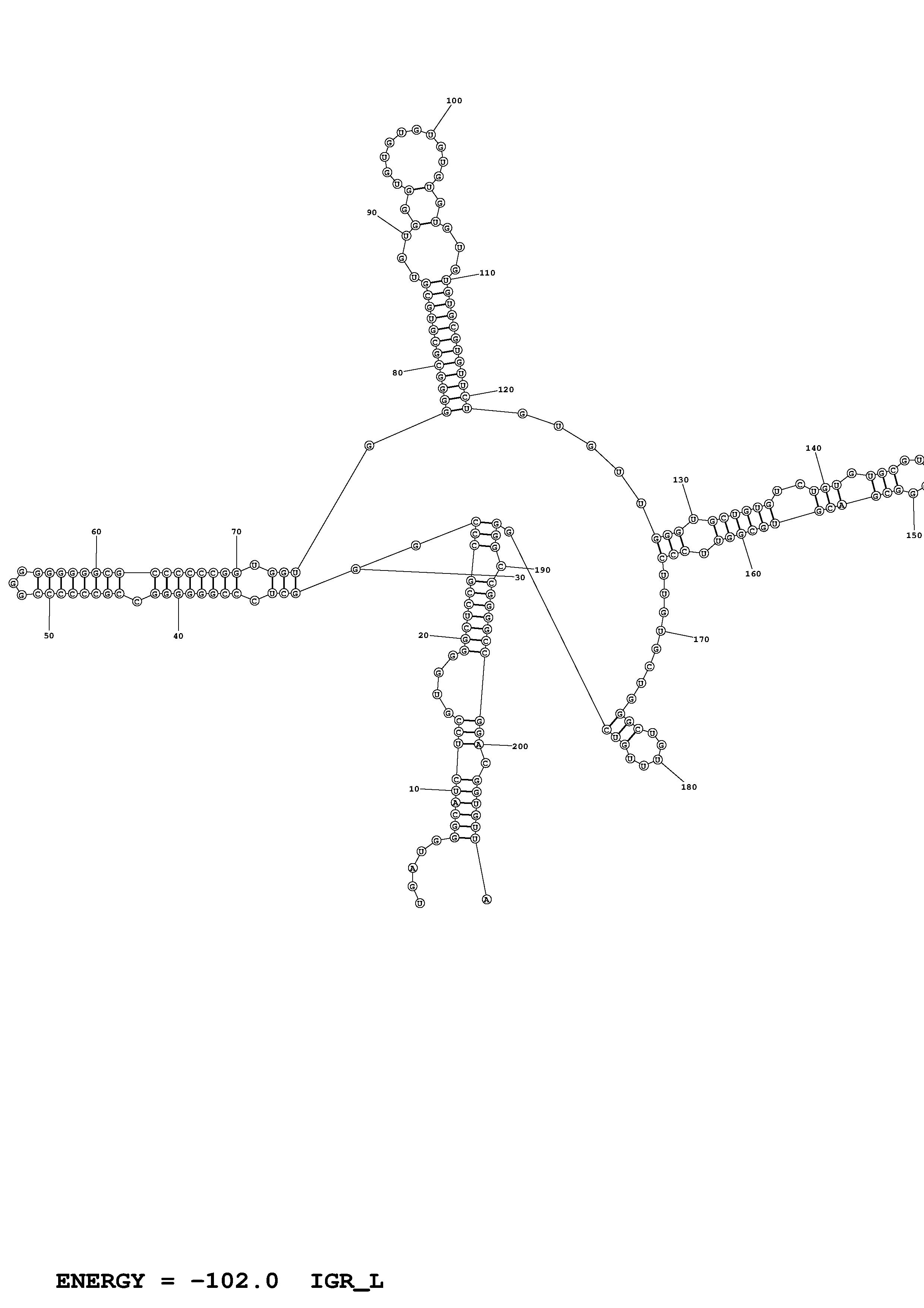
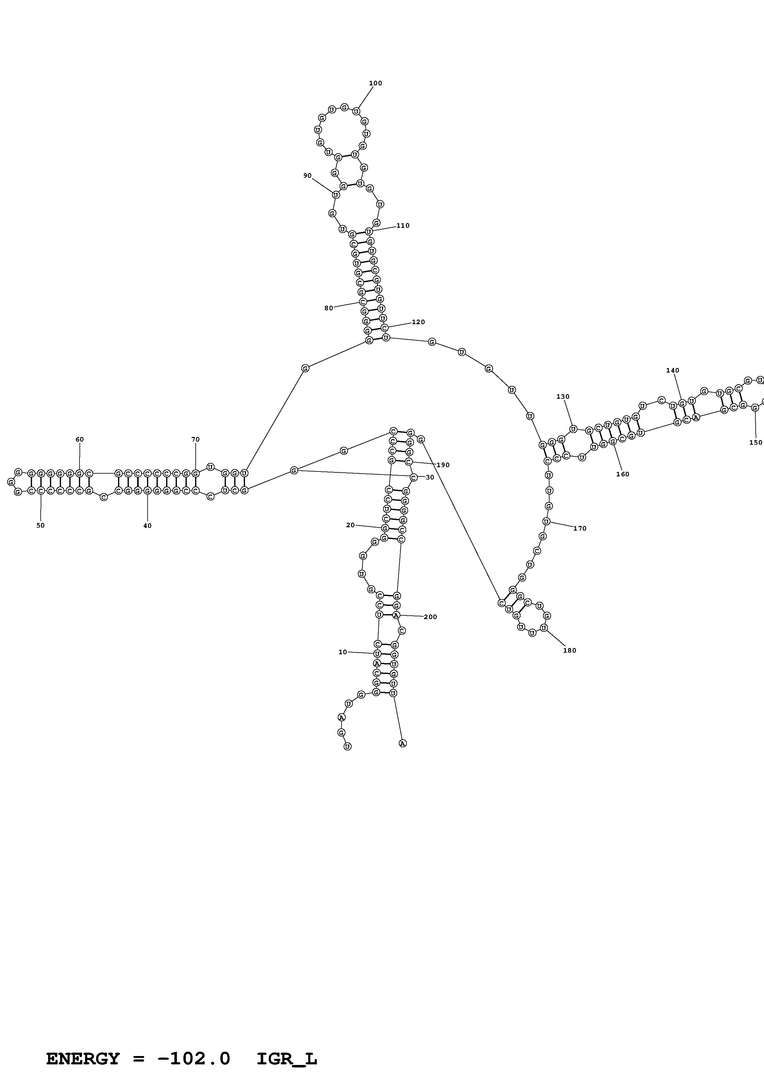
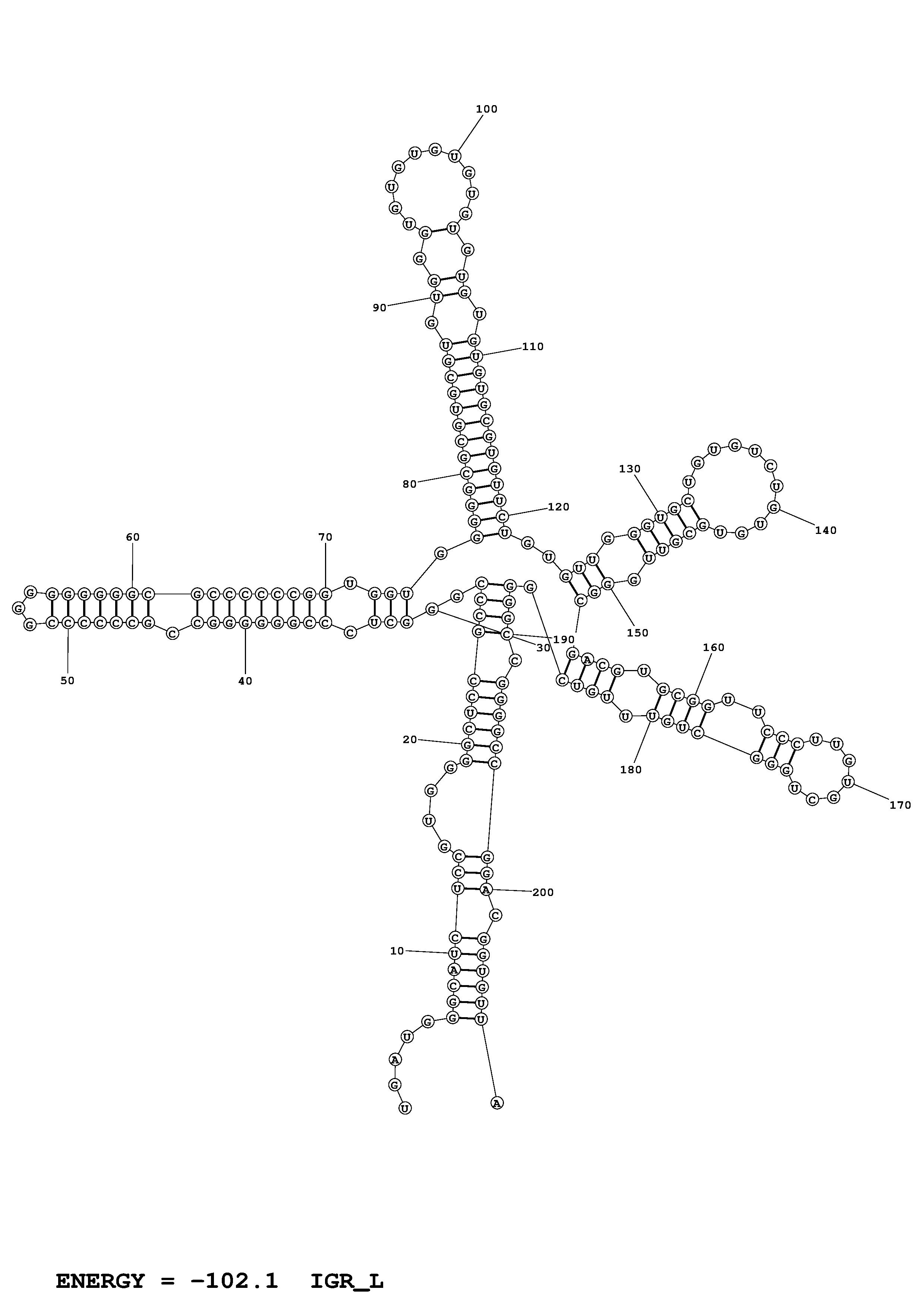
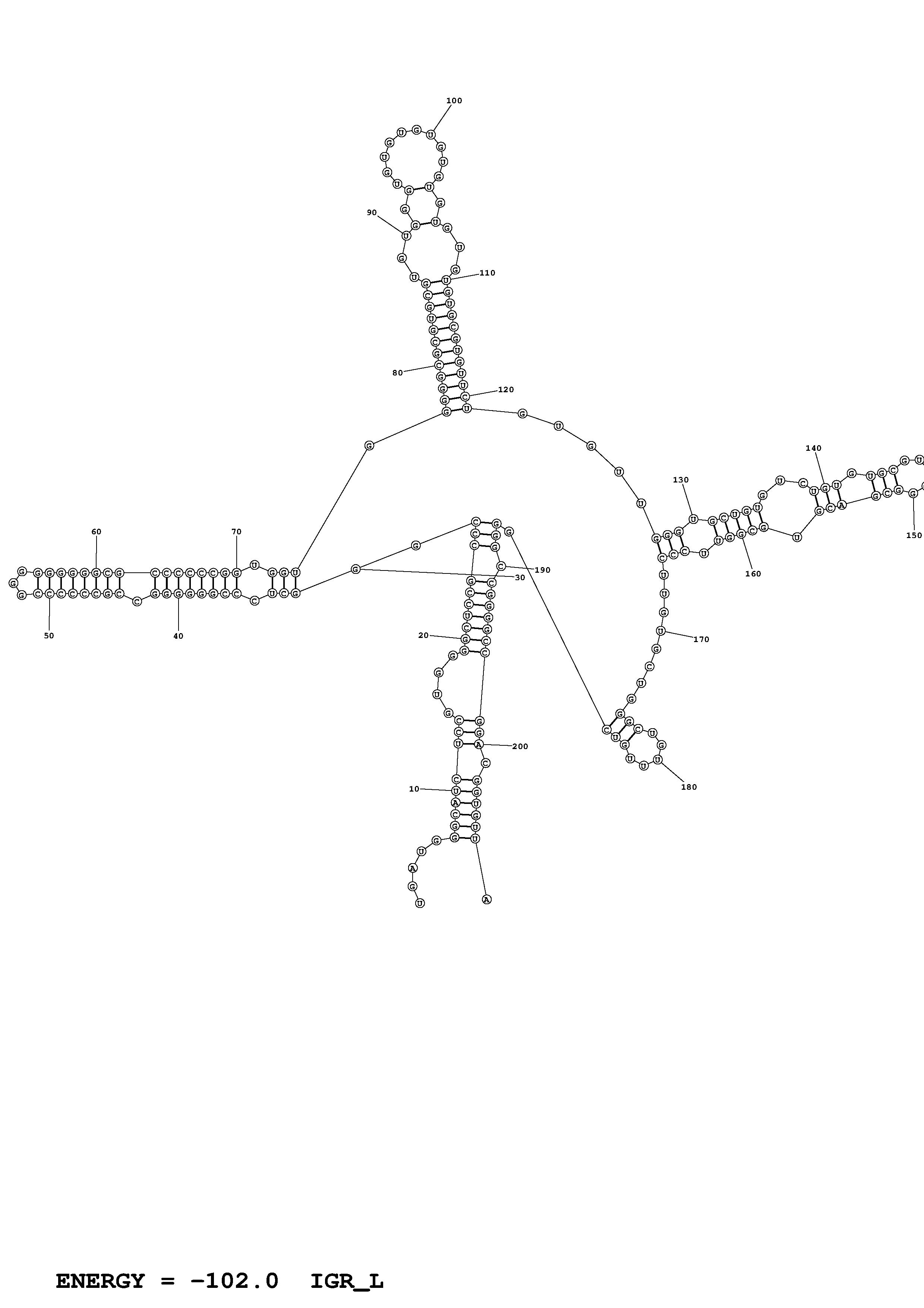
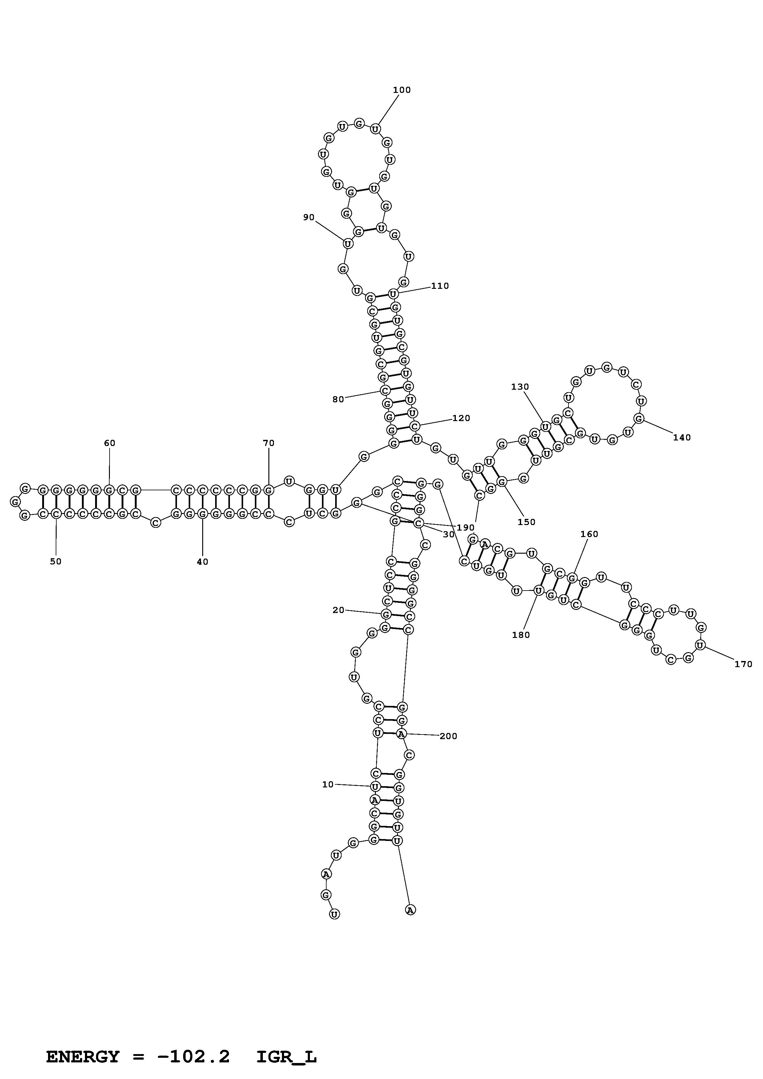
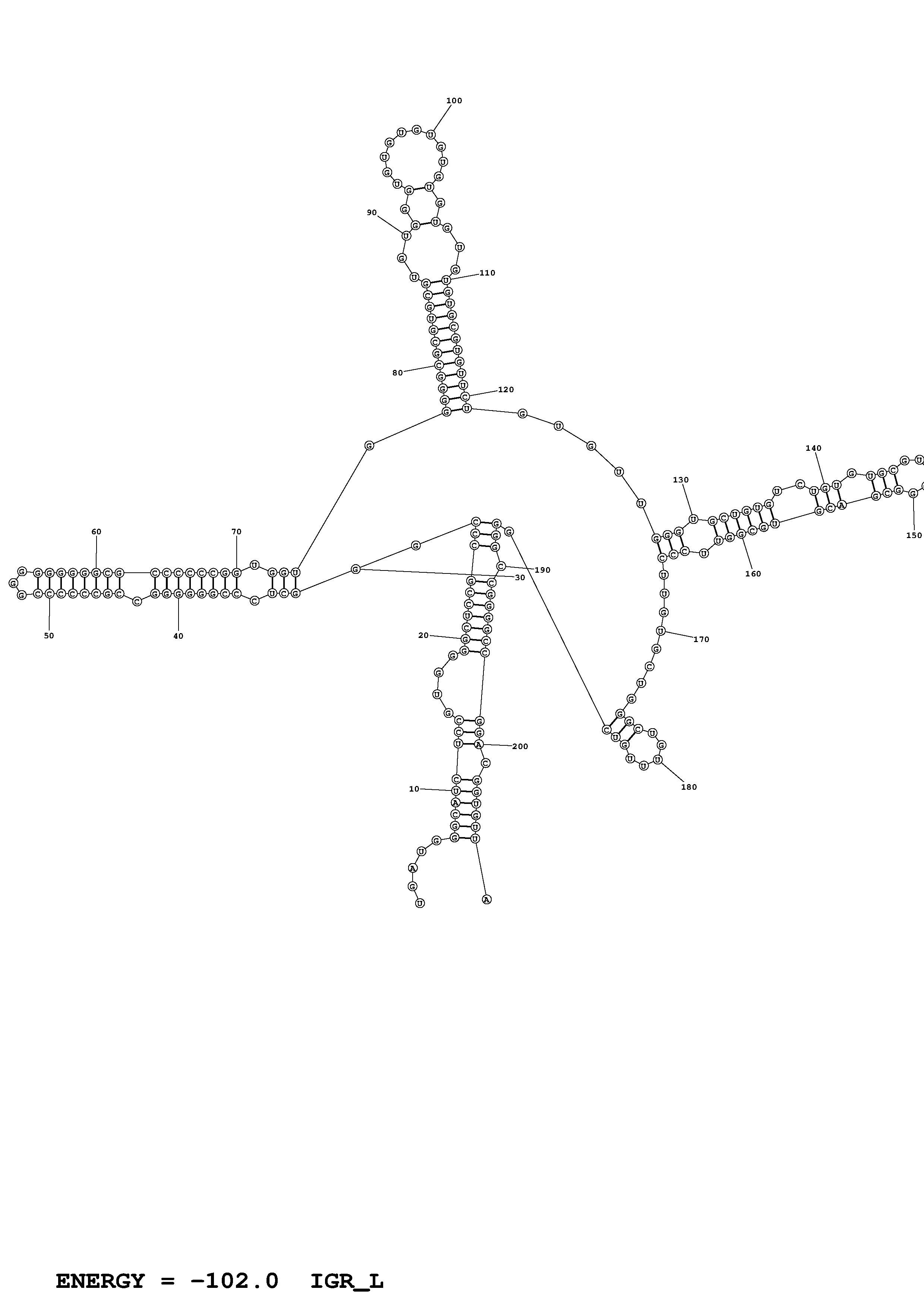
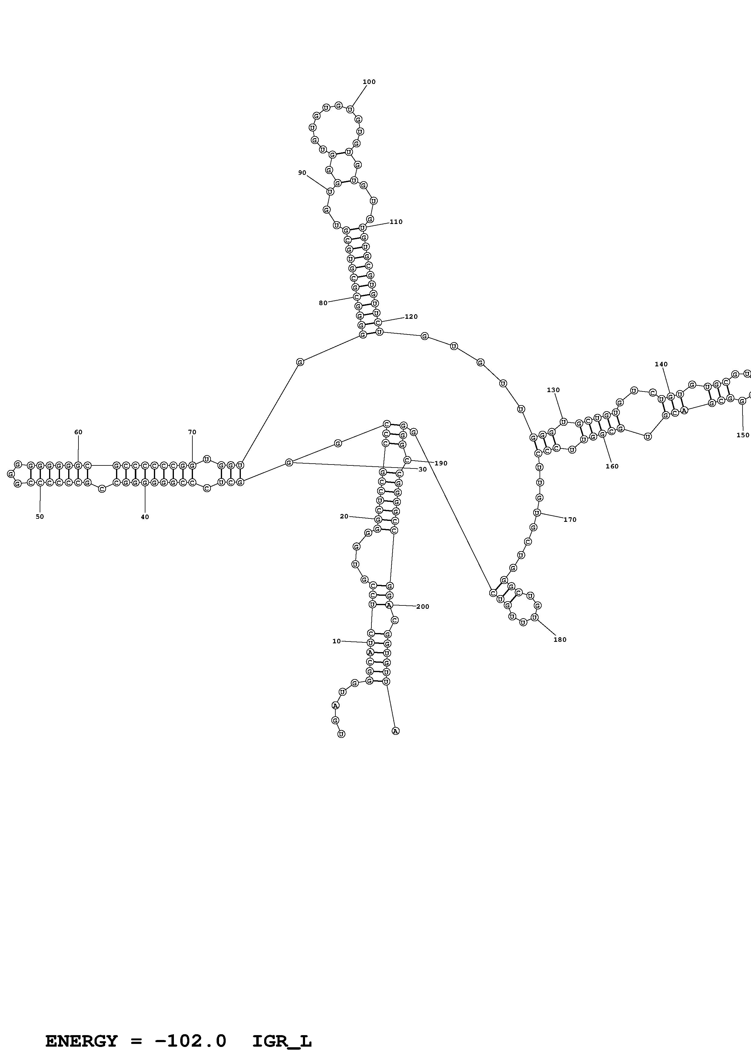
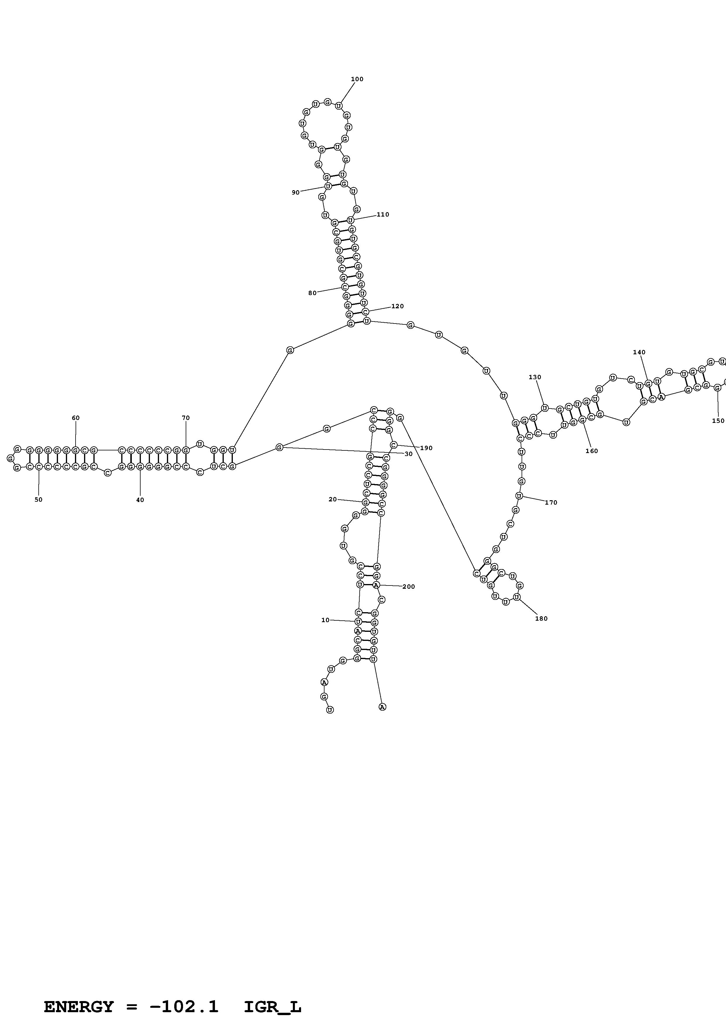
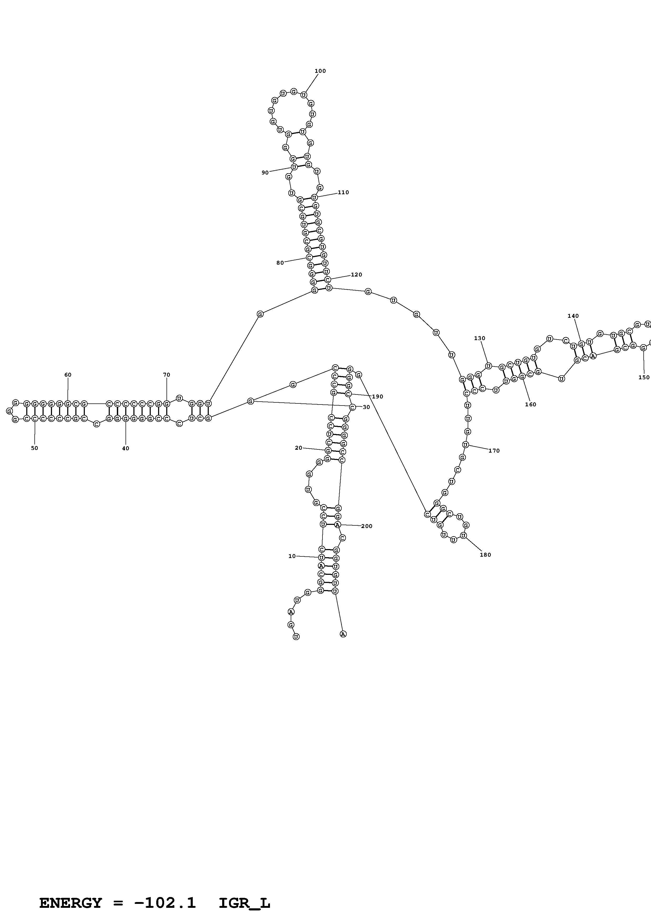
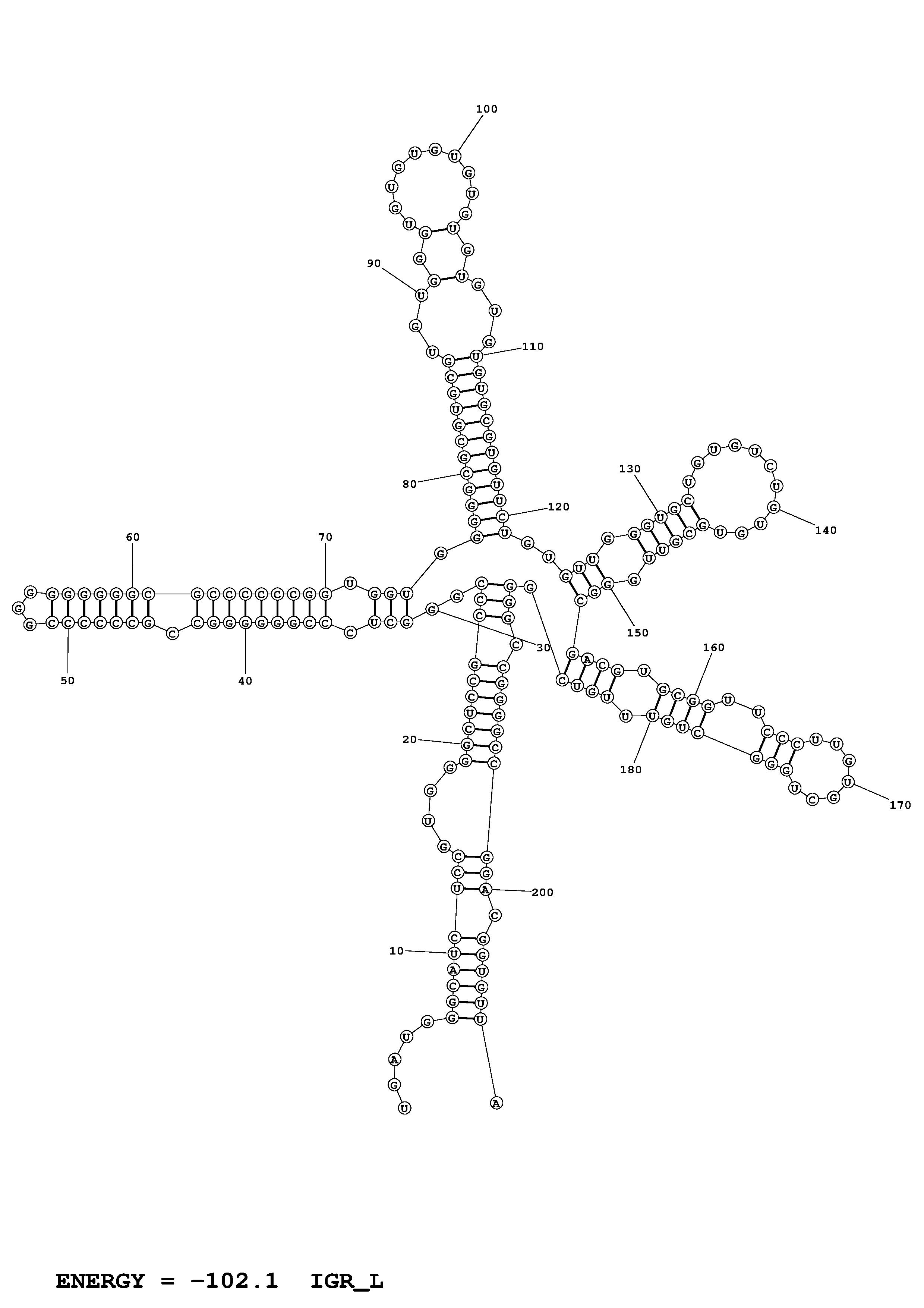
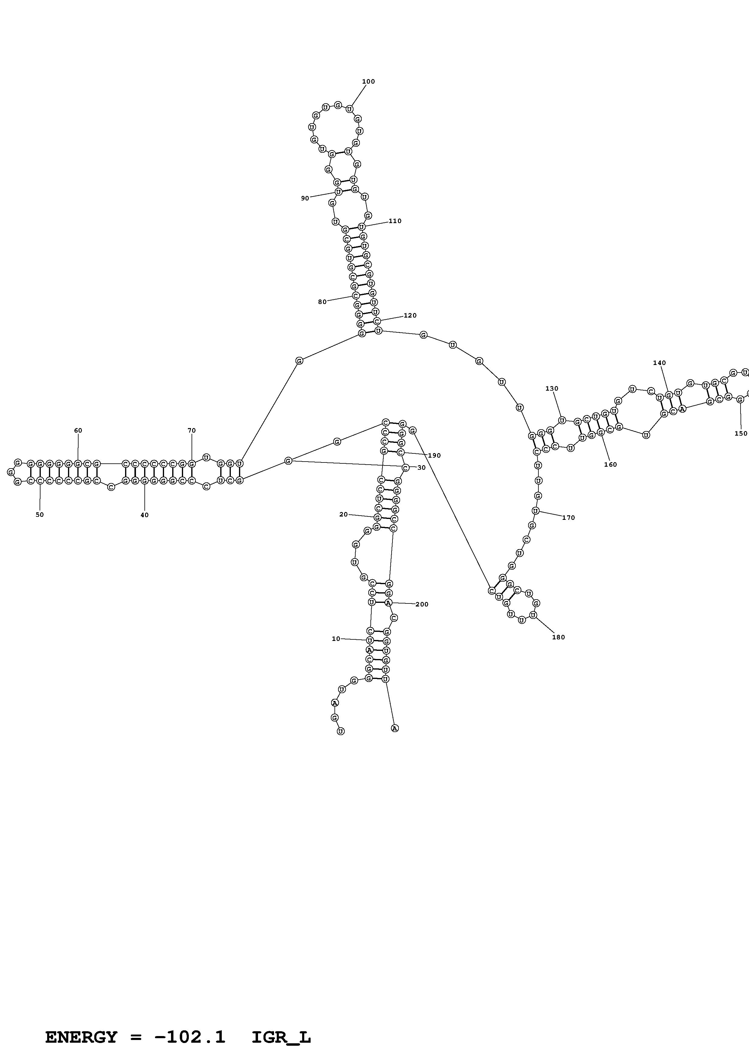
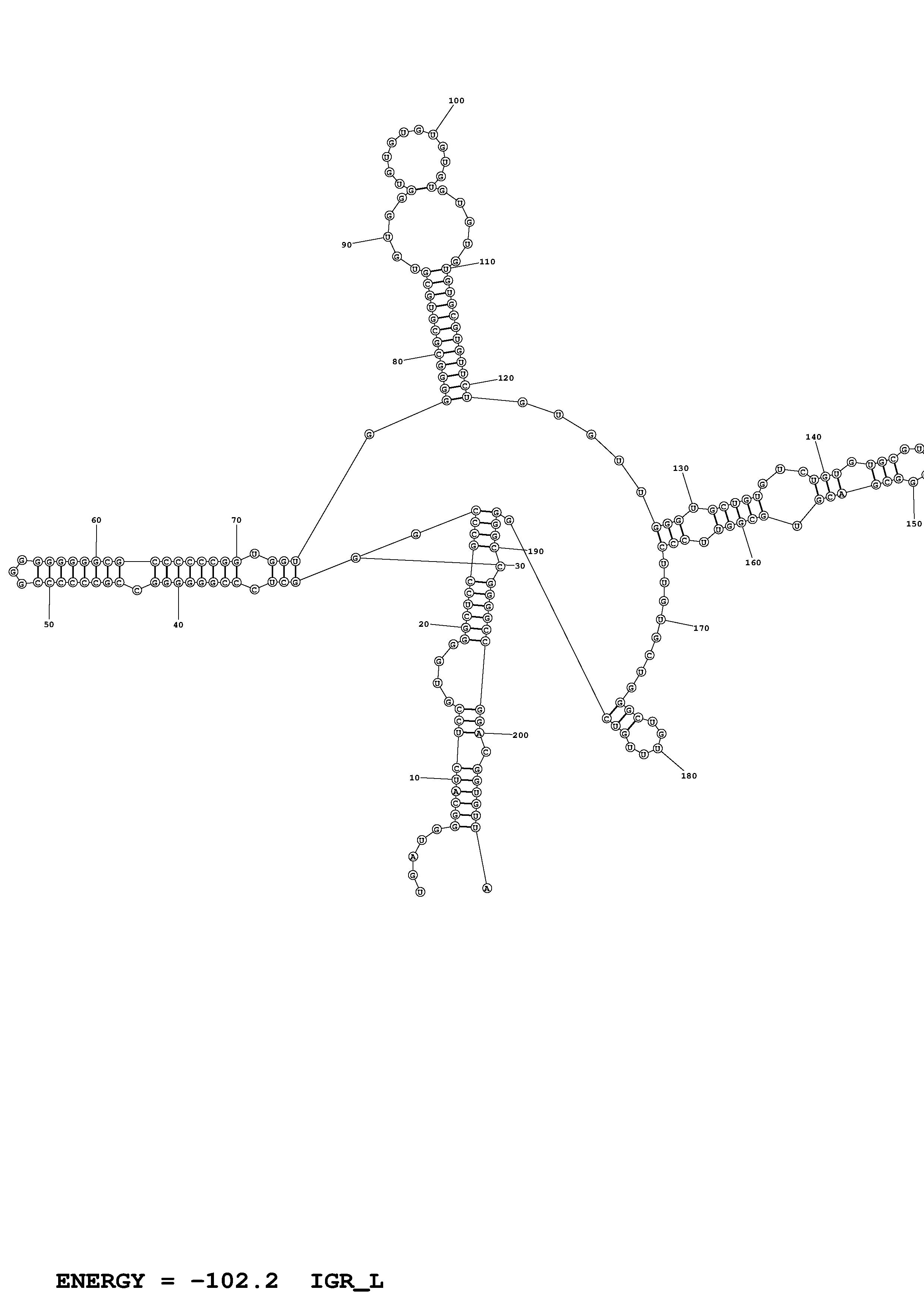
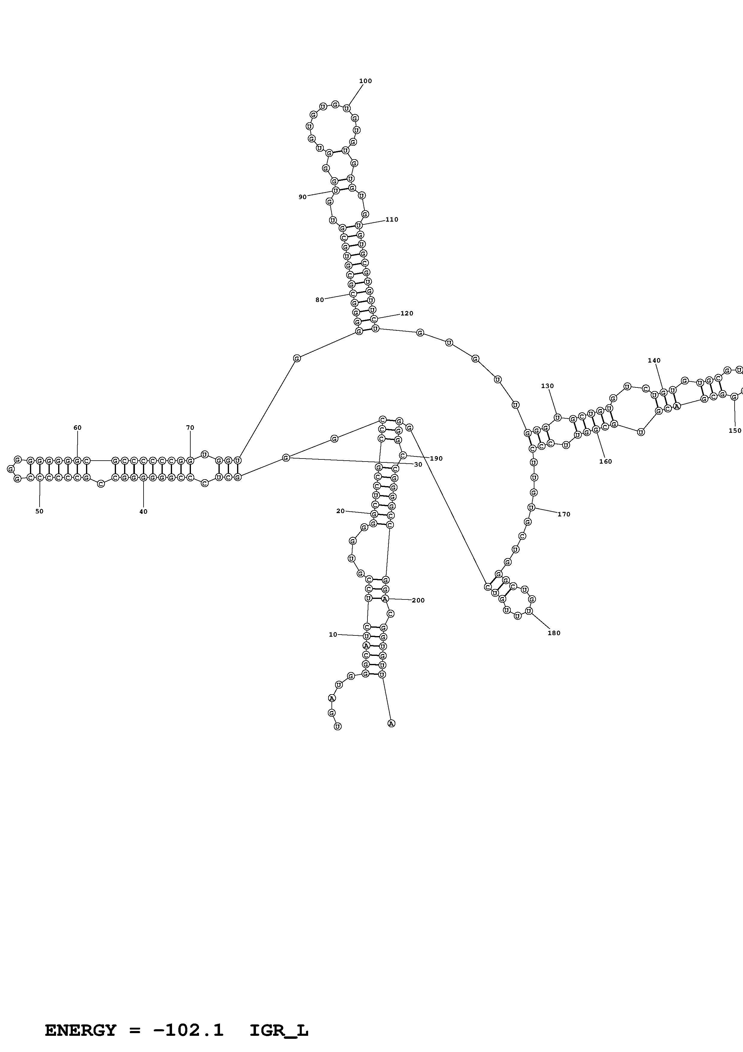
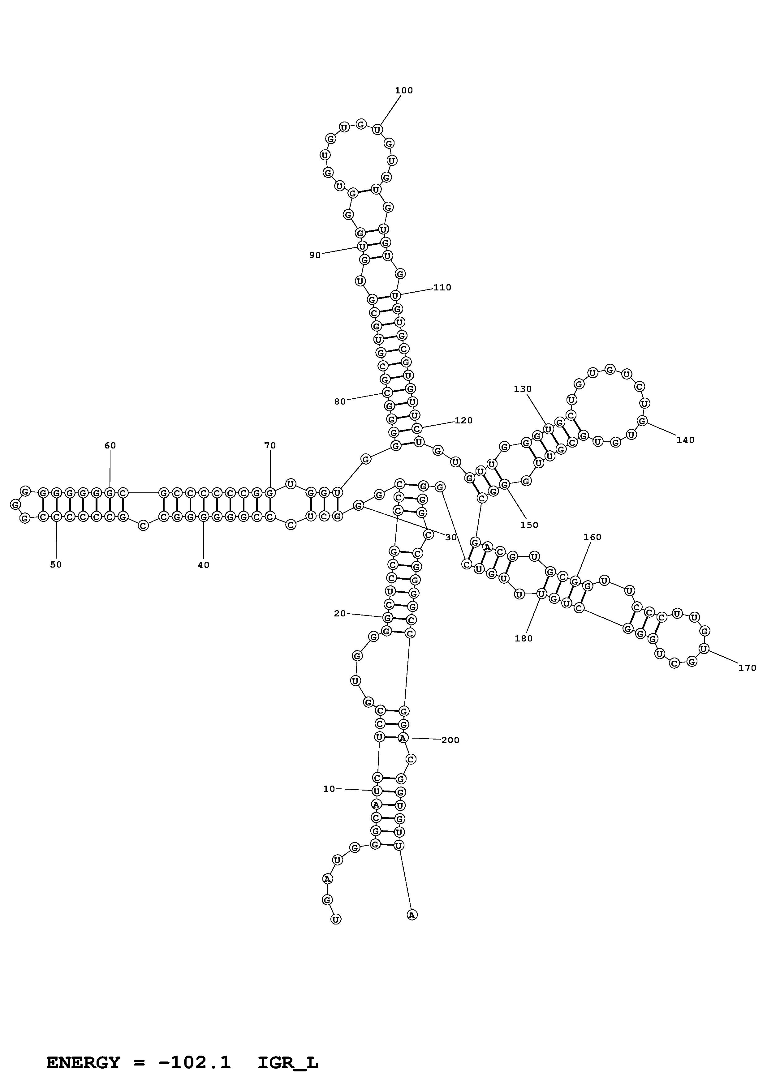
      Structure 2: PDF SVG PS JPEG PNG CT
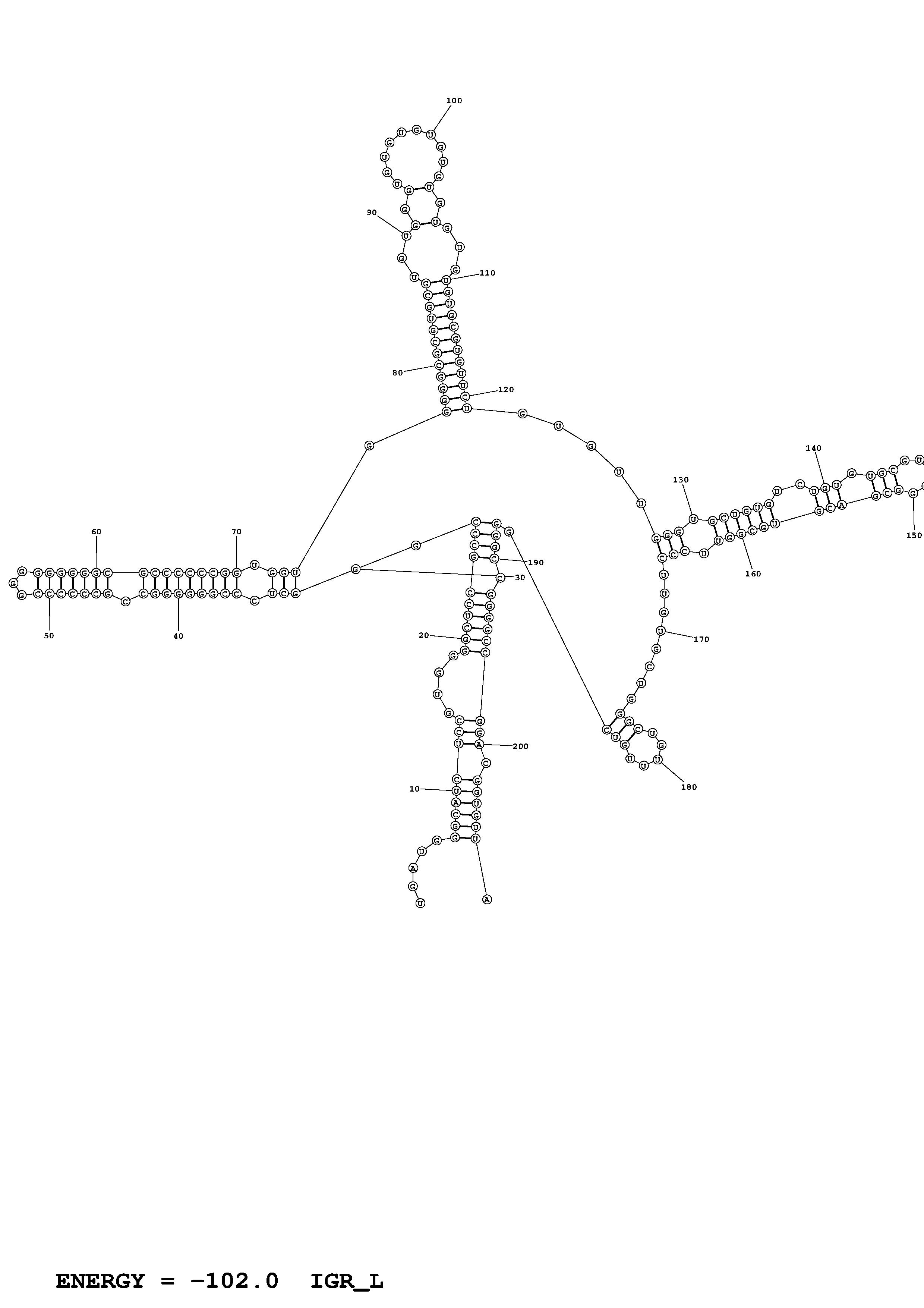
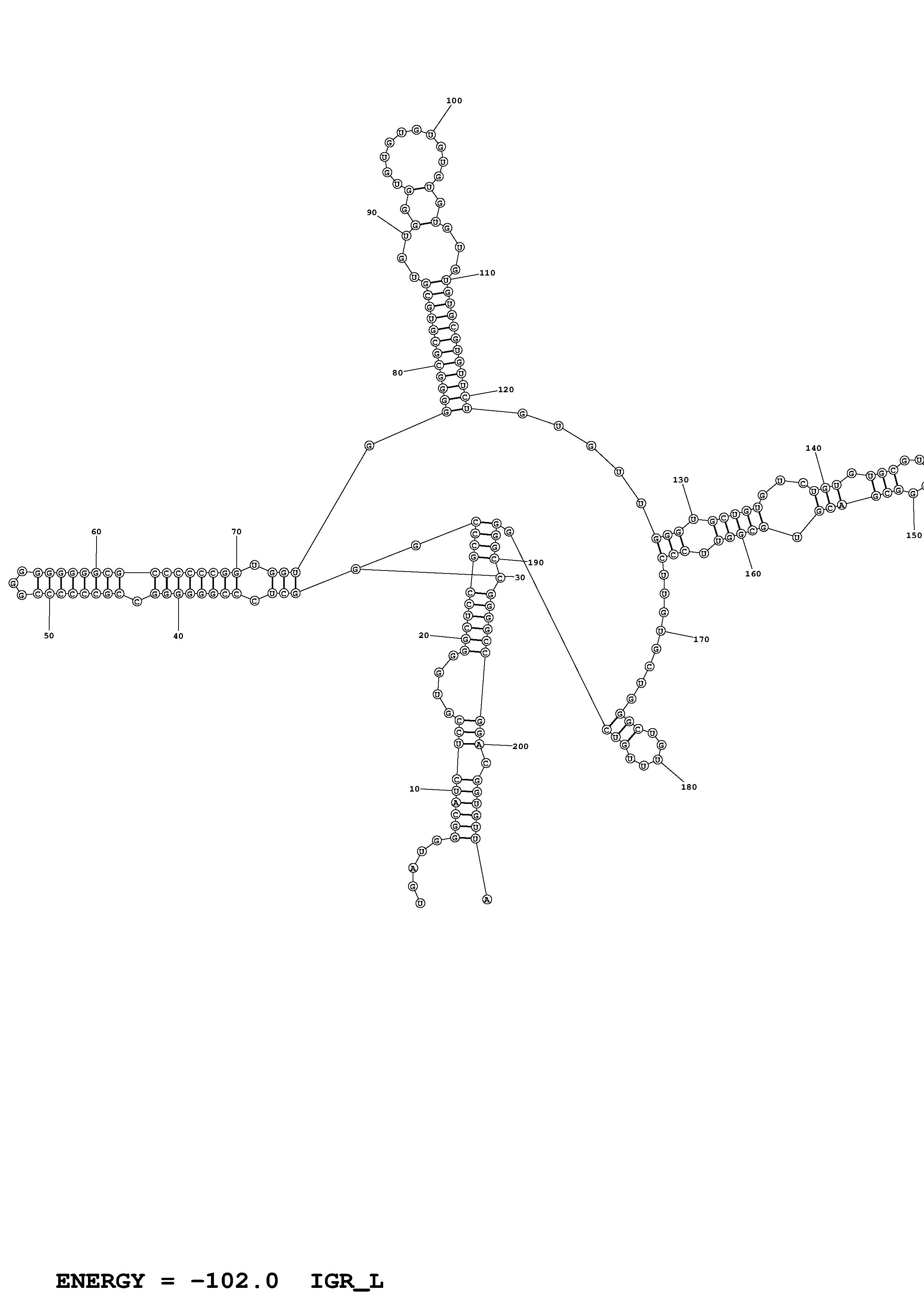
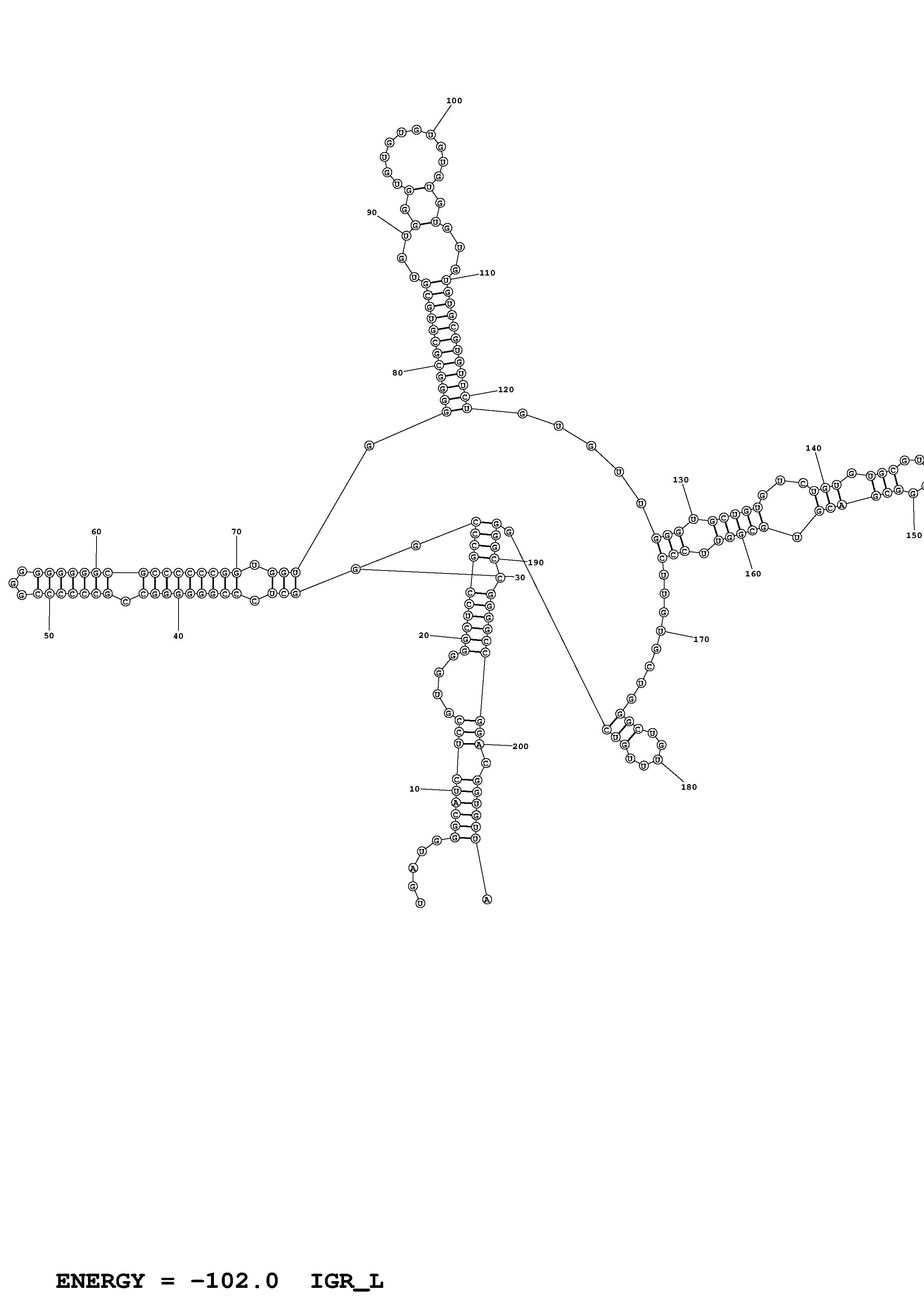
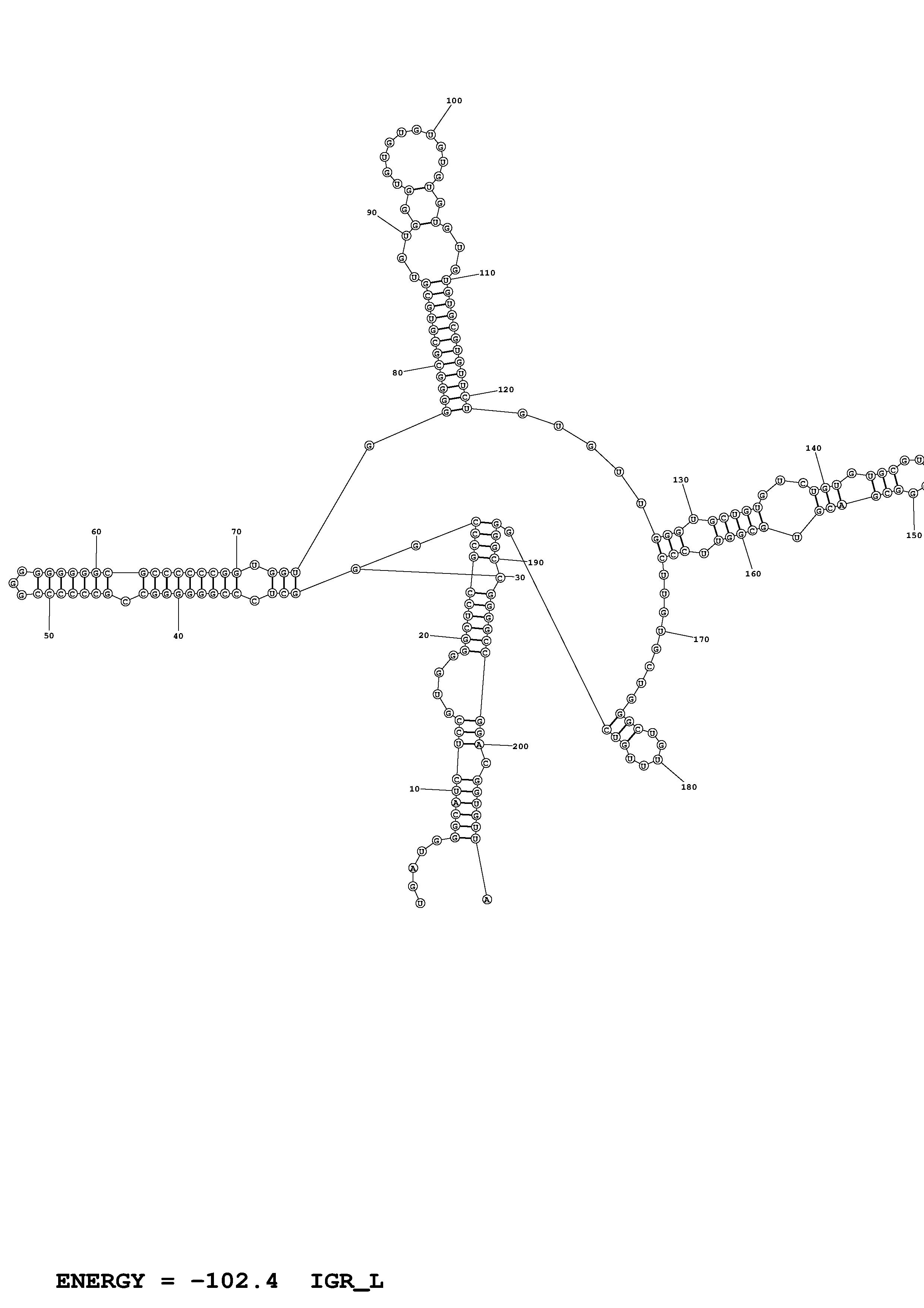
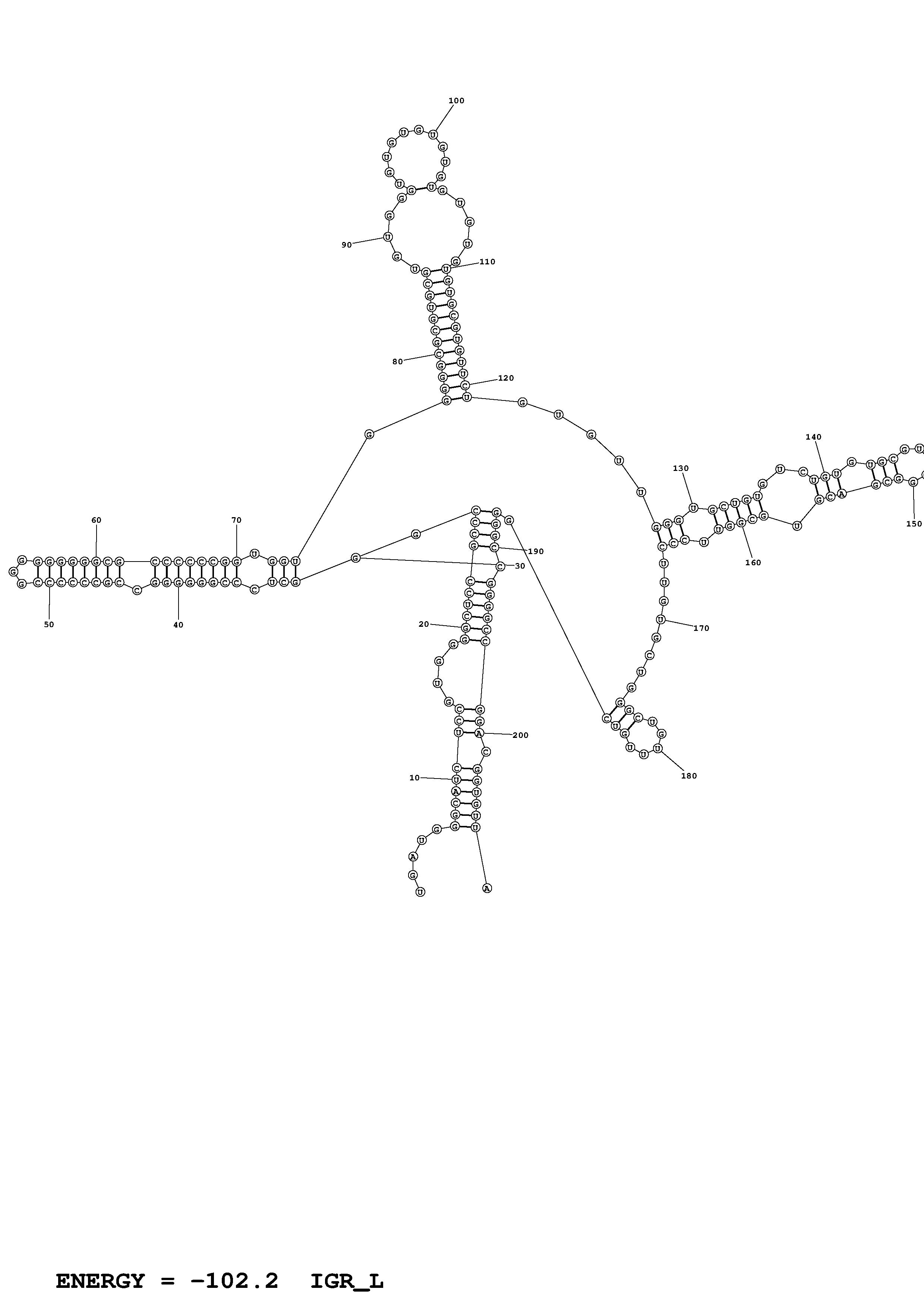
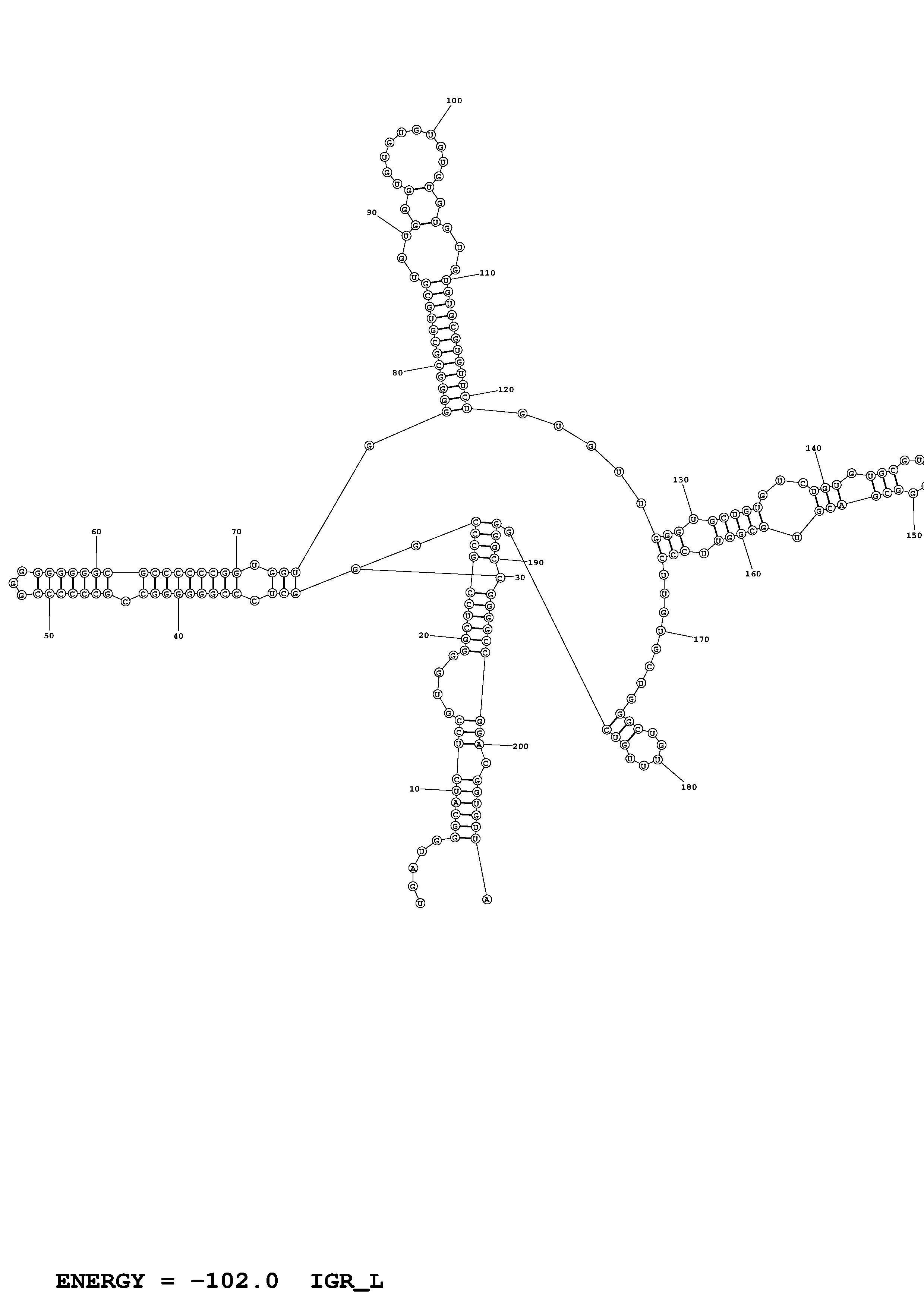
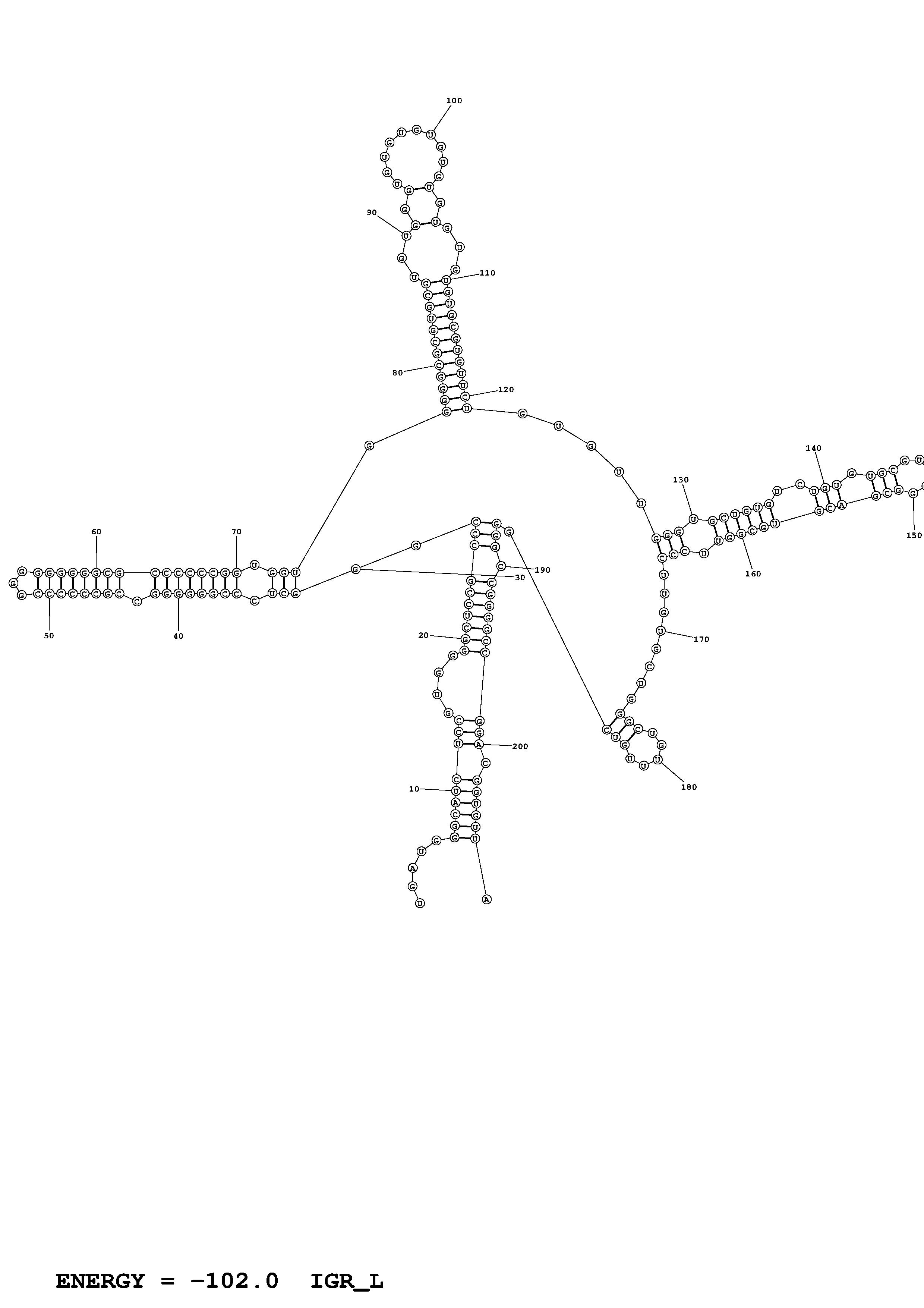
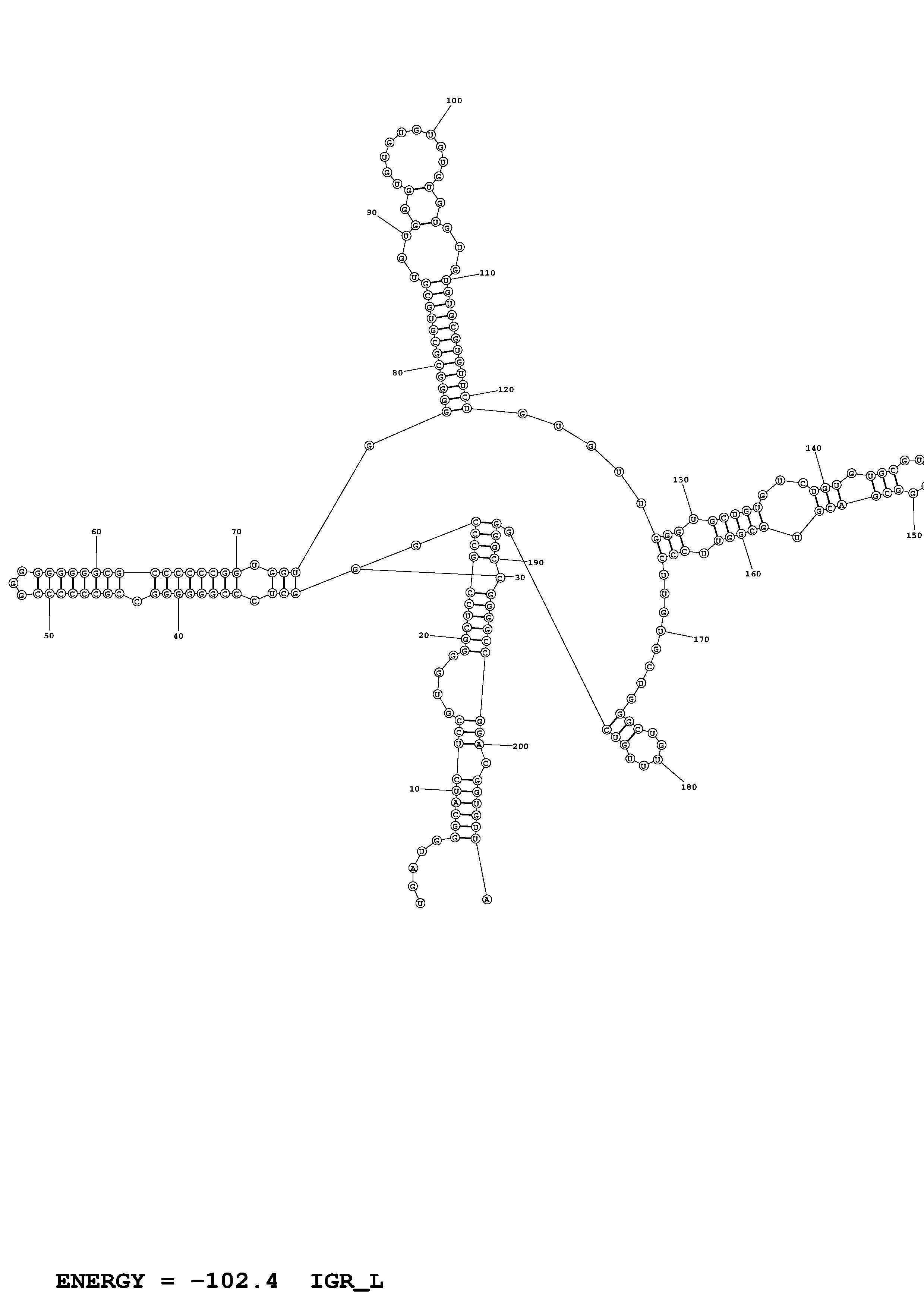
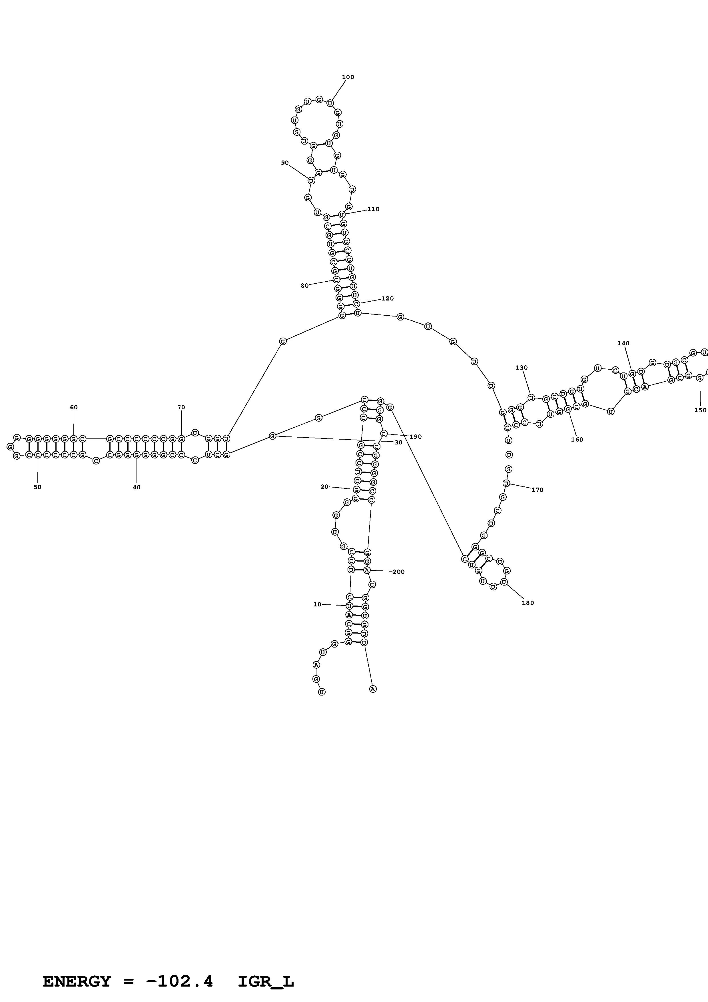
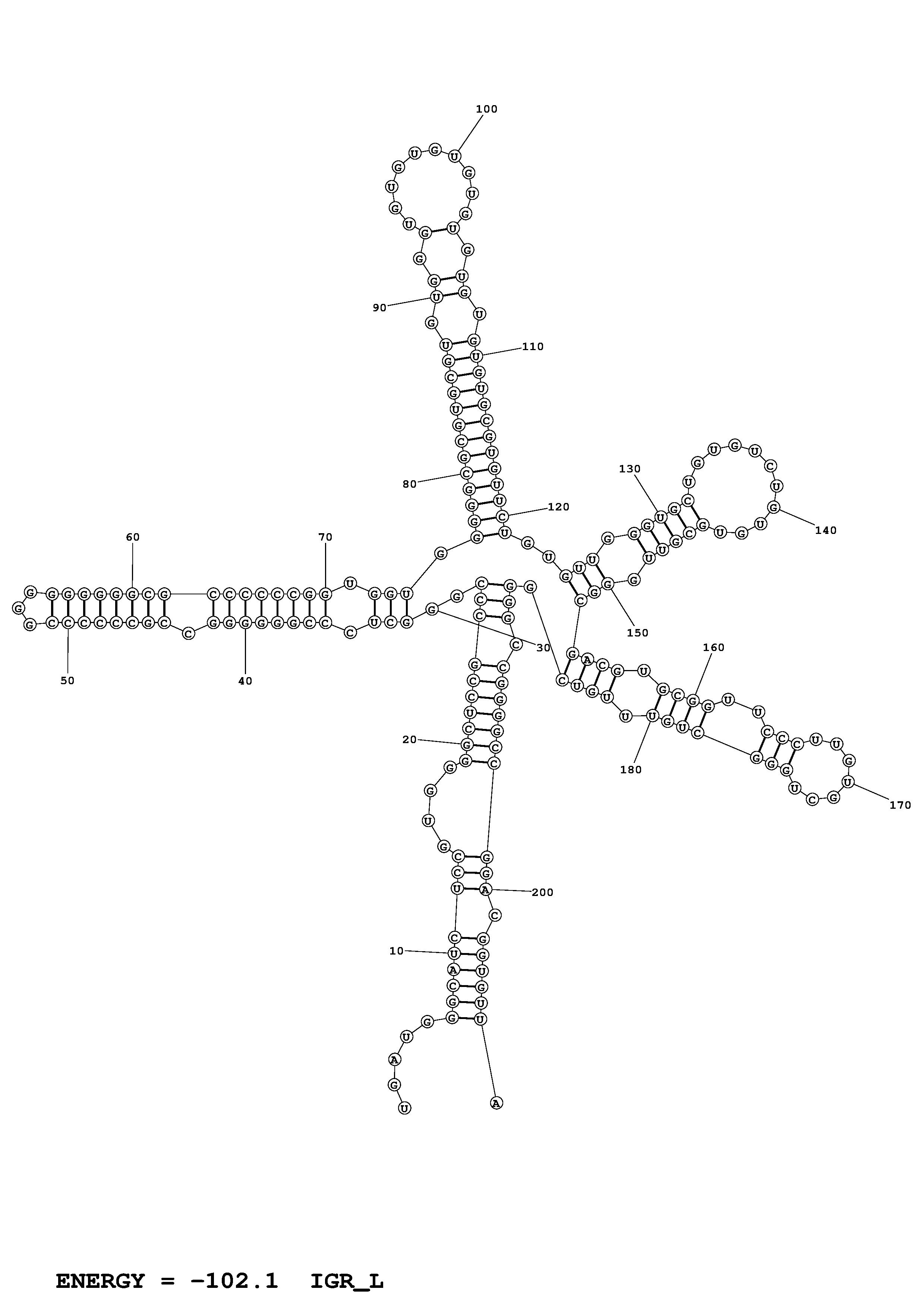
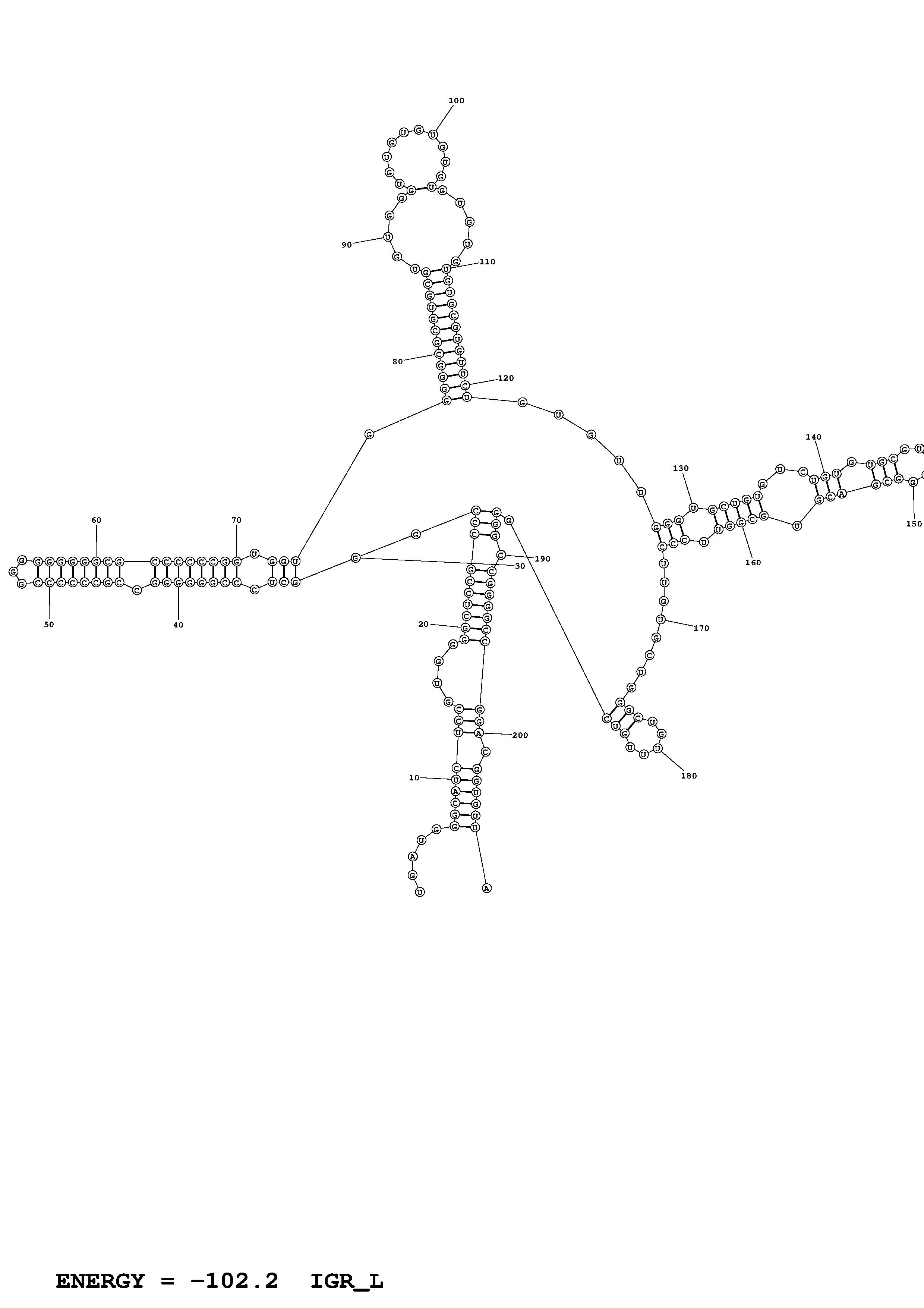
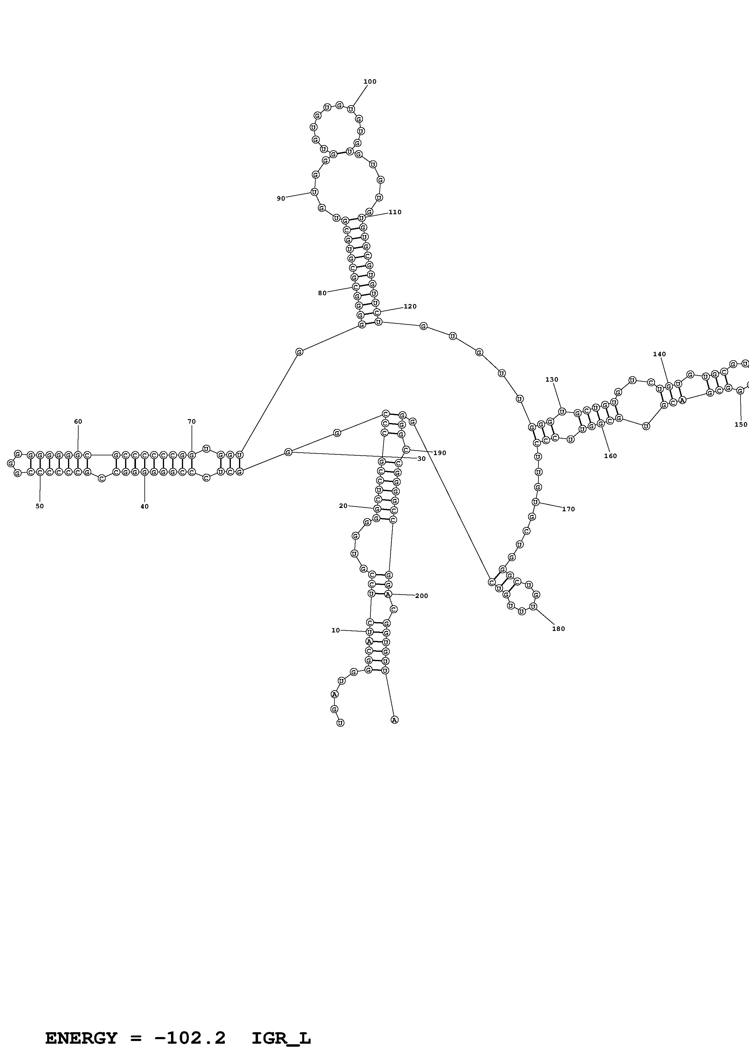
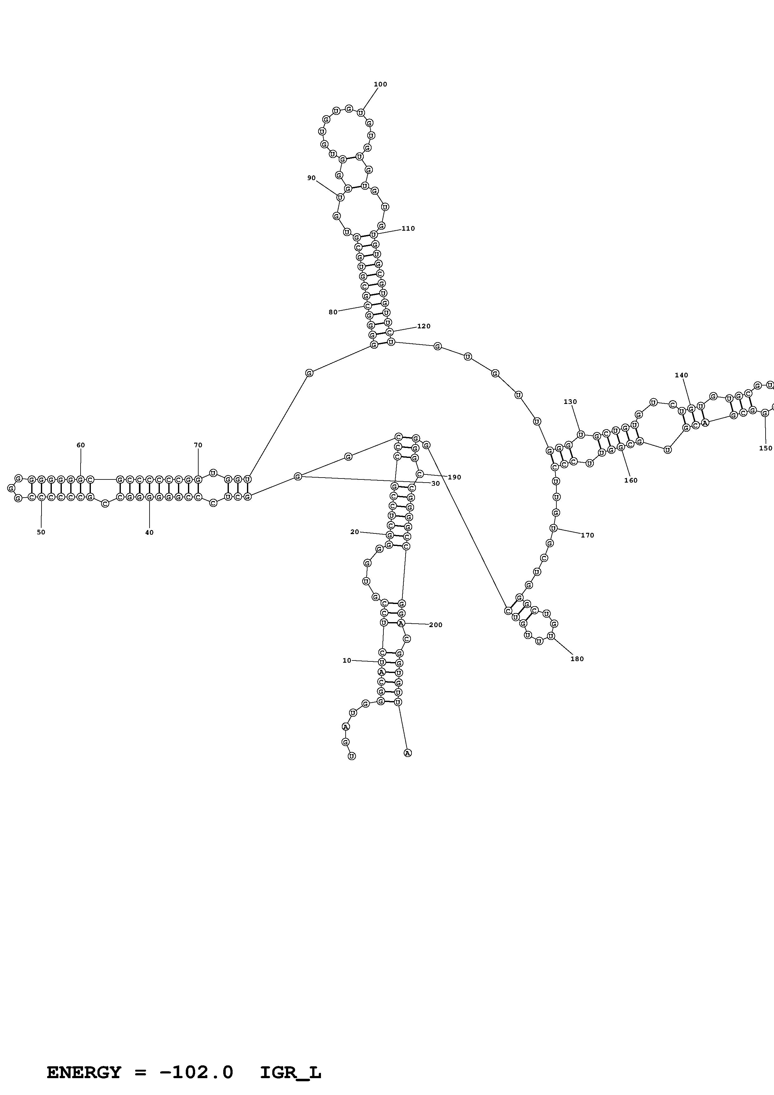
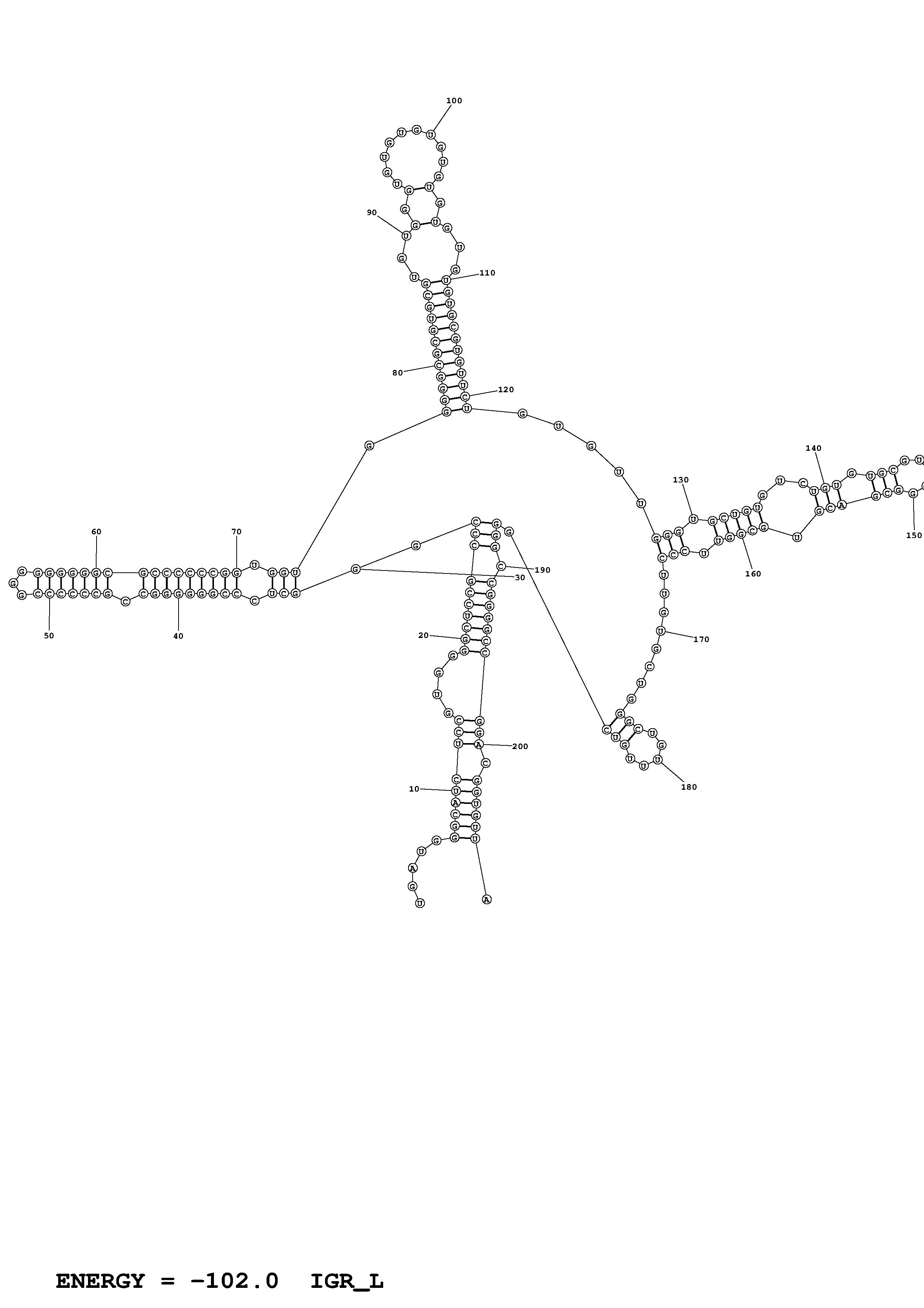
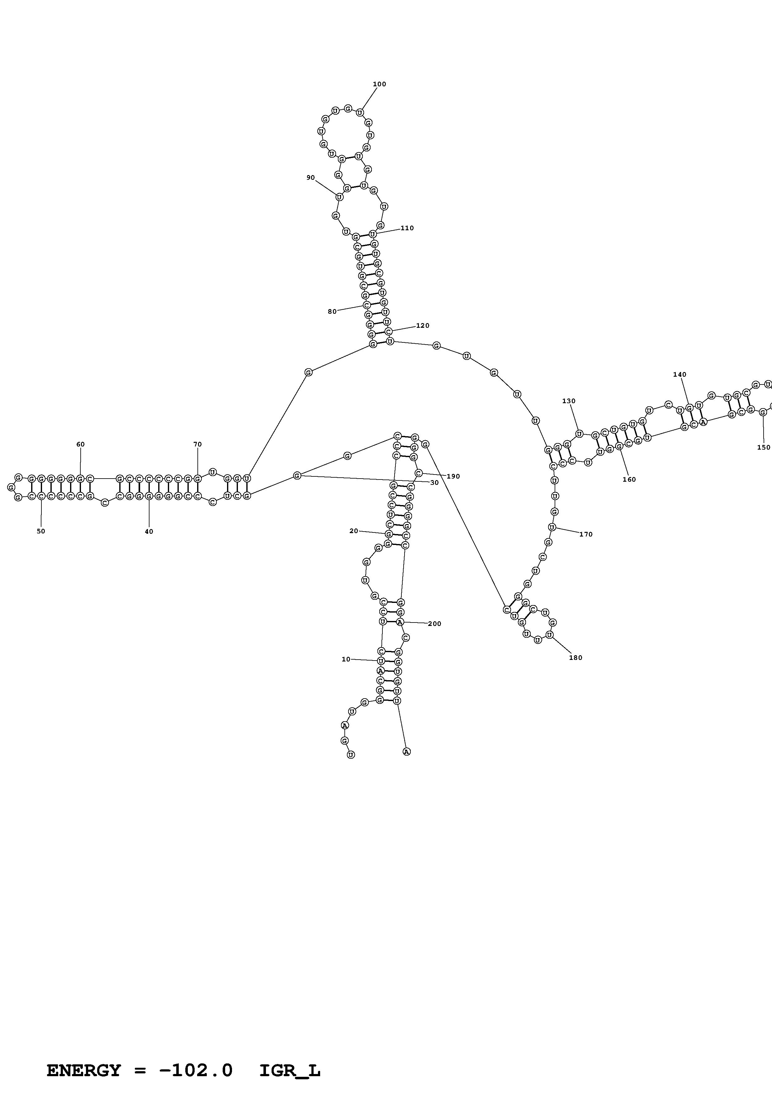
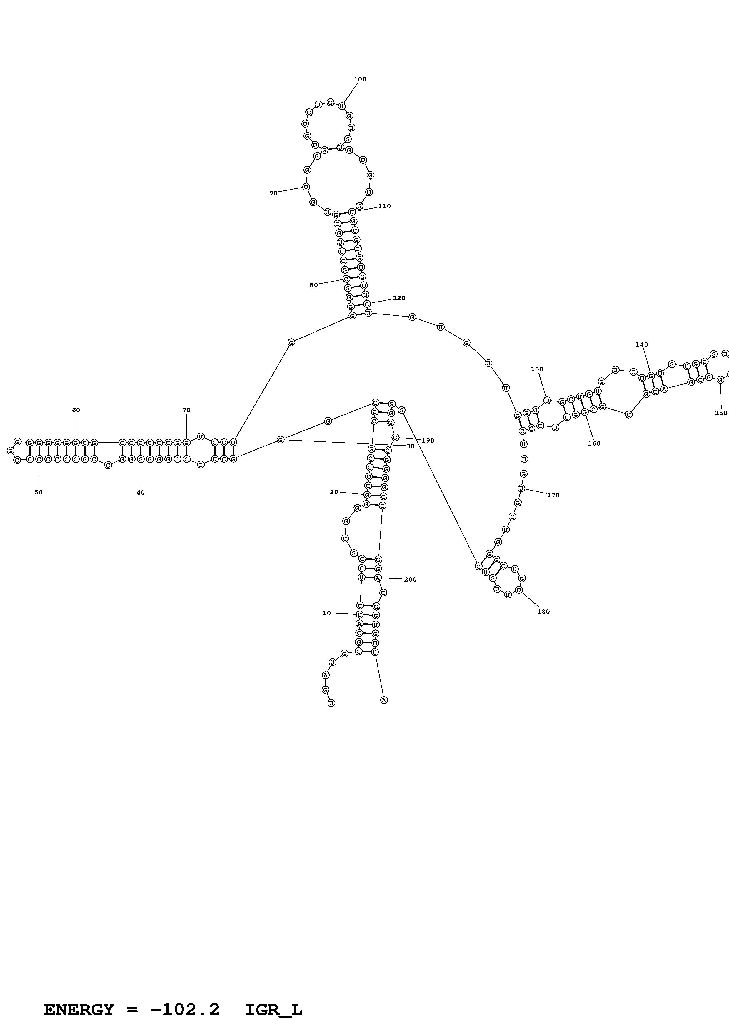
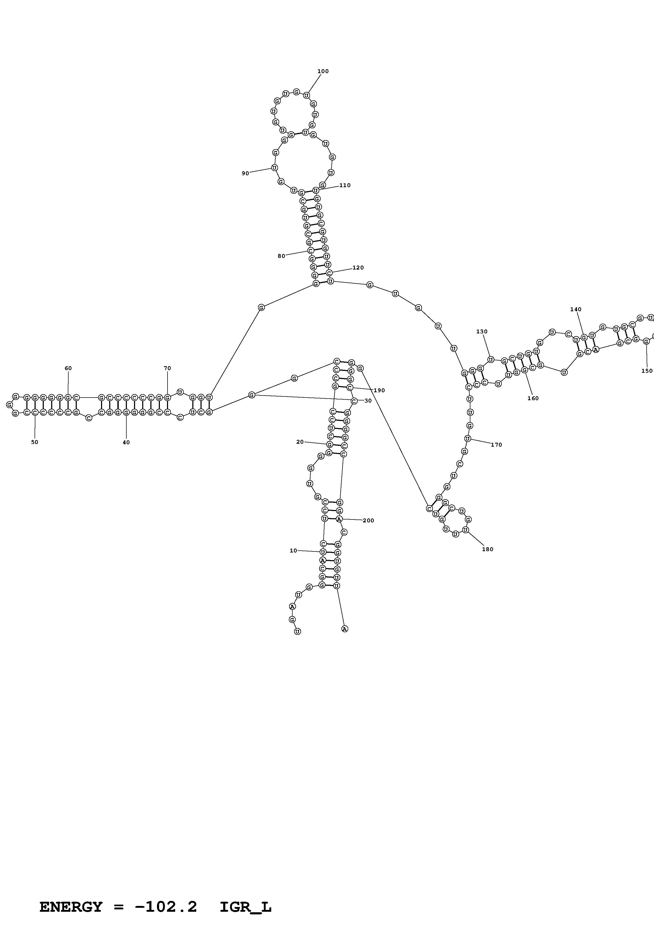
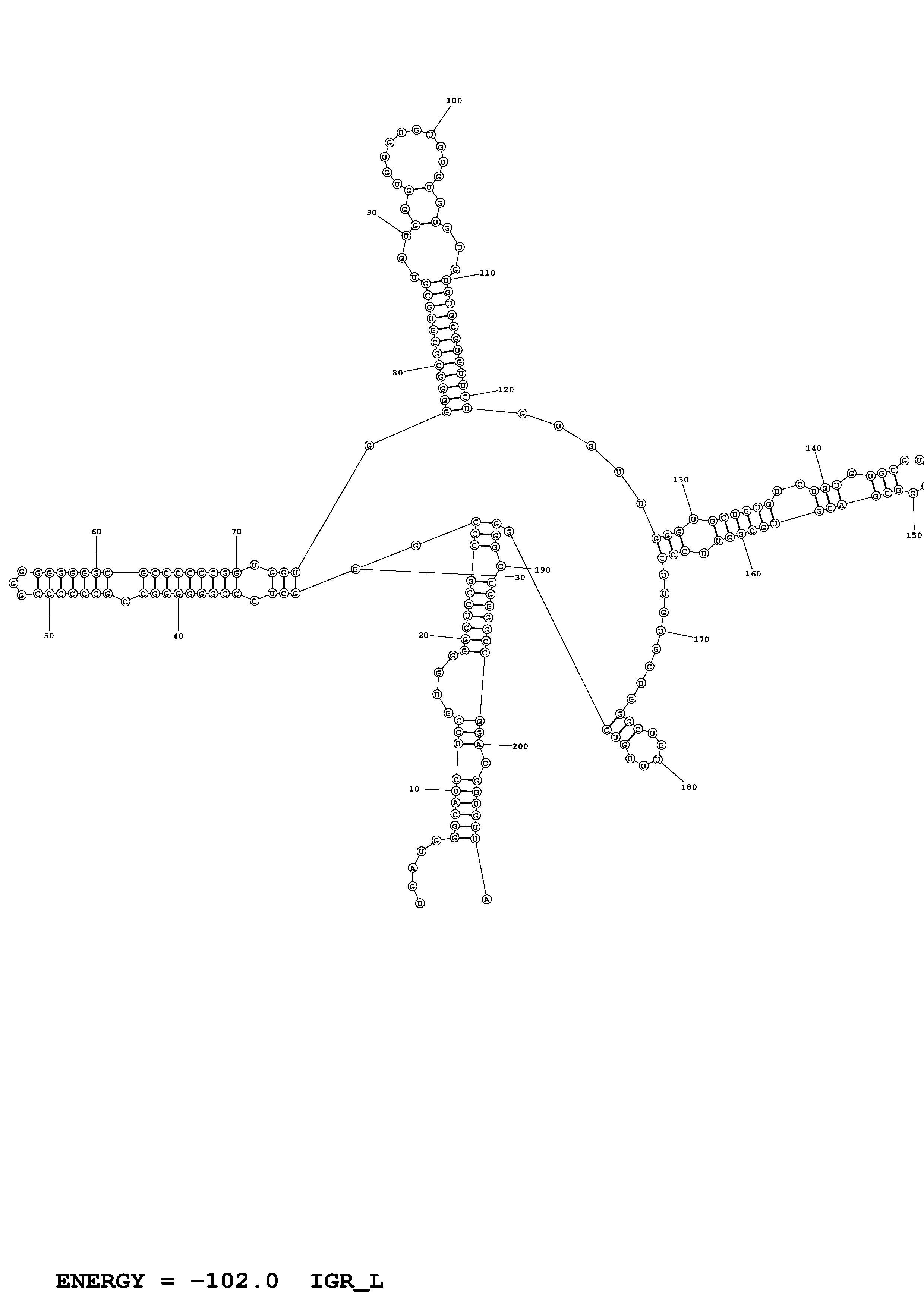
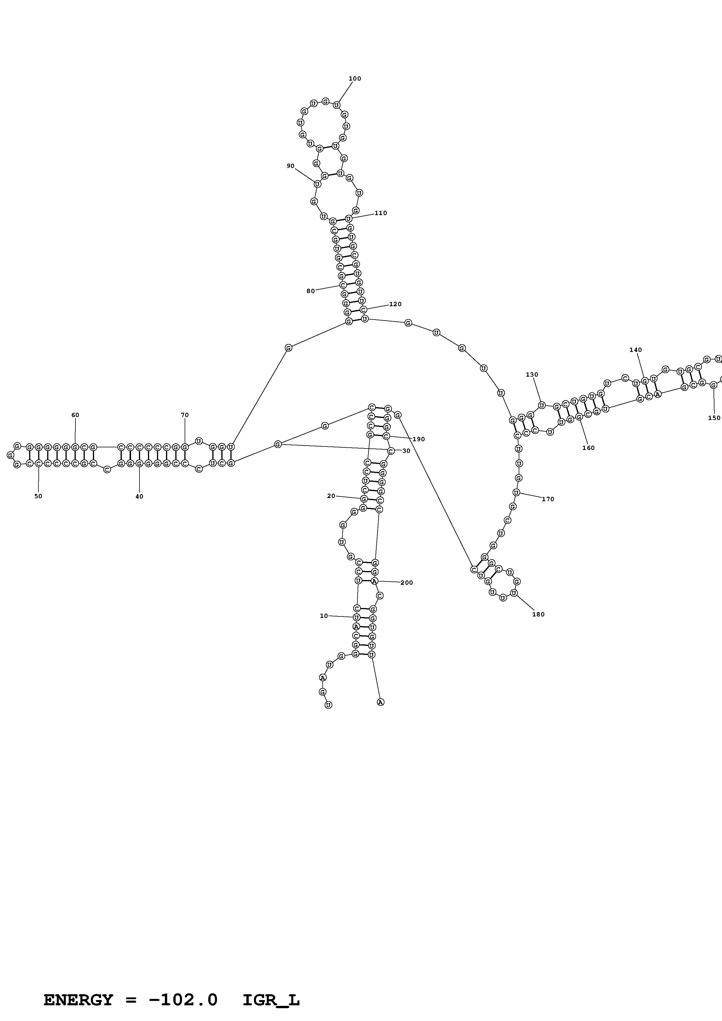
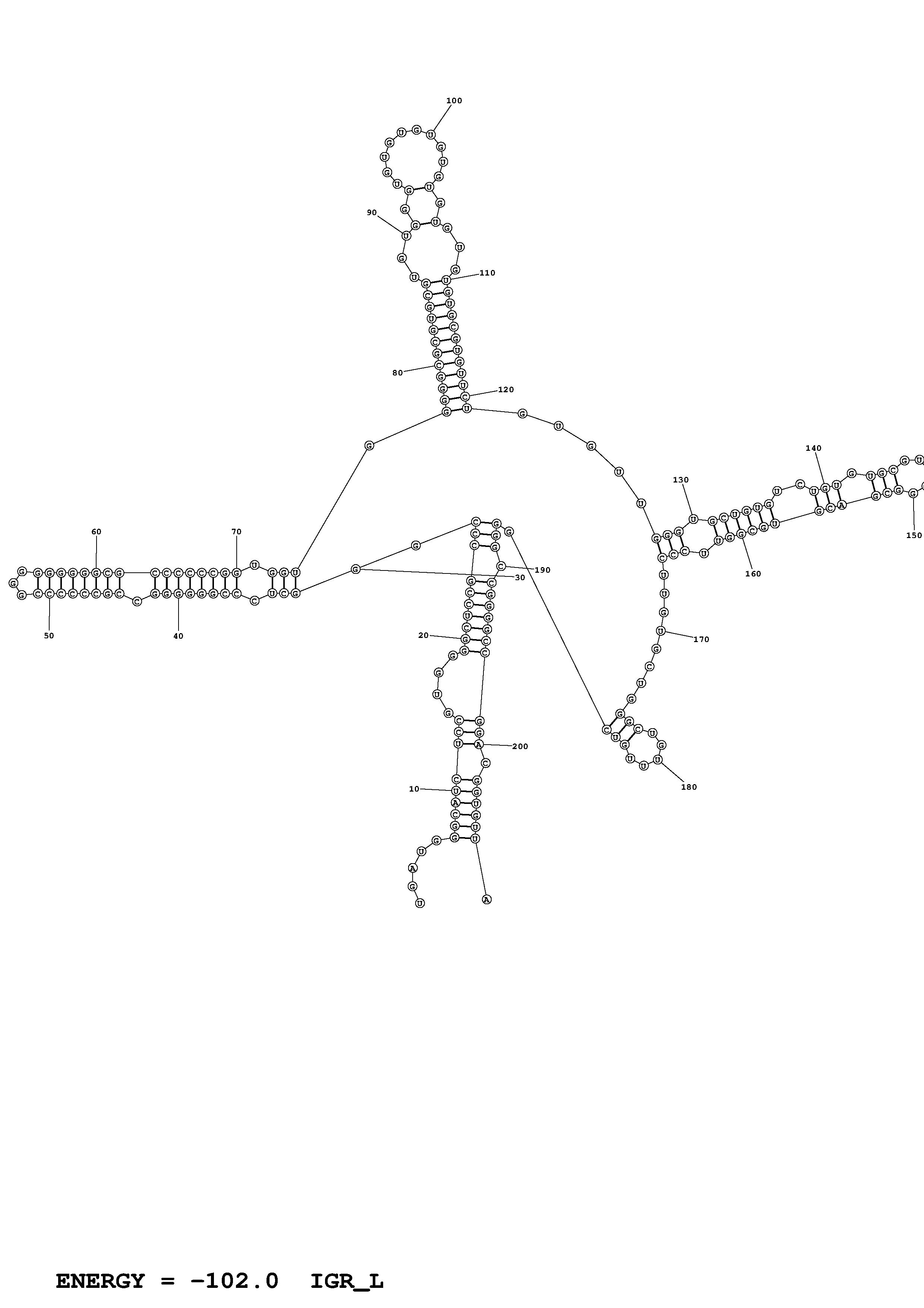
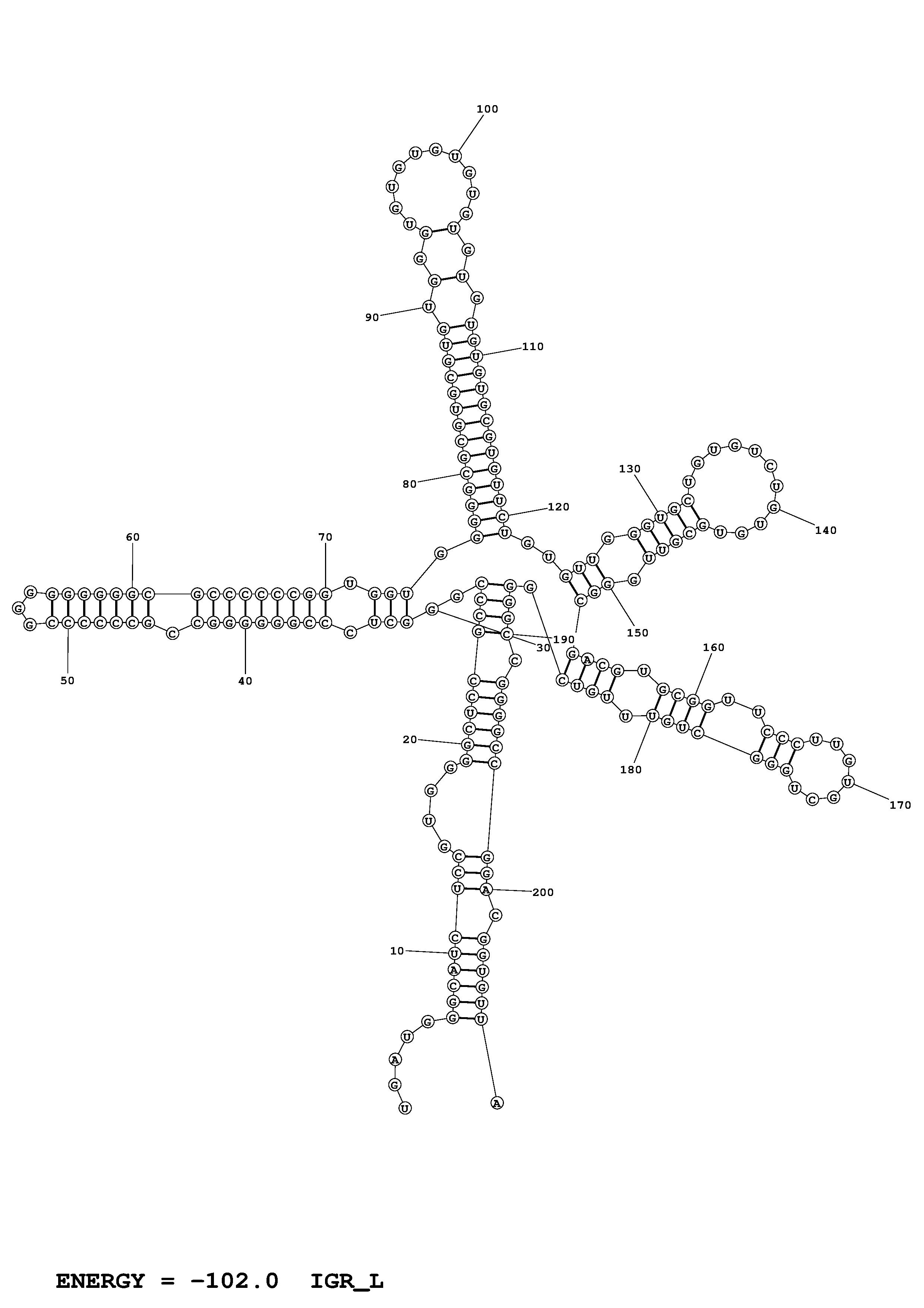
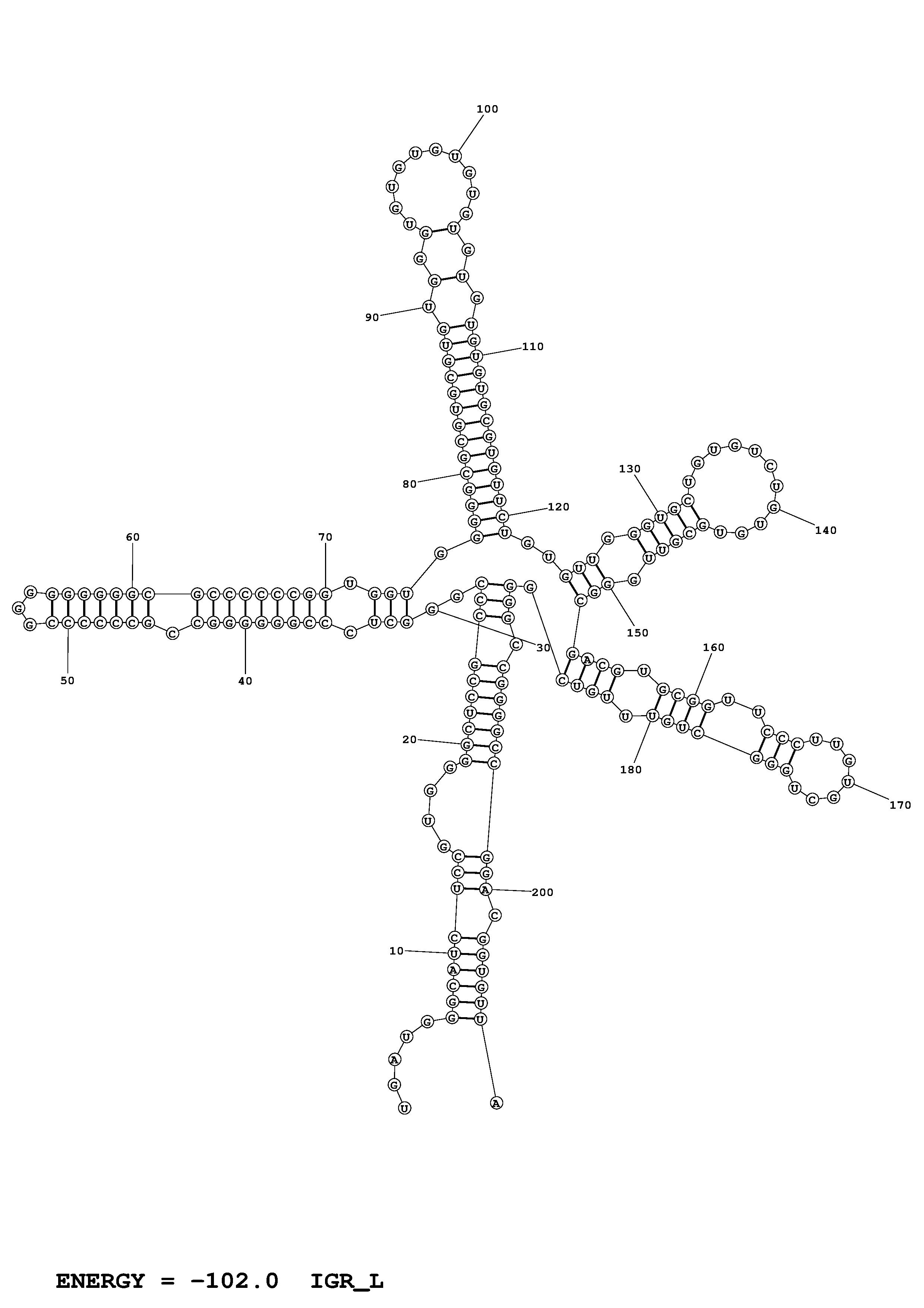
      Structure 3: PDF SVG PS JPEG PNG CT
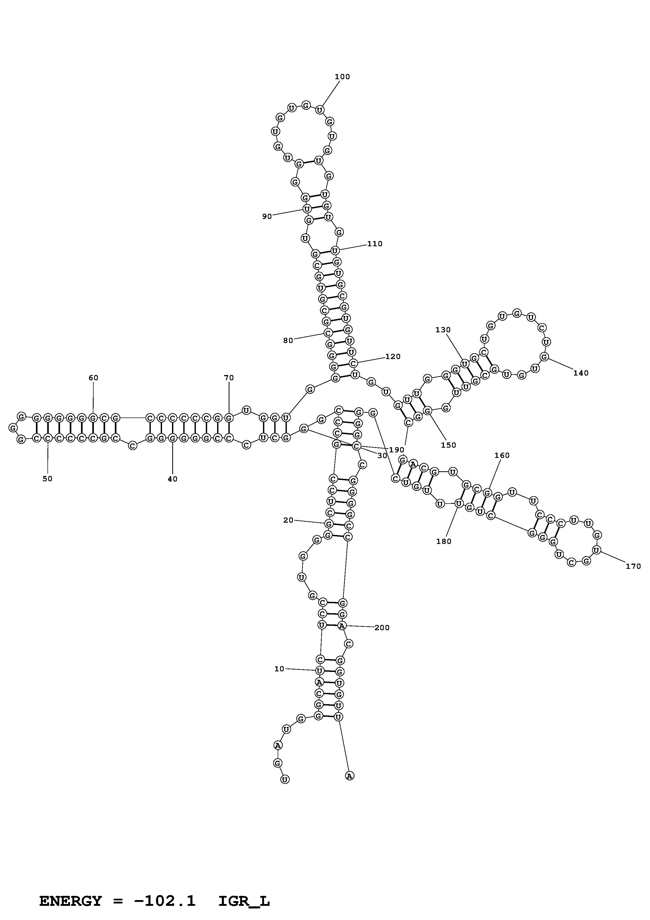
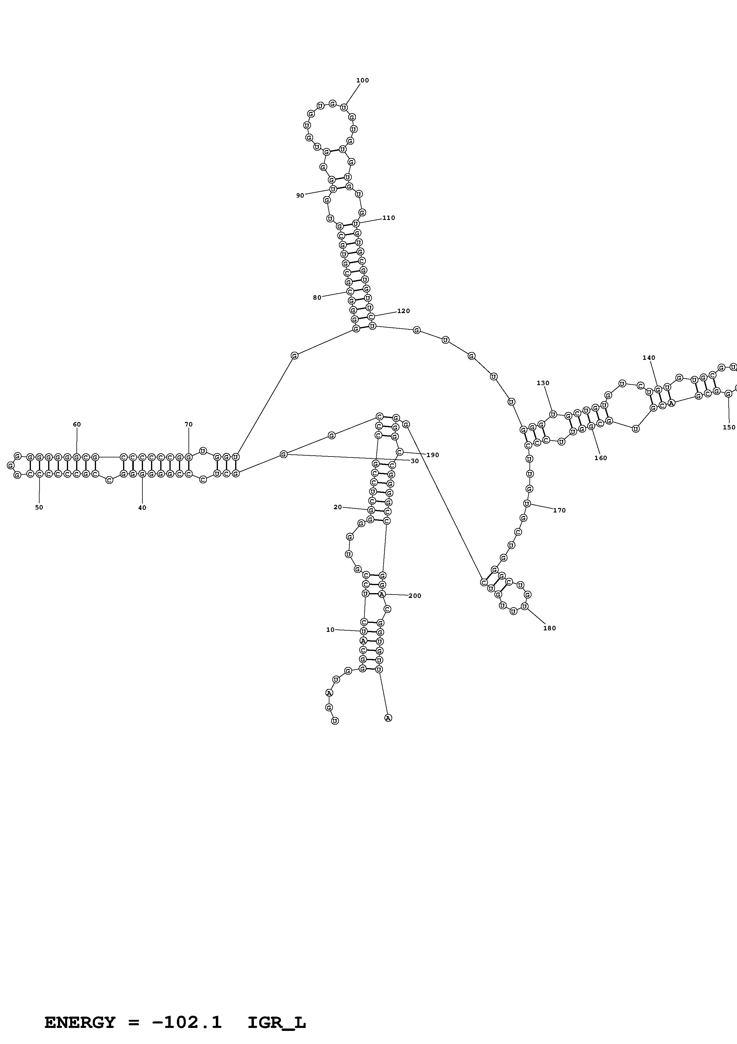
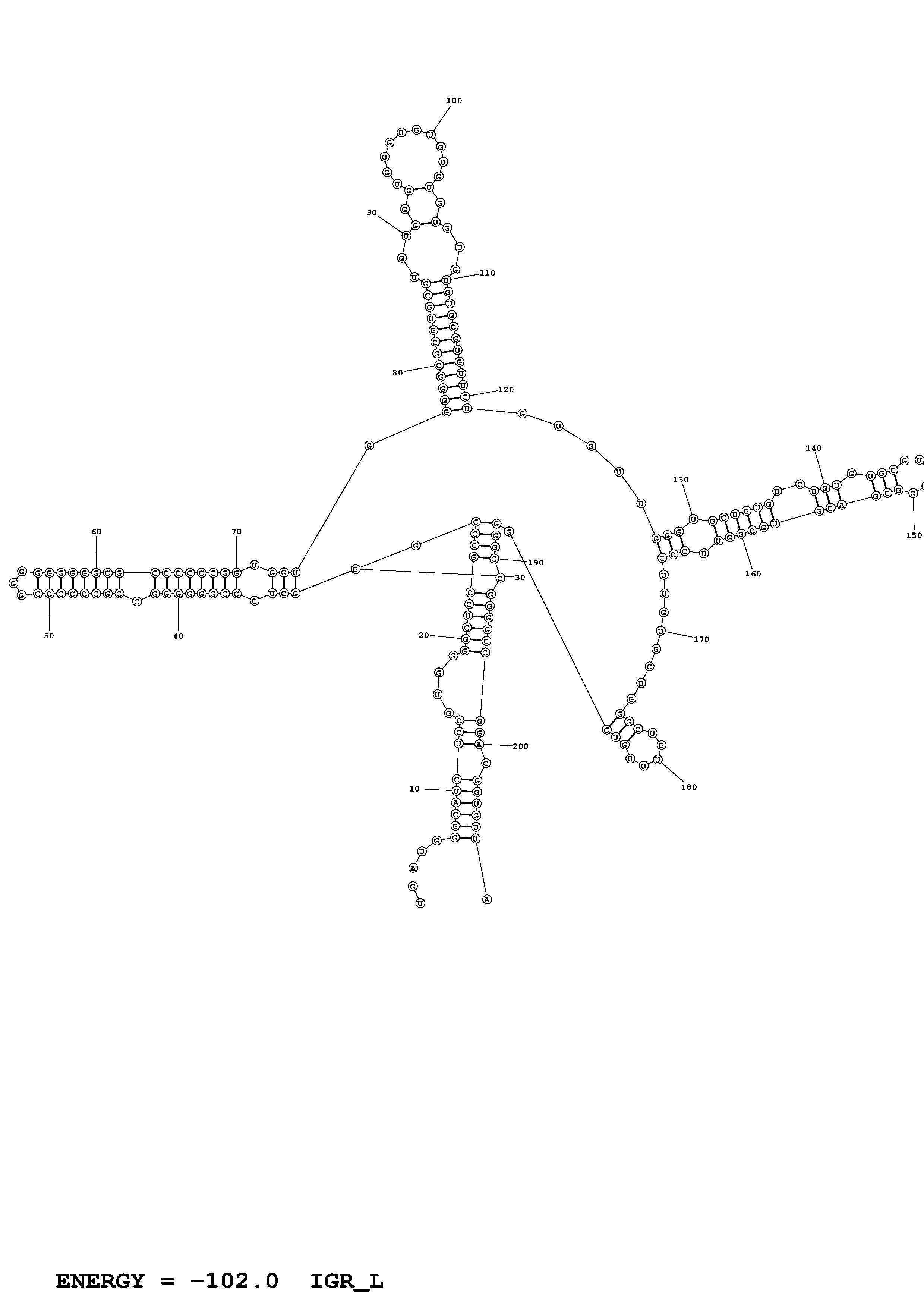
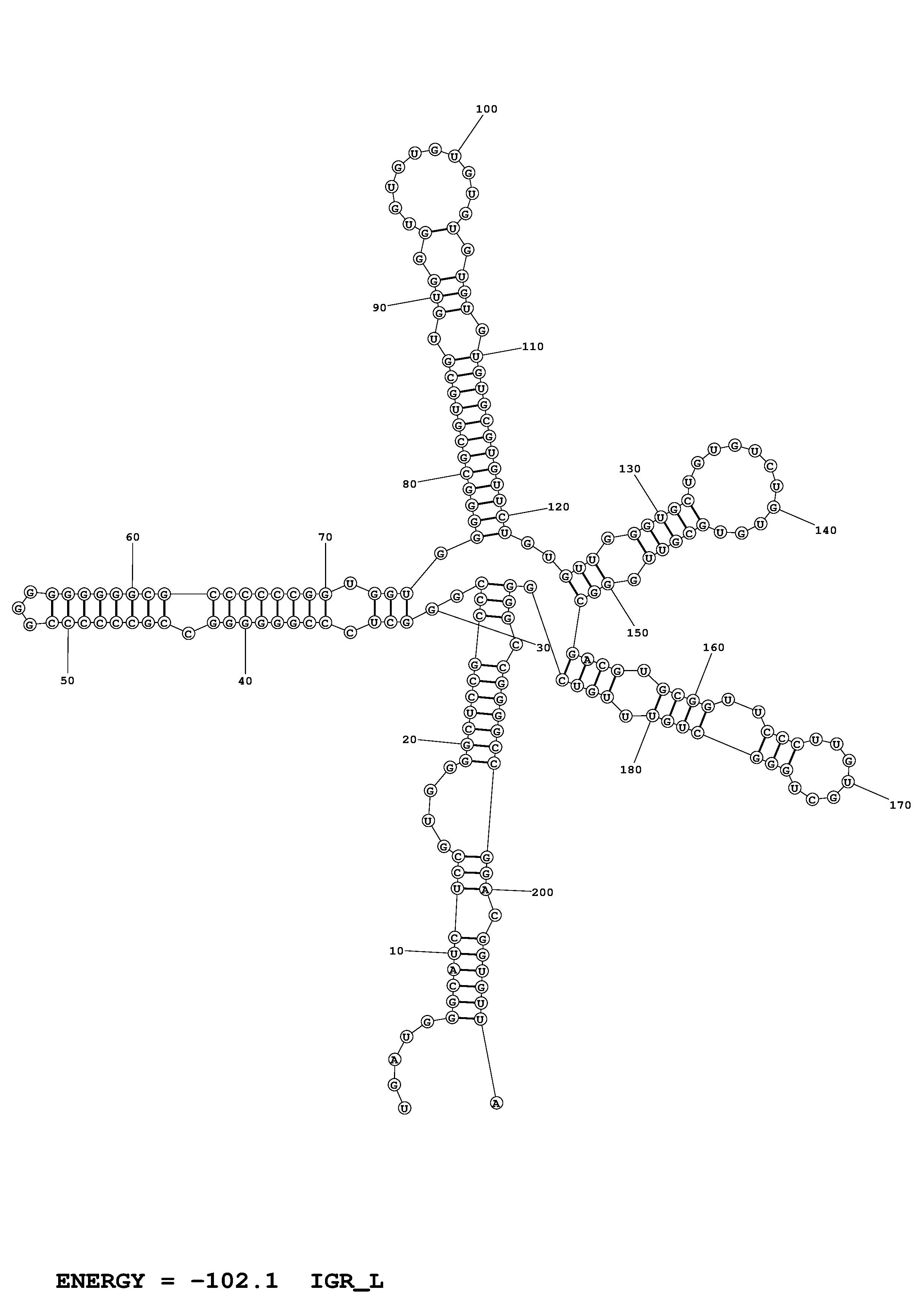
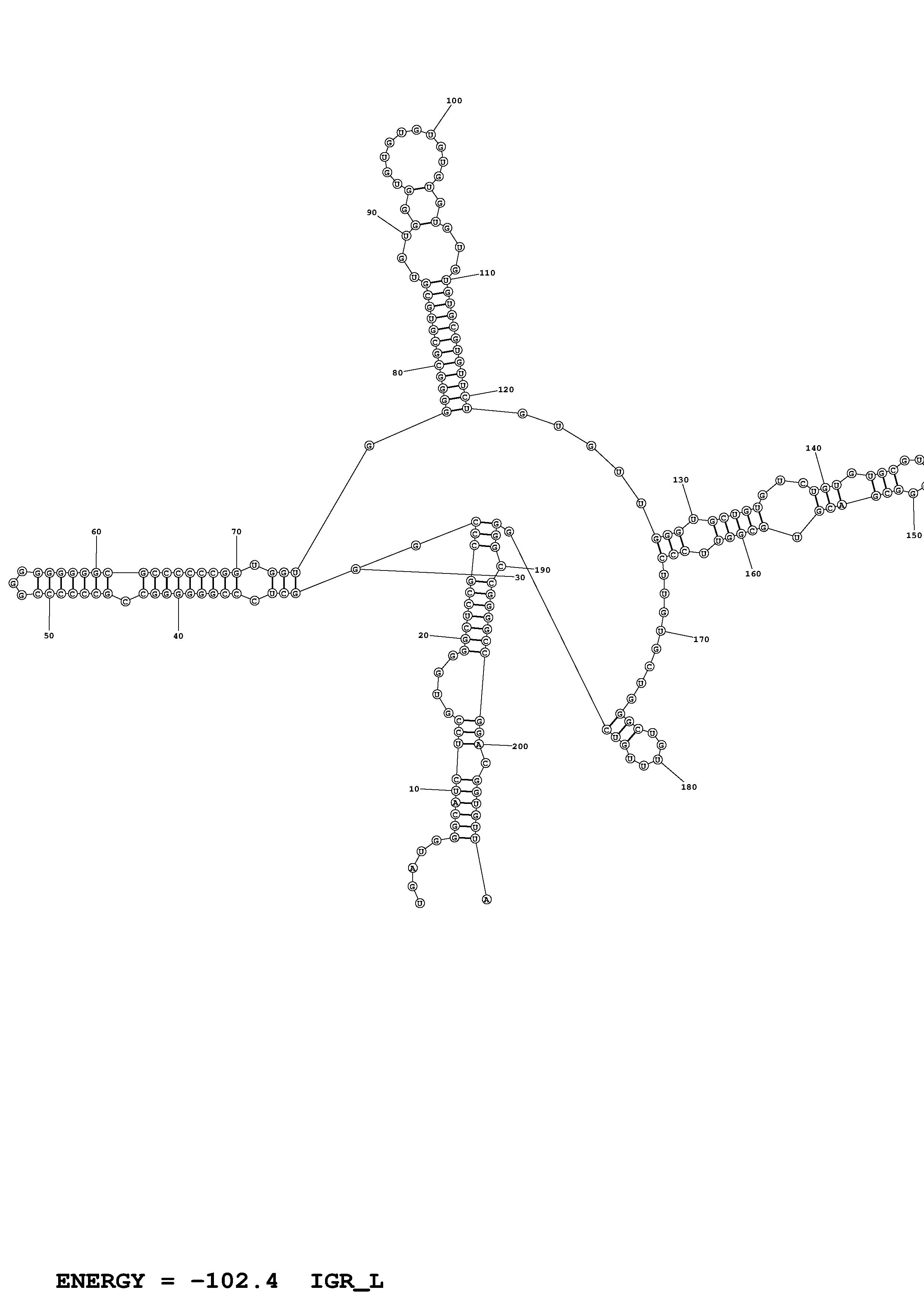
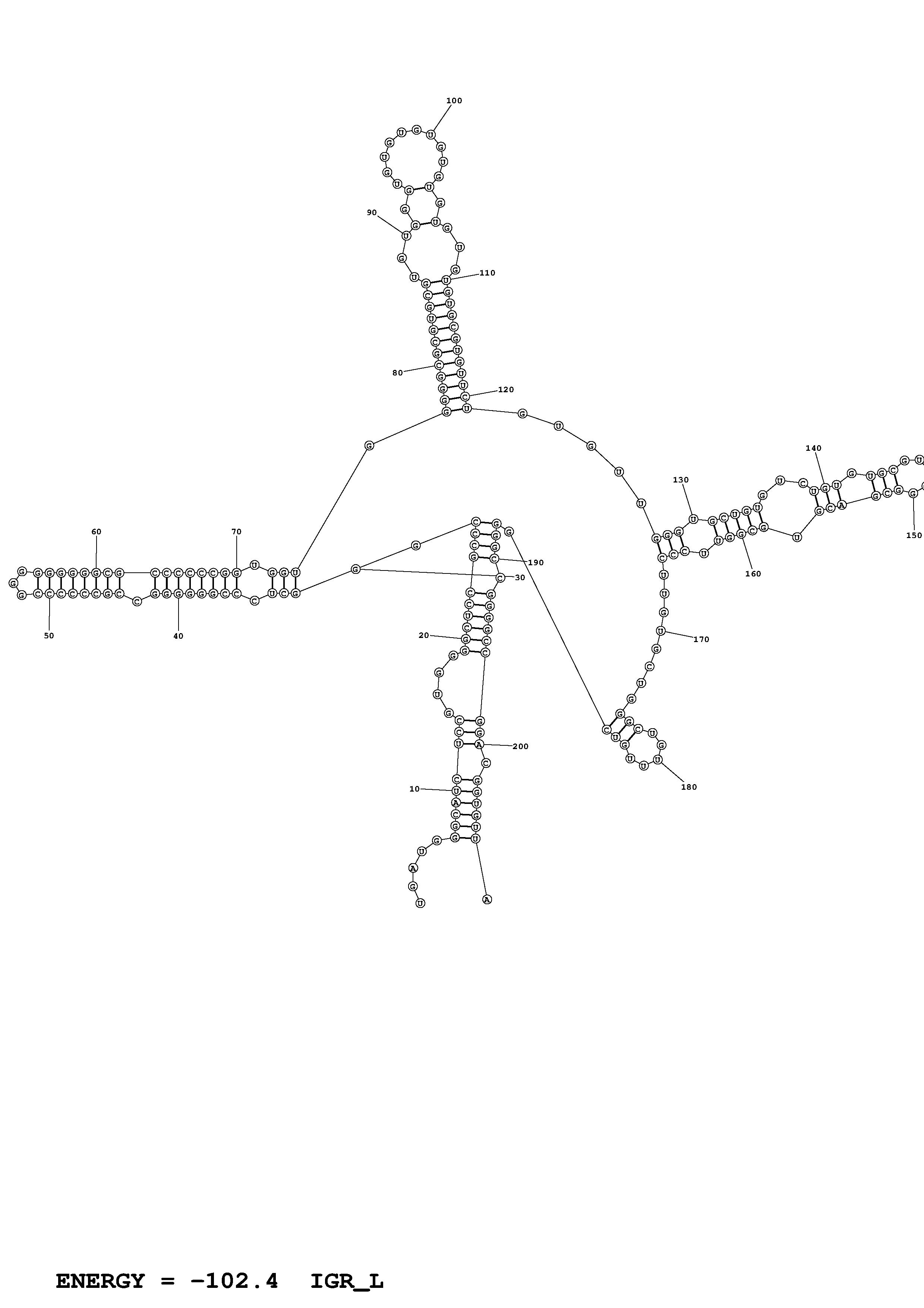
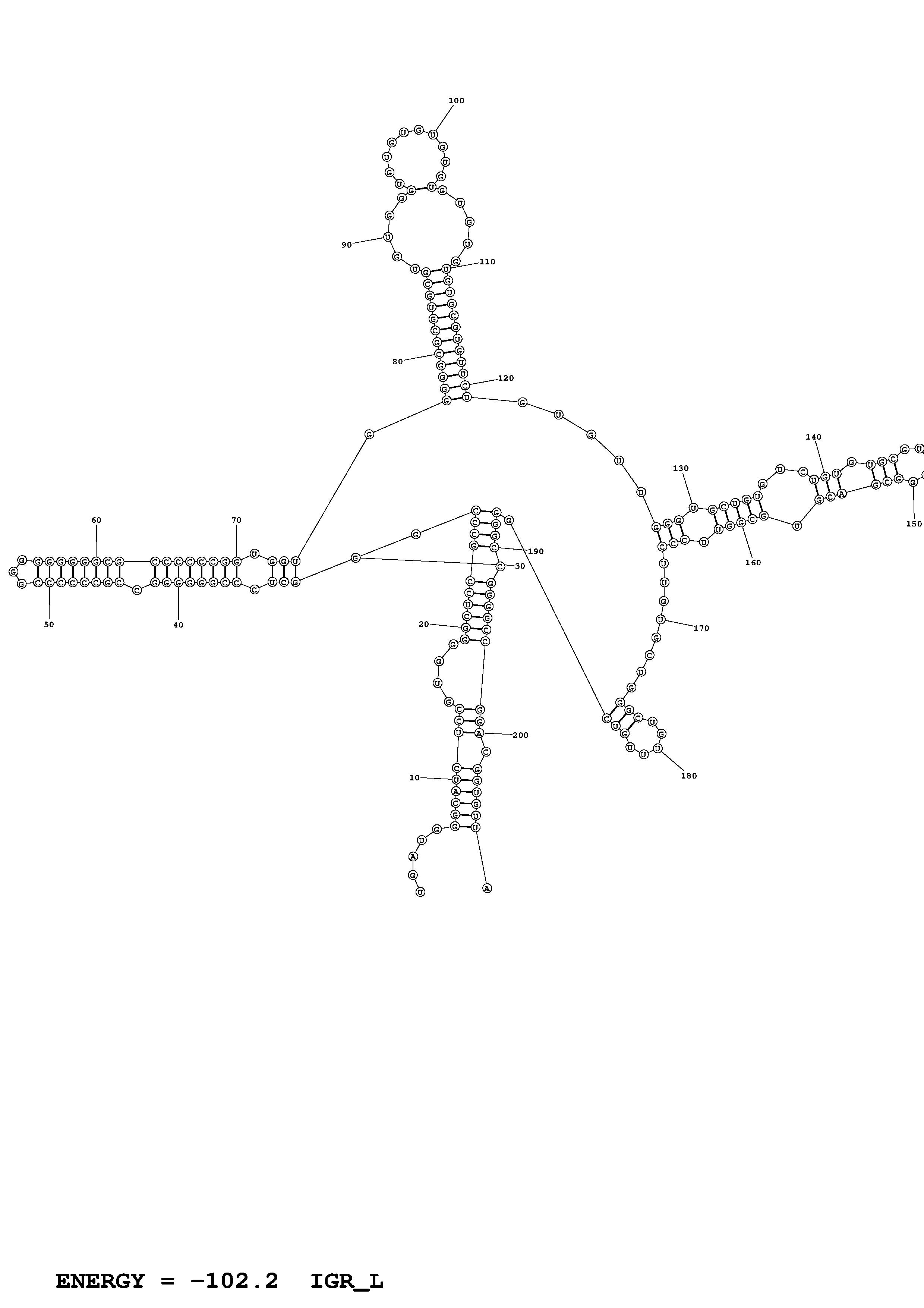
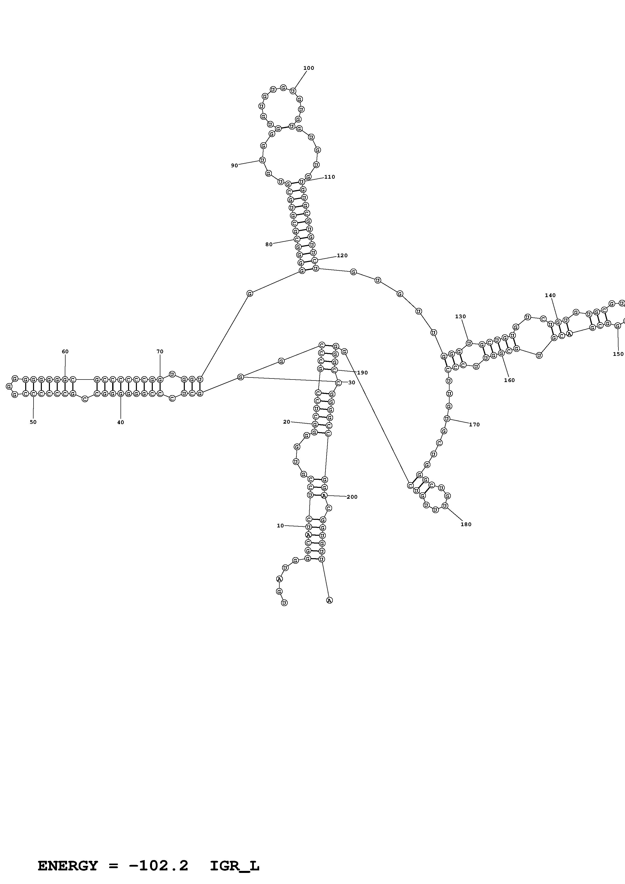
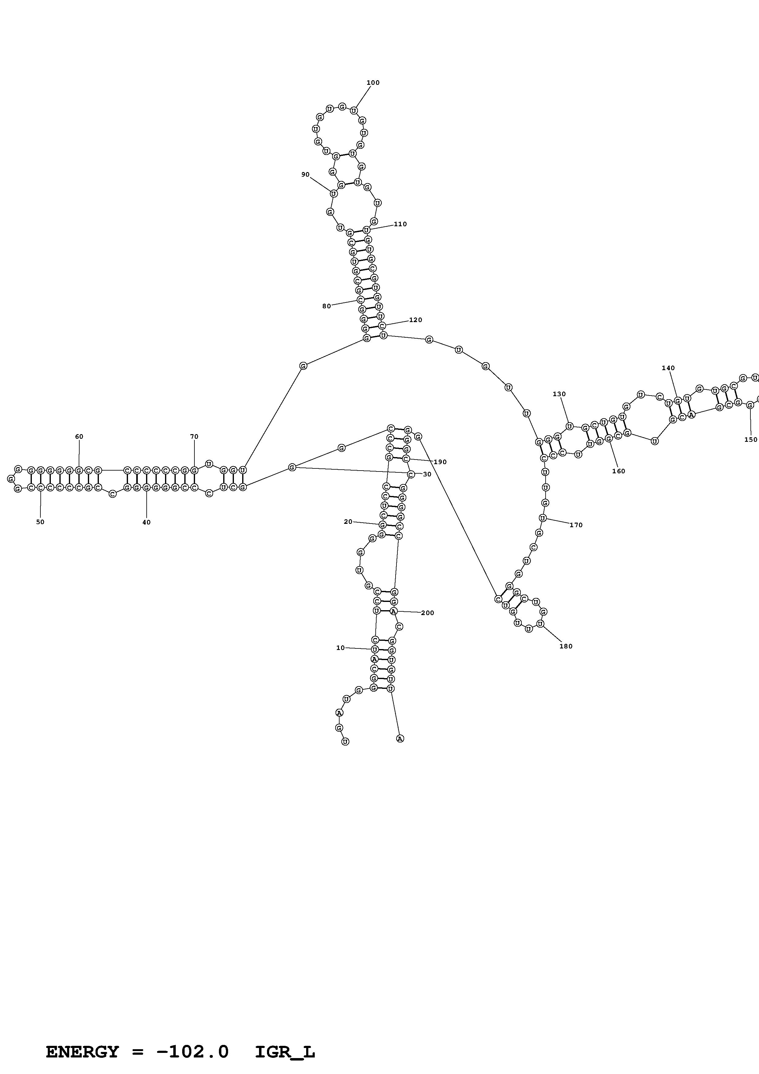
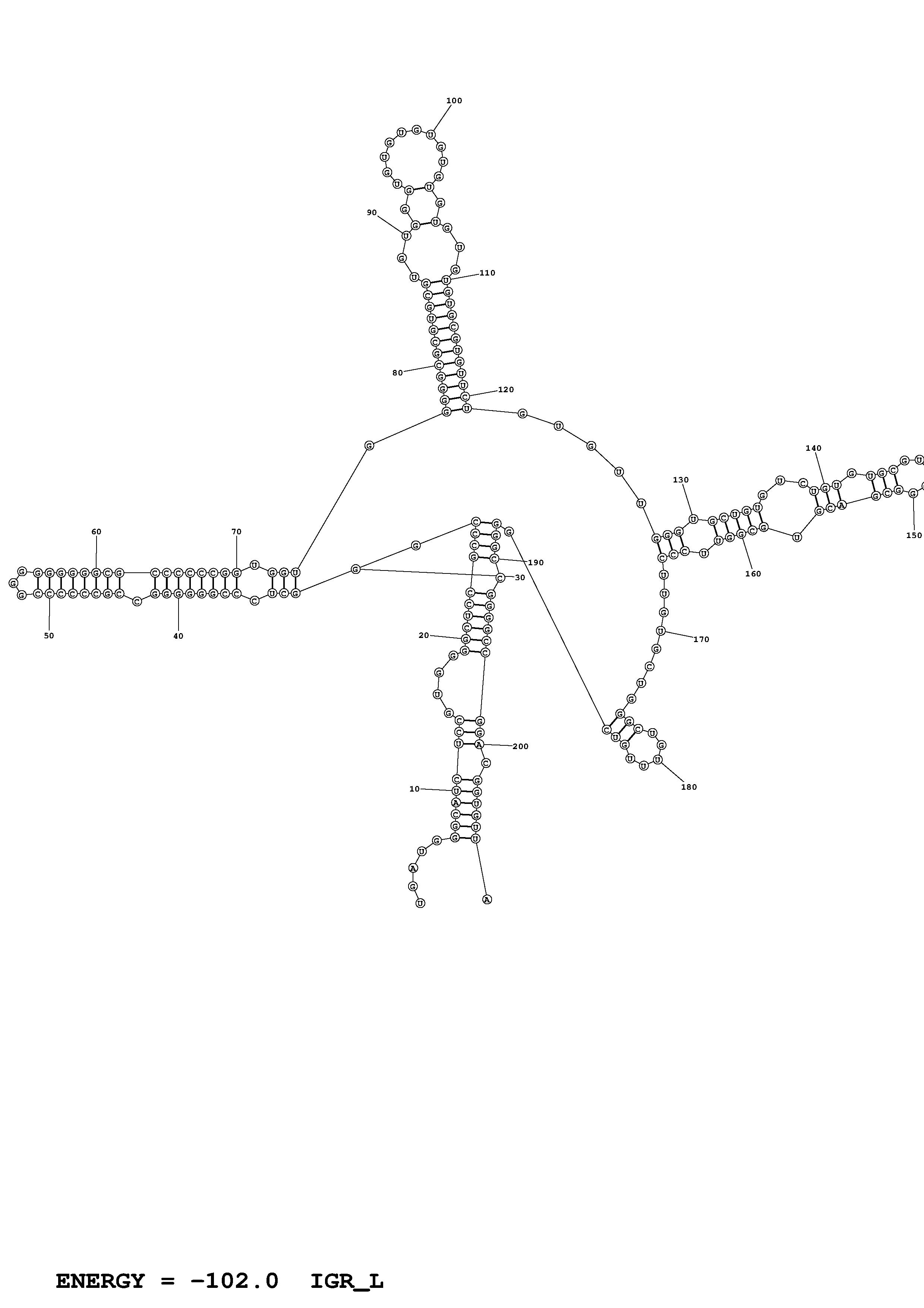
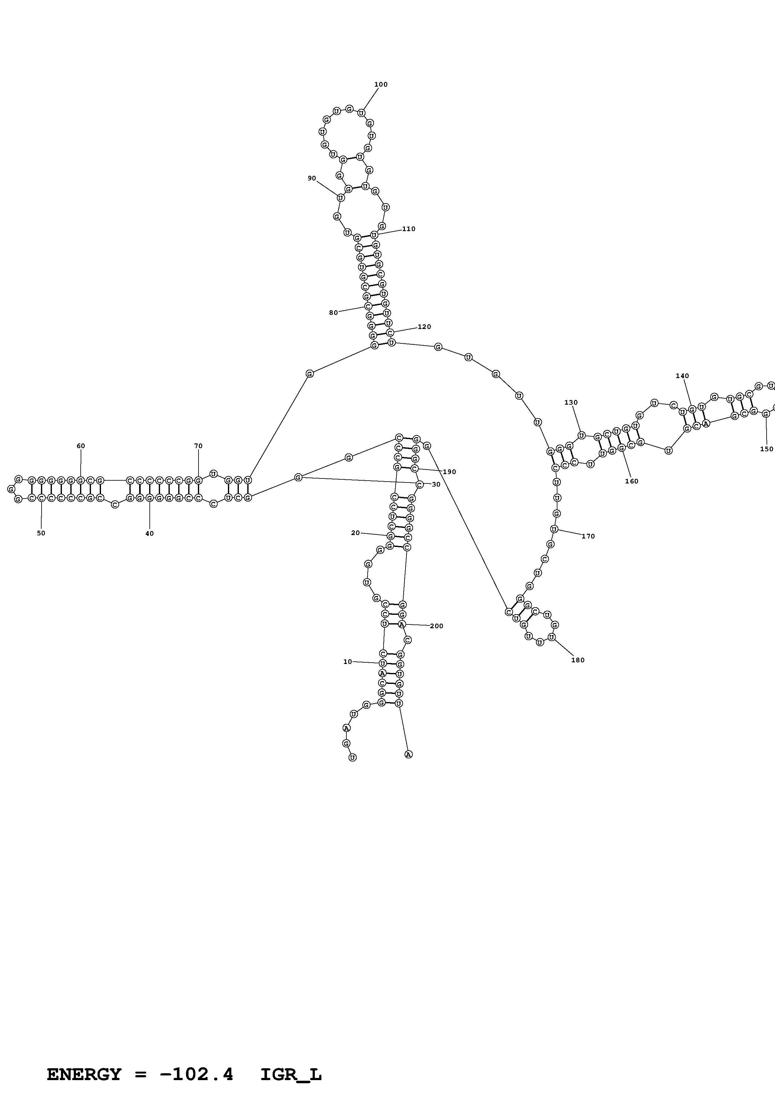
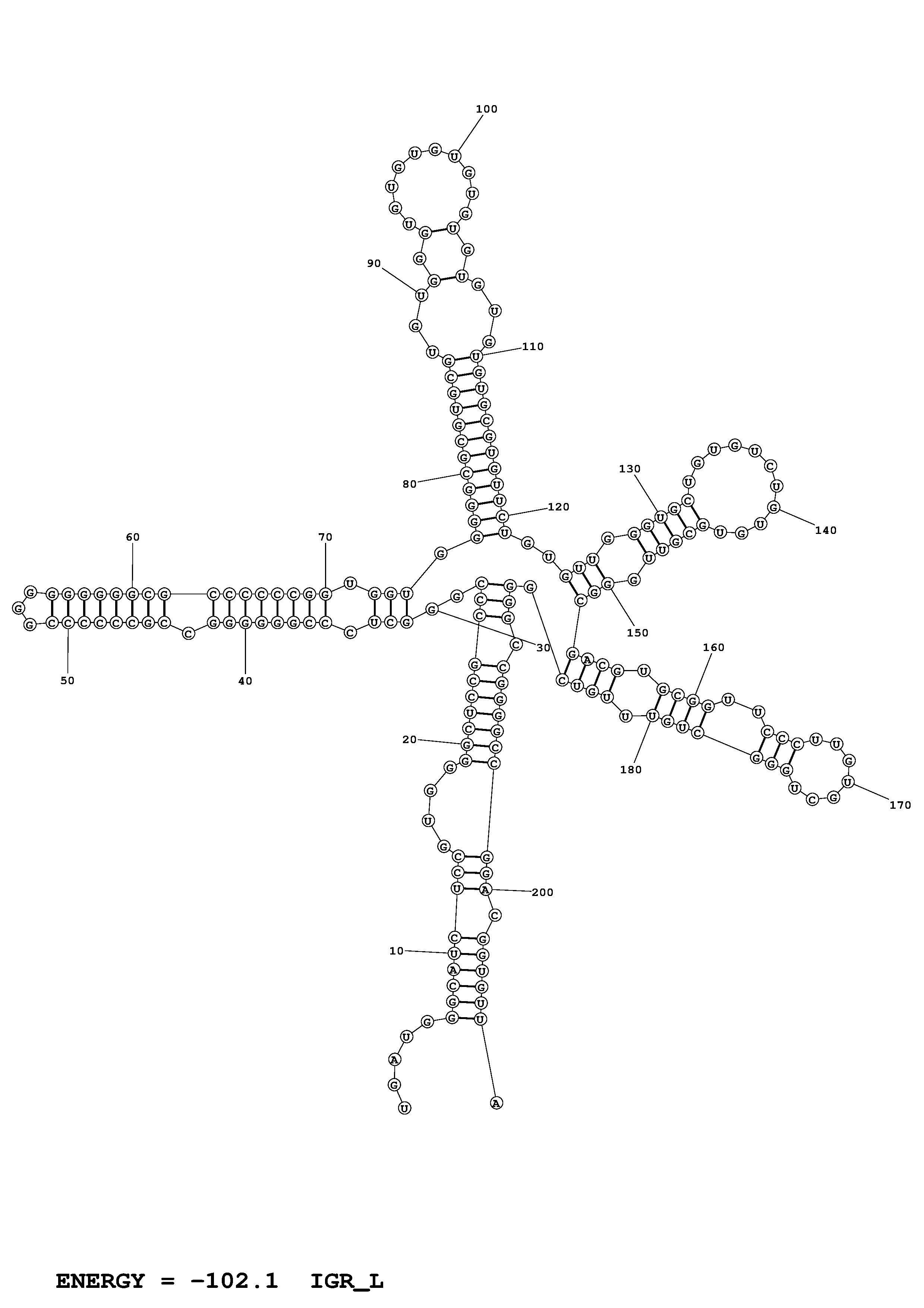
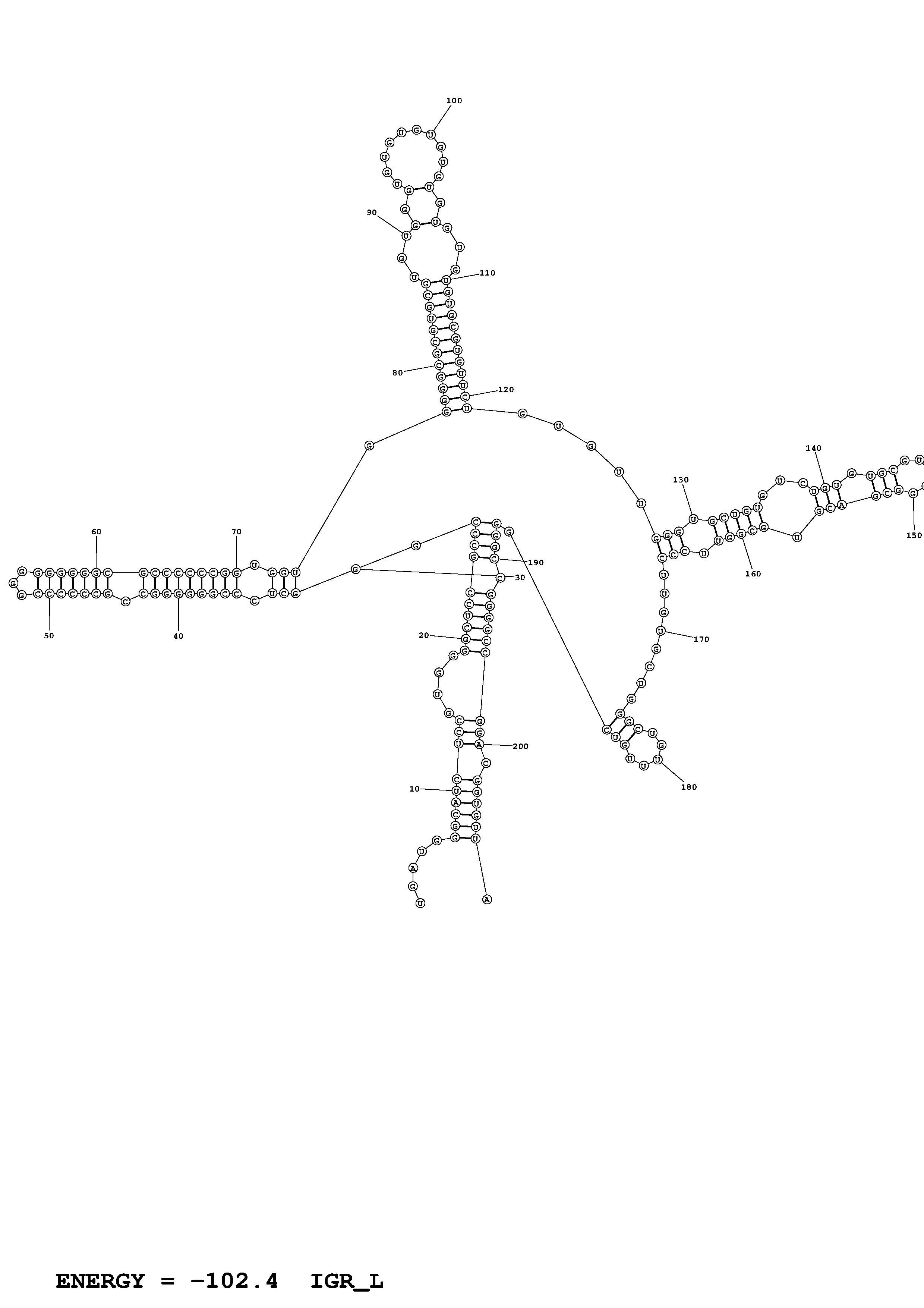
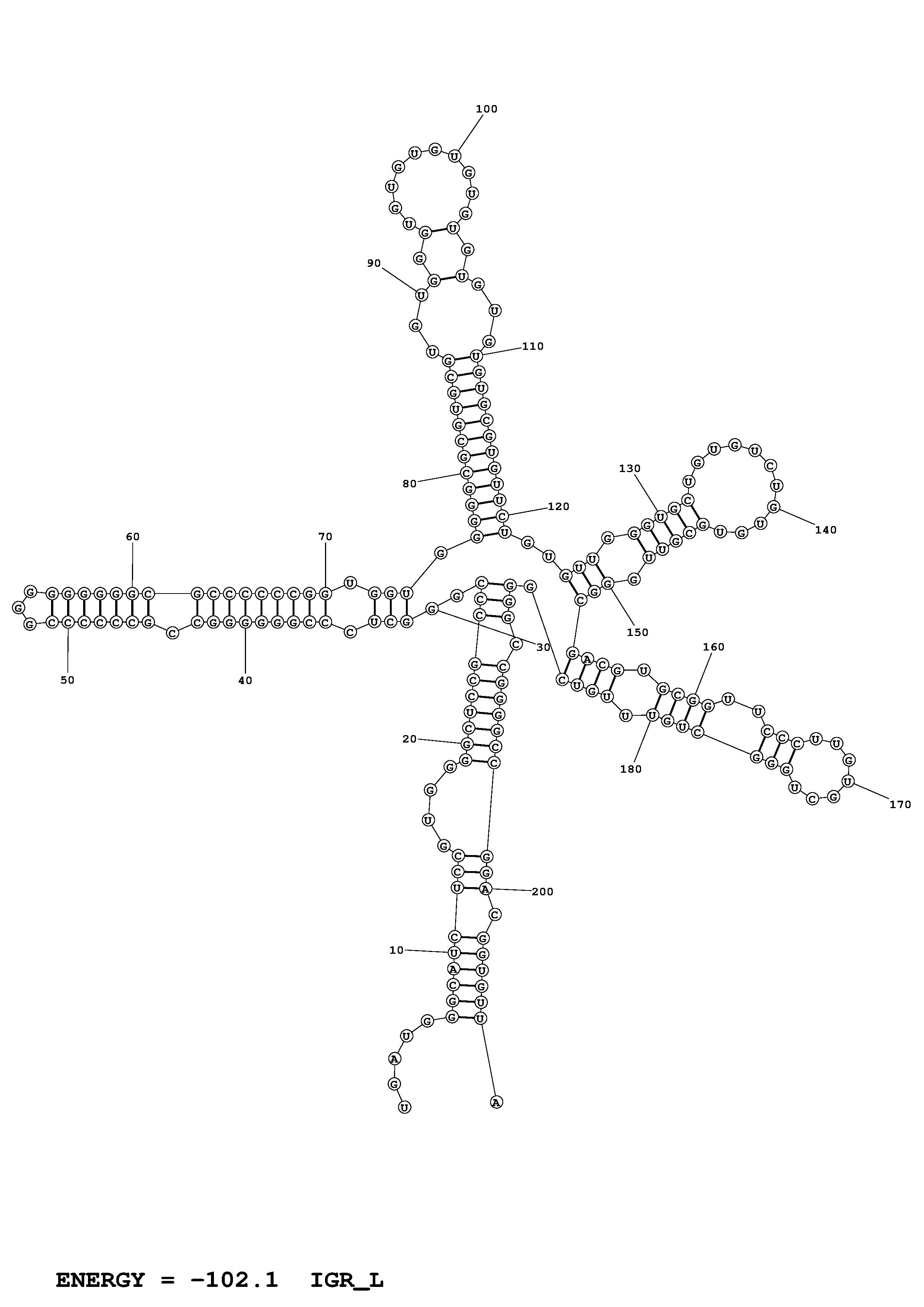
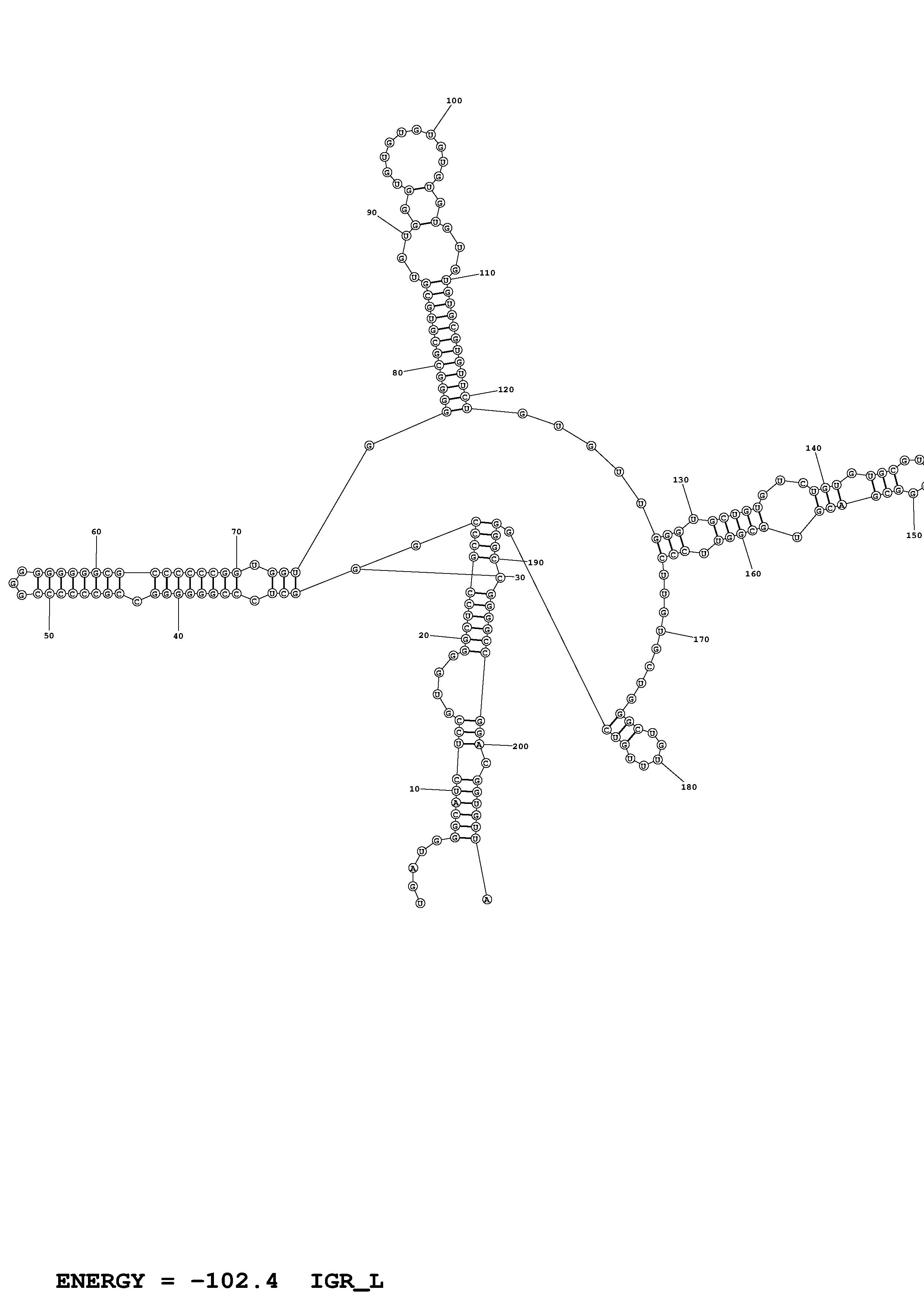
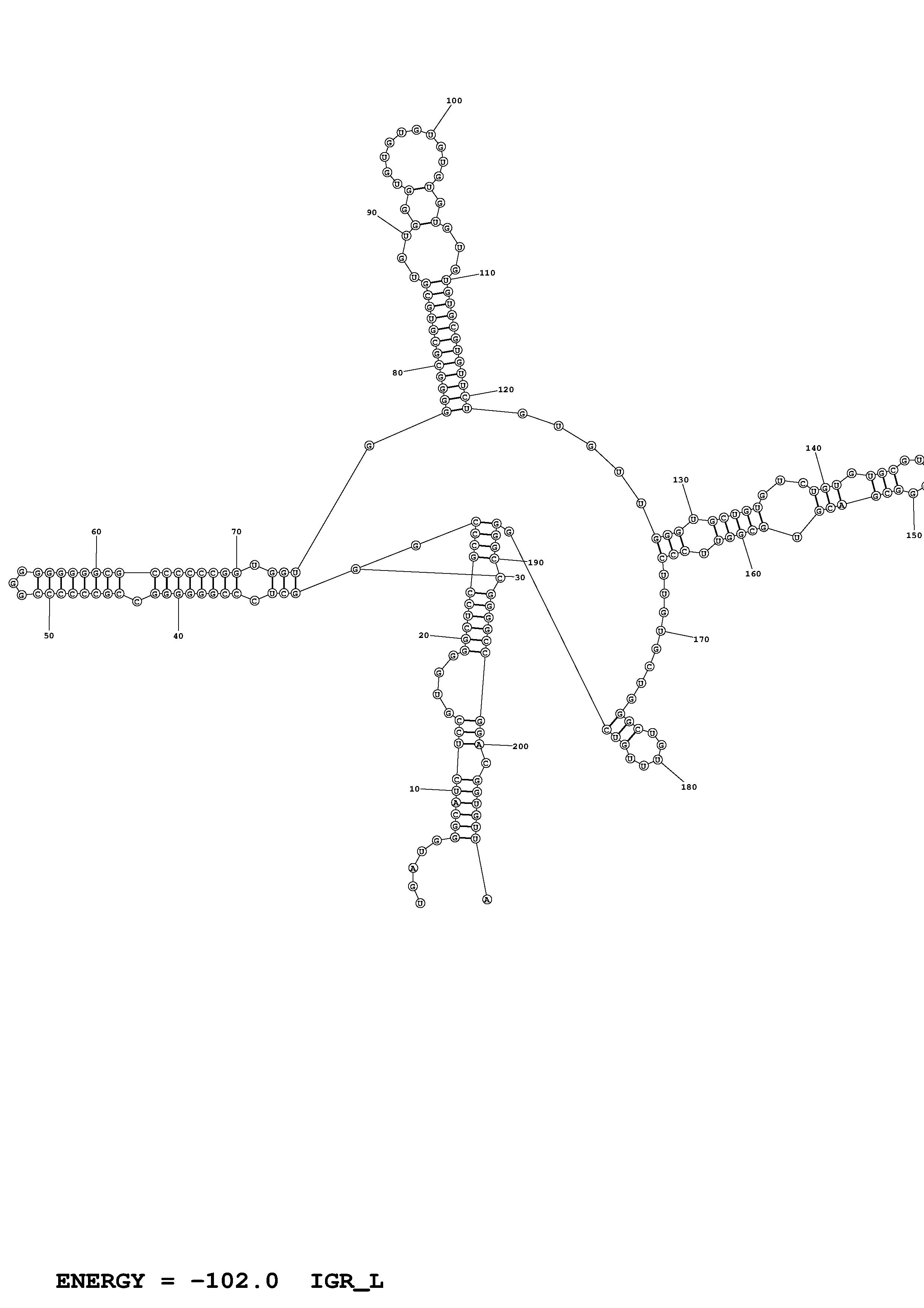
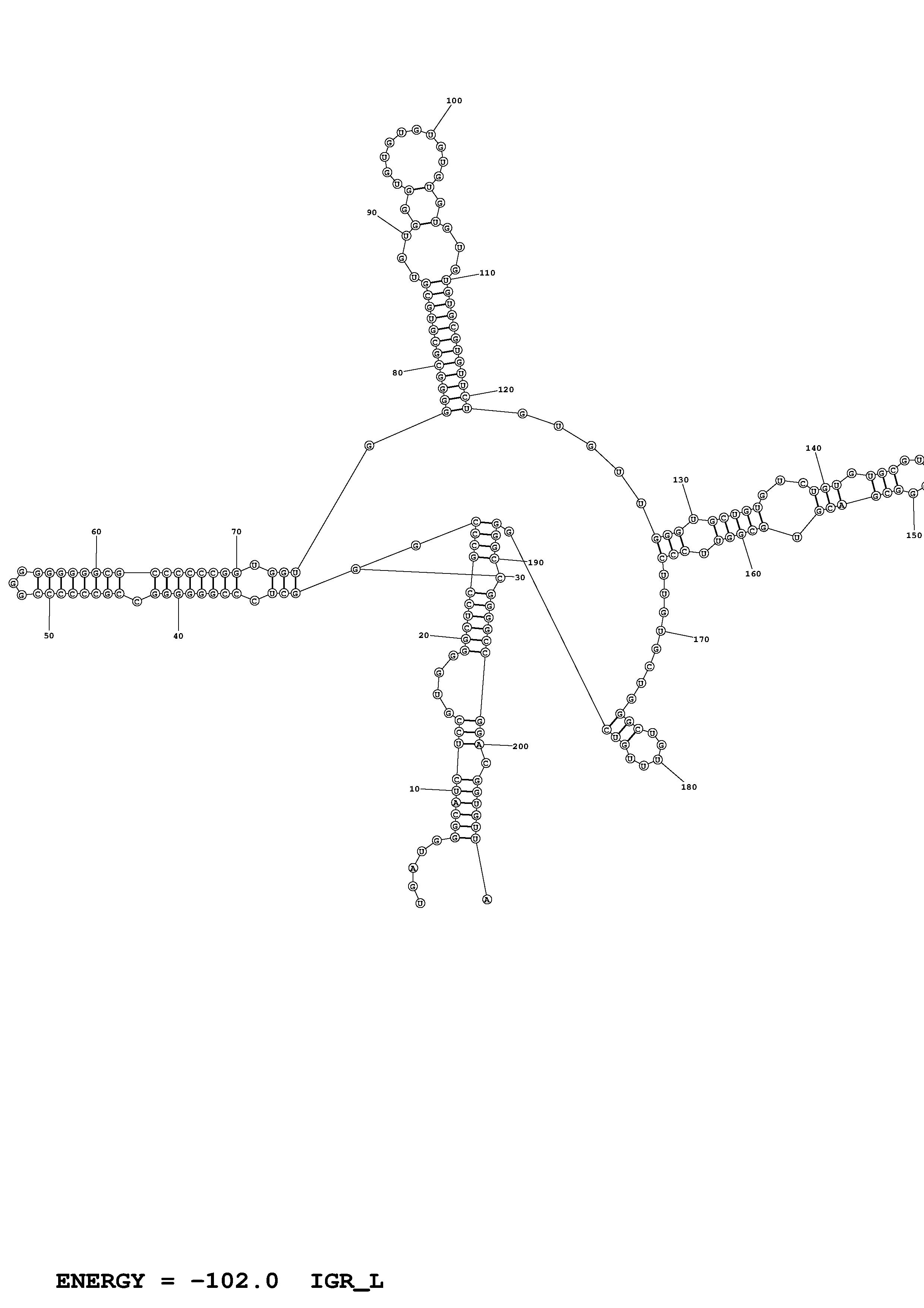
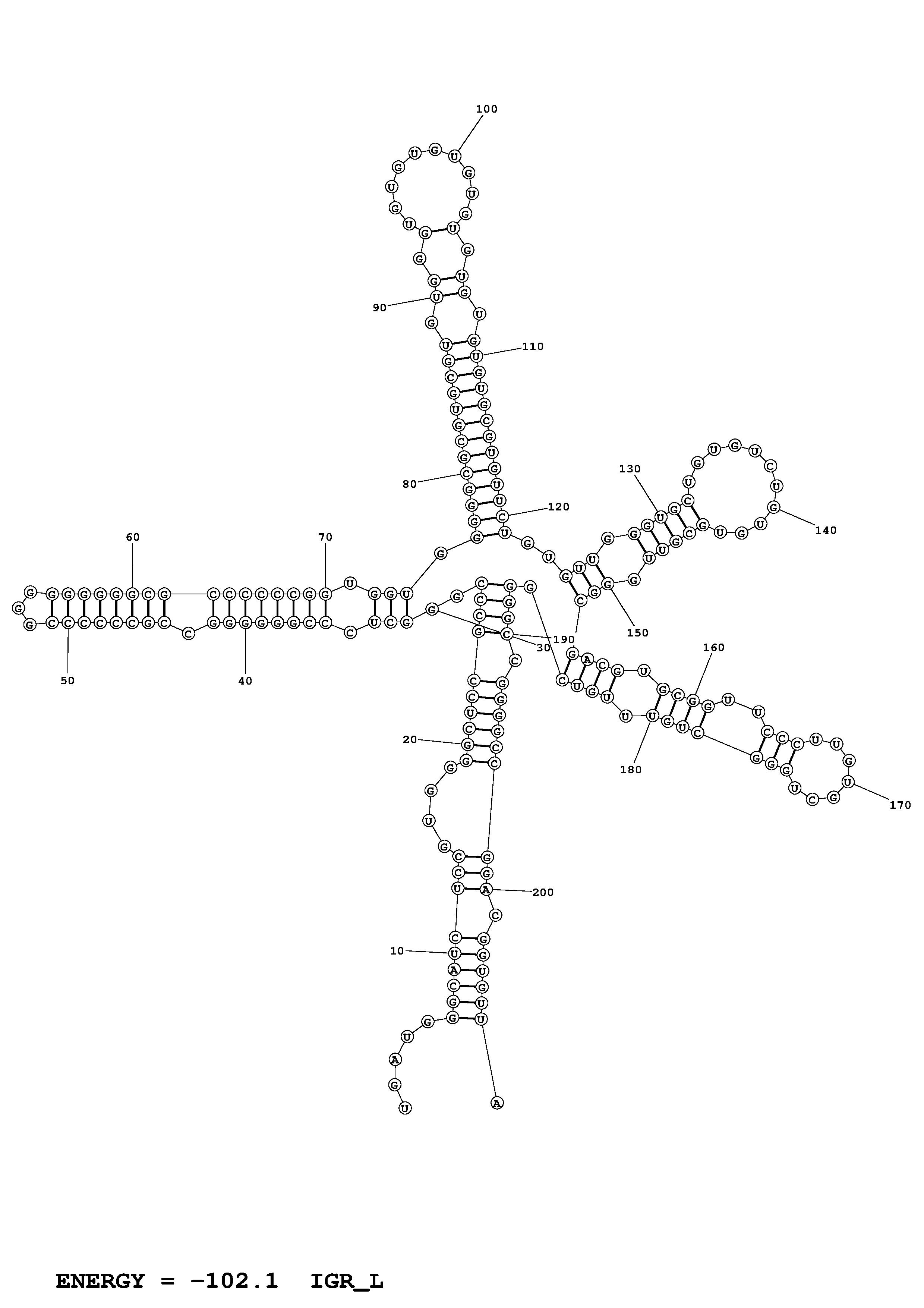
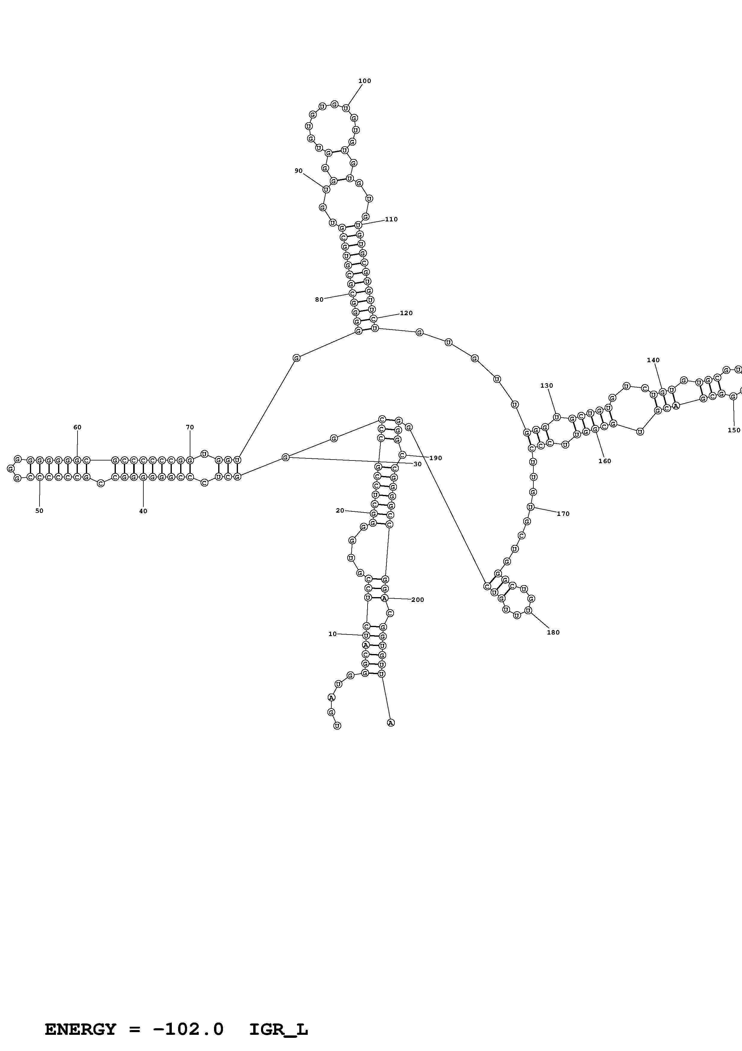
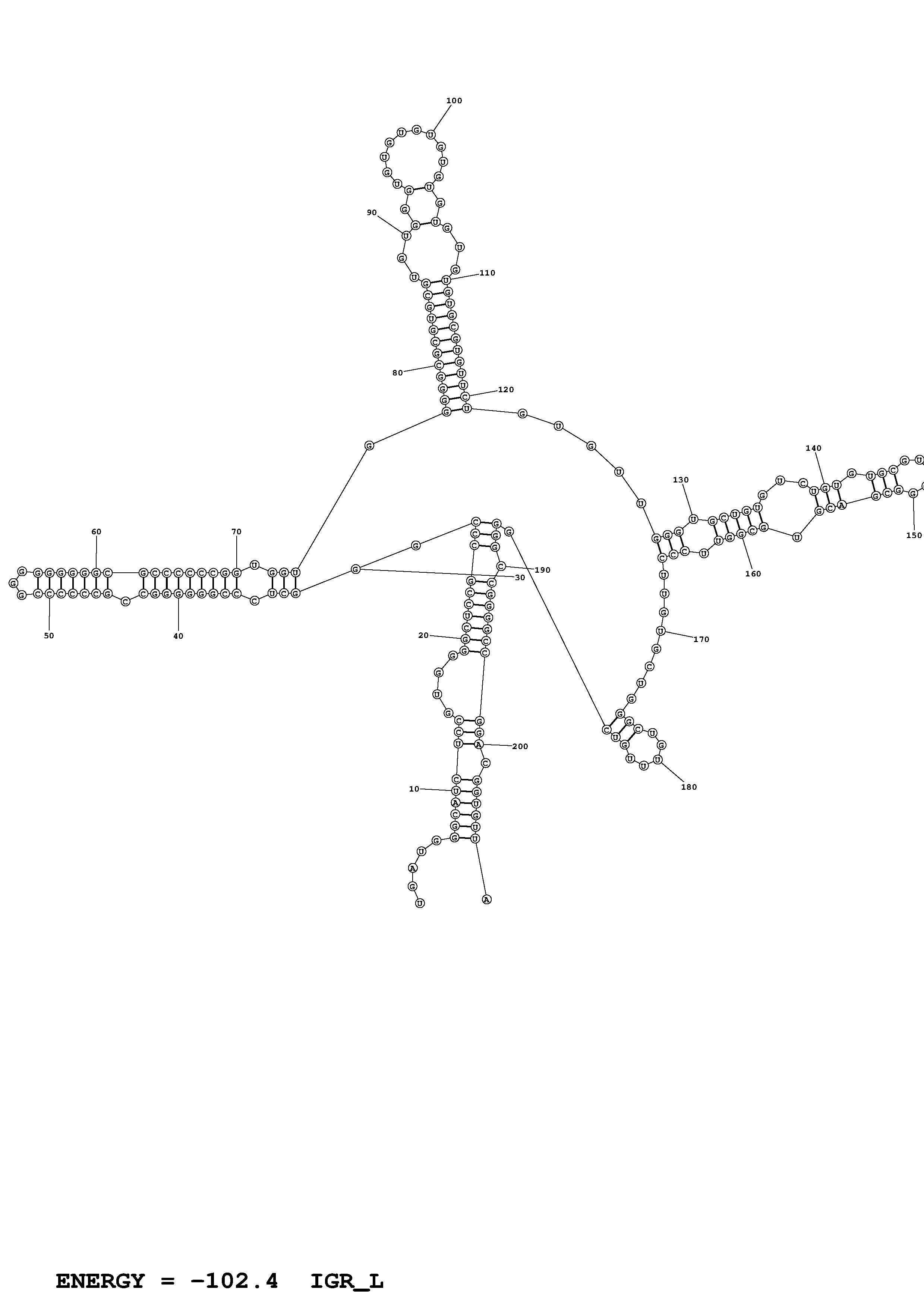
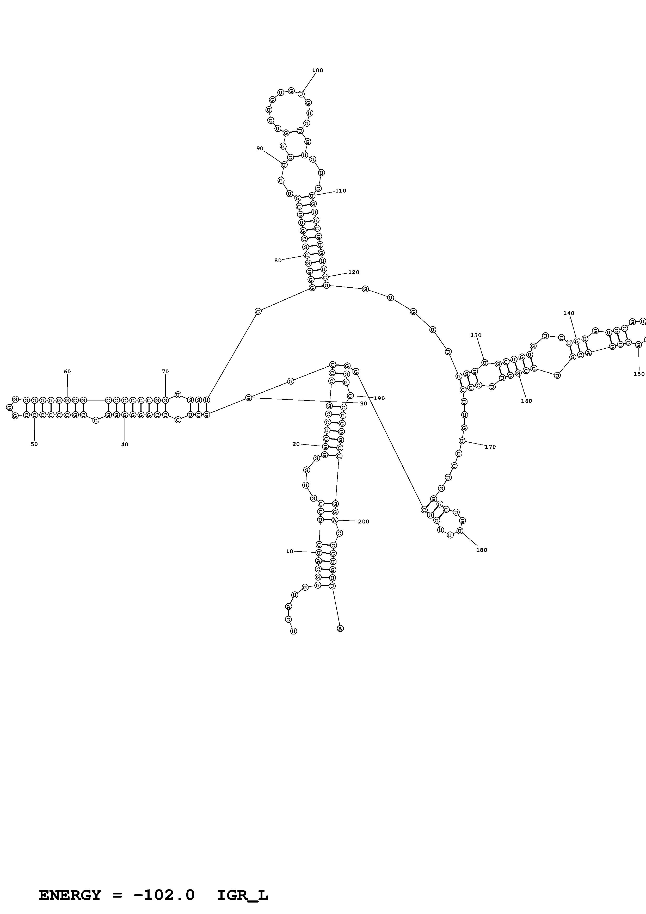
      Structure 4: PDF SVG PS JPEG PNG CT
      Structure 5: PDF SVG PS JPEG PNG CT
      Structure 6: PDF SVG PS JPEG PNG CT
      Structure 7: PDF SVG PS JPEG PNG CT
      Structure 8: PDF SVG PS JPEG PNG CT
      Structure 9: PDF SVG PS JPEG PNG CT
      Structure 10: PDF SVG PS JPEG PNG CT
      Structure 11: PDF SVG PS JPEG PNG CT
      Structure 12: PDF SVG PS JPEG PNG CT
      Structure 13: PDF SVG PS JPEG PNG CT
      Structure 14: PDF SVG PS JPEG PNG CT
      Structure 15: PDF SVG PS JPEG PNG CT
      Structure 16: PDF SVG PS JPEG PNG CT
      Structure 17: PDF SVG PS JPEG PNG CT
      Structure 18: PDF SVG PS JPEG PNG CT
      Structure 19: PDF SVG PS JPEG PNG CT
      Structure 20: PDF SVG PS JPEG PNG CT
      Structure 21: PDF SVG PS JPEG PNG CT
      Structure 22: PDF SVG PS JPEG PNG CT
      Structure 23: PDF SVG PS JPEG PNG CT
      Structure 24: PDF SVG PS JPEG PNG CT
      Structure 25: PDF SVG PS JPEG PNG CT
      Structure 26: PDF SVG PS JPEG PNG CT
      Structure 27: PDF SVG PS JPEG PNG CT
      Structure 28: PDF SVG PS JPEG PNG CT
      Structure 29: PDF SVG PS JPEG PNG CT
      Structure 30: PDF SVG PS JPEG PNG CT
      Structure 31: PDF SVG PS JPEG PNG CT
      Structure 32: PDF SVG PS JPEG PNG CT
      Structure 33: PDF SVG PS JPEG PNG CT
      Structure 34: PDF SVG PS JPEG PNG CT
      Structure 35: PDF SVG PS JPEG PNG CT
      Structure 36: PDF SVG PS JPEG PNG CT
      Structure 37: PDF SVG PS JPEG PNG CT
      Structure 38: PDF SVG PS JPEG PNG CT
      Structure 39: PDF SVG PS JPEG PNG CT
      Structure 40: PDF SVG PS JPEG PNG CT
      Structure 41: PDF SVG PS JPEG PNG CT
      Structure 42: PDF SVG PS JPEG PNG CT
      Structure 43: PDF SVG PS JPEG PNG CT
      Structure 44: PDF SVG PS JPEG PNG CT
      Structure 45: PDF SVG PS JPEG PNG CT
      Structure 46: PDF SVG PS JPEG PNG CT
      Structure 47: PDF SVG PS JPEG PNG CT
      Structure 48: PDF SVG PS JPEG PNG CT
      Structure 49: PDF SVG PS JPEG PNG CT
      Structure 50: PDF SVG PS JPEG PNG CT
      Structure 51: PDF SVG PS JPEG PNG CT
      Structure 52: PDF SVG PS JPEG PNG CT
      Structure 53: PDF SVG PS JPEG PNG CT
      Structure 54: PDF SVG PS JPEG PNG CT
      Structure 55: PDF SVG PS JPEG PNG CT
      Structure 56: PDF SVG PS JPEG PNG CT
      Structure 57: PDF SVG PS JPEG PNG CT
      Structure 58: PDF SVG PS JPEG PNG CT
      Structure 59: PDF SVG PS JPEG PNG CT
      Structure 60: PDF SVG PS JPEG PNG CT
      Structure 61: PDF SVG PS JPEG PNG CT
      Structure 62: PDF SVG PS JPEG PNG CT
      Structure 63: PDF SVG PS JPEG PNG CT
      Structure 64: PDF SVG PS JPEG PNG CT
      Structure 65: PDF SVG PS JPEG PNG CT
      Structure 66: PDF SVG PS JPEG PNG CT
      Structure 67: PDF SVG PS JPEG PNG CT
      Structure 68: PDF SVG PS JPEG PNG CT
      Structure 69: PDF SVG PS JPEG PNG CT
      Structure 70: PDF SVG PS JPEG PNG CT
      Structure 71: PDF SVG PS JPEG PNG CT
      Structure 72: PDF SVG PS JPEG PNG CT
      Structure 73: PDF SVG PS JPEG PNG CT
      Structure 74: PDF SVG PS JPEG PNG CT
      Structure 75: PDF SVG PS JPEG PNG CT
      Structure 76: PDF SVG PS JPEG PNG CT
      Structure 77: PDF SVG PS JPEG PNG CT
      Structure 78: PDF SVG PS JPEG PNG CT
      Structure 79: PDF SVG PS JPEG PNG CT
      Structure 80: PDF SVG PS JPEG PNG CT
      Structure 81: PDF SVG PS JPEG PNG CT
      Structure 82: PDF SVG PS JPEG PNG CT
      Structure 83: PDF SVG PS JPEG PNG CT
      Structure 84: PDF SVG PS JPEG PNG CT
      Structure 85: PDF SVG PS JPEG PNG CT
      Structure 86: PDF SVG PS JPEG PNG CT
      Structure 87: PDF SVG PS JPEG PNG CT
      Structure 88: PDF SVG PS JPEG PNG CT
      Structure 89: PDF SVG PS JPEG PNG CT
      Structure 90: PDF SVG PS JPEG PNG CT
      Structure 91: PDF SVG PS JPEG PNG CT
      Structure 92: PDF SVG PS JPEG PNG CT
      Structure 93: PDF SVG PS JPEG PNG CT
      Structure 94: PDF SVG PS JPEG PNG CT
      Structure 95: PDF SVG PS JPEG PNG CT
      Structure 96: PDF SVG PS JPEG PNG CT
      Structure 97: PDF SVG PS JPEG PNG CT
      Structure 98: PDF SVG PS JPEG PNG CT
      Structure 99: PDF SVG PS JPEG PNG CT
      Structure 100: PDF SVG PS JPEG PNG CT
      Structure 101: PDF SVG PS JPEG PNG CT
      Structure 102: PDF SVG PS JPEG PNG CT
      Structure 103: PDF SVG PS JPEG PNG CT
      Structure 104: PDF SVG PS JPEG PNG CT
      Structure 105: PDF SVG PS JPEG PNG CT
      Structure 106: PDF SVG PS JPEG PNG CT
      Structure 107: PDF SVG PS JPEG PNG CT
      Structure 108: PDF SVG PS JPEG PNG CT
      Structure 109: PDF SVG PS JPEG PNG CT
      Structure 110: PDF SVG PS JPEG PNG CT
      Structure 111: PDF SVG PS JPEG PNG CT
      Structure 112: PDF SVG PS JPEG PNG CT
      Structure 113: PDF SVG PS JPEG PNG CT
      Structure 114: PDF SVG PS JPEG PNG CT
      Structure 115: PDF SVG PS JPEG PNG CT
      Structure 116: PDF SVG PS JPEG PNG CT
      Structure 117: PDF SVG PS JPEG PNG CT
      Structure 118: PDF SVG PS JPEG PNG CT
      Structure 119: PDF SVG PS JPEG PNG CT
      Structure 120: PDF SVG PS JPEG PNG CT
      Structure 121: PDF SVG PS JPEG PNG CT
      Structure 122: PDF SVG PS JPEG PNG CT
      Structure 123: PDF SVG PS JPEG PNG CT
      Structure 124: PDF SVG PS JPEG PNG CT
      Structure 125: PDF SVG PS JPEG PNG CT
      Structure 126: PDF SVG PS JPEG PNG CT
      Structure 127: PDF SVG PS JPEG PNG CT
      Structure 128: PDF SVG PS JPEG PNG CT
      Structure 129: PDF SVG PS JPEG PNG CT
      Structure 130: PDF SVG PS JPEG PNG CT
      Structure 131: PDF SVG PS JPEG PNG CT
      Structure 132: PDF SVG PS JPEG PNG CT
      Structure 133: PDF SVG PS JPEG PNG CT
      Structure 134: PDF SVG PS JPEG PNG CT
      Structure 135: PDF SVG PS JPEG PNG CT
      Structure 136: PDF SVG PS JPEG PNG CT
      Structure 137: PDF SVG PS JPEG PNG CT
      Structure 138: PDF SVG PS JPEG PNG CT
      Structure 139: PDF SVG PS JPEG PNG CT
      Structure 140: PDF SVG PS JPEG PNG CT
      Structure 141: PDF SVG PS JPEG PNG CT
      Structure 142: PDF SVG PS JPEG PNG CT
      Structure 143: PDF SVG PS JPEG PNG CT
      Structure 144: PDF SVG PS JPEG PNG CT
      Structure 145: PDF SVG PS JPEG PNG CT
      Structure 146: PDF SVG PS JPEG PNG CT
      Structure 147: PDF SVG PS JPEG PNG CT
      Structure 148: PDF SVG PS JPEG PNG CT
      Structure 149: PDF SVG PS JPEG PNG CT
      Structure 150: PDF SVG PS JPEG PNG CT
      Structure 151: PDF SVG PS JPEG PNG CT
      Structure 152: PDF SVG PS JPEG PNG CT
      Structure 153: PDF SVG PS JPEG PNG CT
      Structure 154: PDF SVG PS JPEG PNG CT
      Structure 155: PDF SVG PS JPEG PNG CT
      Structure 156: PDF SVG PS JPEG PNG CT
      Structure 157: PDF SVG PS JPEG PNG CT
      Structure 158: PDF SVG PS JPEG PNG CT
      Structure 159: PDF SVG PS JPEG PNG CT
      Structure 160: PDF SVG PS JPEG PNG CT
      Structure 161: PDF SVG PS JPEG PNG CT
      Structure 162: PDF SVG PS JPEG PNG CT
      Structure 163: PDF SVG PS JPEG PNG CT
      Structure 164: PDF SVG PS JPEG PNG CT
      Structure 165: PDF SVG PS JPEG PNG CT
      Structure 166: PDF SVG PS JPEG PNG CT
      Structure 167: PDF SVG PS JPEG PNG CT
      Structure 168: PDF SVG PS JPEG PNG CT
      Structure 169: PDF SVG PS JPEG PNG CT
      Structure 170: PDF SVG PS JPEG PNG CT
      Structure 171: PDF SVG PS JPEG PNG CT
      Structure 172: PDF SVG PS JPEG PNG CT
      Structure 173: PDF SVG PS JPEG PNG CT
      Structure 174: PDF SVG PS JPEG PNG CT
      Structure 175: PDF SVG PS JPEG PNG CT
      Structure 176: PDF SVG PS JPEG PNG CT
      Structure 177: PDF SVG PS JPEG PNG CT
      Structure 178: PDF SVG PS JPEG PNG CT
      Structure 179: PDF SVG PS JPEG PNG CT
      Structure 180: PDF SVG PS JPEG PNG CT
      Structure 181: PDF SVG PS JPEG PNG CT
      Structure 182: PDF SVG PS JPEG PNG CT
      Structure 183: PDF SVG PS JPEG PNG CT
      Structure 184: PDF SVG PS JPEG PNG CT
      Structure 185: PDF SVG PS JPEG PNG CT
      Structure 186: PDF SVG PS JPEG PNG CT
      Structure 187: PDF SVG PS JPEG PNG CT
      Structure 188: PDF SVG PS JPEG PNG CT
      Structure 189: PDF SVG PS JPEG PNG CT
      Structure 190: PDF SVG PS JPEG PNG CT
      Structure 191: PDF SVG PS JPEG PNG CT
      Structure 192: PDF SVG PS JPEG PNG CT
      Structure 193: PDF SVG PS JPEG PNG CT
      Structure 194: PDF SVG PS JPEG PNG CT
      Structure 195: PDF SVG PS JPEG PNG CT
      Structure 196: PDF SVG PS JPEG PNG CT
      Structure 197: PDF SVG PS JPEG PNG CT
      Structure 198: PDF SVG PS JPEG PNG CT
      Structure 199: PDF SVG PS JPEG PNG CT
      Structure 200: PDF SVG PS JPEG PNG CT
      Structure 201: PDF SVG PS JPEG PNG CT
      Structure 202: PDF SVG PS JPEG PNG CT
      Structure 203: PDF SVG PS JPEG PNG CT
      Structure 204: PDF SVG PS JPEG PNG CT
      Structure 205: PDF SVG PS JPEG PNG CT
      Structure 206: PDF SVG PS JPEG PNG CT
      Structure 207: PDF SVG PS JPEG PNG CT
      Structure 208: PDF SVG PS JPEG PNG CT
      Structure 209: PDF SVG PS JPEG PNG CT
      Structure 210: PDF SVG PS JPEG PNG CT
      Structure 211: PDF SVG PS JPEG PNG CT
      Structure 212: PDF SVG PS JPEG PNG CT
      Structure 213: PDF SVG PS JPEG PNG CT
      Structure 214: PDF SVG PS JPEG PNG CT
      Structure 215: PDF SVG PS JPEG PNG CT
      Structure 216: PDF SVG PS JPEG PNG CT
      Structure 217: PDF SVG PS JPEG PNG CT
      Structure 218: PDF SVG PS JPEG PNG CT
      Structure 219: PDF SVG PS JPEG PNG CT
      Structure 220: PDF SVG PS JPEG PNG CT
      Structure 221: PDF SVG PS JPEG PNG CT
      Structure 222: PDF SVG PS JPEG PNG CT
      Structure 223: PDF SVG PS JPEG PNG CT
      Structure 224: PDF SVG PS JPEG PNG CT
      Structure 225: PDF SVG PS JPEG PNG CT
      Structure 226: PDF SVG PS JPEG PNG CT
      Structure 227: PDF SVG PS JPEG PNG CT
      Structure 228: PDF SVG PS JPEG PNG CT
      Structure 229: PDF SVG PS JPEG PNG CT
      Structure 230: PDF SVG PS JPEG PNG CT
      Structure 231: PDF SVG PS JPEG PNG CT
      Structure 232: PDF SVG PS JPEG PNG CT
      Structure 233: PDF SVG PS JPEG PNG CT
      Structure 234: PDF SVG PS JPEG PNG CT
      Structure 235: PDF SVG PS JPEG PNG CT
      Structure 236: PDF SVG PS JPEG PNG CT
      Structure 237: PDF SVG PS JPEG PNG CT
      Structure 238: PDF SVG PS JPEG PNG CT
      Structure 239: PDF SVG PS JPEG PNG CT
      Structure 240: PDF SVG PS JPEG PNG CT
      Structure 241: PDF SVG PS JPEG PNG CT
      Structure 242: PDF SVG PS JPEG PNG CT
      Structure 243: PDF SVG PS JPEG PNG CT
      Structure 244: PDF SVG PS JPEG PNG CT
      Structure 245: PDF SVG PS JPEG PNG CT
      Structure 246: PDF SVG PS JPEG PNG CT
      Structure 247: PDF SVG PS JPEG PNG CT
      Structure 248: PDF SVG PS JPEG PNG CT
      Structure 249: PDF SVG PS JPEG PNG CT
      Structure 250: PDF SVG PS JPEG PNG CT
      Structure 251: PDF SVG PS JPEG PNG CT
      Structure 252: PDF SVG PS JPEG PNG CT
      Structure 253: PDF SVG PS JPEG PNG CT
      Structure 254: PDF SVG PS JPEG PNG CT
      Structure 255: PDF SVG PS JPEG PNG CT
      Structure 256: PDF SVG PS JPEG PNG CT
      Structure 257: PDF SVG PS JPEG PNG CT
      Structure 258: PDF SVG PS JPEG PNG CT
      Structure 259: PDF SVG PS JPEG PNG CT
      Structure 260: PDF SVG PS JPEG PNG CT
      Structure 261: PDF SVG PS JPEG PNG CT
      Structure 262: PDF SVG PS JPEG PNG CT
      Structure 263: PDF SVG PS JPEG PNG CT
      Structure 264: PDF SVG PS JPEG PNG CT
      Structure 265: PDF SVG PS JPEG PNG CT
      Structure 266: PDF SVG PS JPEG PNG CT
      Structure 267: PDF SVG PS JPEG PNG CT
      Structure 268: PDF SVG PS JPEG PNG CT
      Structure 269: PDF SVG PS JPEG PNG CT
      Structure 270: PDF SVG PS JPEG PNG CT
      Structure 271: PDF SVG PS JPEG PNG CT
      Structure 272: PDF SVG PS JPEG PNG CT
      Structure 273: PDF SVG PS JPEG PNG CT
      Structure 274: PDF SVG PS JPEG PNG CT
      Structure 275: PDF SVG PS JPEG PNG CT
      Structure 276: PDF SVG PS JPEG PNG CT
      Structure 277: PDF SVG PS JPEG PNG CT
      Structure 278: PDF SVG PS JPEG PNG CT
      Structure 279: PDF SVG PS JPEG PNG CT
      Structure 280: PDF SVG PS JPEG PNG CT
      Structure 281: PDF SVG PS JPEG PNG CT
      Structure 282: PDF SVG PS JPEG PNG CT
      Structure 283: PDF SVG PS JPEG PNG CT
      Structure 284: PDF SVG PS JPEG PNG CT
      Structure 285: PDF SVG PS JPEG PNG CT
      Structure 286: PDF SVG PS JPEG PNG CT
      Structure 287: PDF SVG PS JPEG PNG CT
      Structure 288: PDF SVG PS JPEG PNG CT
      Structure 289: PDF SVG PS JPEG PNG CT
      Structure 290: PDF SVG PS JPEG PNG CT
      Structure 291: PDF SVG PS JPEG PNG CT
      Structure 292: PDF SVG PS JPEG PNG CT
      Structure 293: PDF SVG PS JPEG PNG CT
      Structure 294: PDF SVG PS JPEG PNG CT
      Structure 295: PDF SVG PS JPEG PNG CT
      Structure 296: PDF SVG PS JPEG PNG CT
      Structure 297: PDF SVG PS JPEG PNG CT
      Structure 298: PDF SVG PS JPEG PNG CT
      Structure 299: PDF SVG PS JPEG PNG CT
      Structure 300: PDF SVG PS JPEG PNG CT
      Structure 301: PDF SVG PS JPEG PNG CT
      Structure 302: PDF SVG PS JPEG PNG CT
      Structure 303: PDF SVG PS JPEG PNG CT
      Structure 304: PDF SVG PS JPEG PNG CT
      Structure 305: PDF SVG PS JPEG PNG CT
      Structure 306: PDF SVG PS JPEG PNG CT
      Structure 307: PDF SVG PS JPEG PNG CT
      Structure 308: PDF SVG PS JPEG PNG CT
      Structure 309: PDF SVG PS JPEG PNG CT
      Structure 310: PDF SVG PS JPEG PNG CT
      Structure 311: PDF SVG PS JPEG PNG CT
      Structure 312: PDF SVG PS JPEG PNG CT
      Structure 313: PDF SVG PS JPEG PNG CT
      Structure 314: PDF SVG PS JPEG PNG CT
      Structure 315: PDF SVG PS JPEG PNG CT
      Structure 316: PDF SVG PS JPEG PNG CT
      Structure 317: PDF SVG PS JPEG PNG CT
      Structure 318: PDF SVG PS JPEG PNG CT
      Structure 319: PDF SVG PS JPEG PNG CT
      Structure 320: PDF SVG PS JPEG PNG CT
      Structure 321: PDF SVG PS JPEG PNG CT
      Structure 322: PDF SVG PS JPEG PNG CT
      Structure 323: PDF SVG PS JPEG PNG CT
      Structure 324: PDF SVG PS JPEG PNG CT
      Structure 325: PDF SVG PS JPEG PNG CT
      Structure 326: PDF SVG PS JPEG PNG CT
      Structure 327: PDF SVG PS JPEG PNG CT
      Structure 328: PDF SVG PS JPEG PNG CT
      Structure 329: PDF SVG PS JPEG PNG CT
      Structure 330: PDF SVG PS JPEG PNG CT
      Structure 331: PDF SVG PS JPEG PNG CT
      Structure 332: PDF SVG PS JPEG PNG CT
      Structure 333: PDF SVG PS JPEG PNG CT
      Structure 334: PDF SVG PS JPEG PNG CT
      Structure 335: PDF SVG PS JPEG PNG CT
      Structure 336: PDF SVG PS JPEG PNG CT
      Structure 337: PDF SVG PS JPEG PNG CT
      Structure 338: PDF SVG PS JPEG PNG CT
      Structure 339: PDF SVG PS JPEG PNG CT
      Structure 340: PDF SVG PS JPEG PNG CT
      Structure 341: PDF SVG PS JPEG PNG CT
      Structure 342: PDF SVG PS JPEG PNG CT
      Structure 343: PDF SVG PS JPEG PNG CT
      Structure 344: PDF SVG PS JPEG PNG CT
      Structure 345: PDF SVG PS JPEG PNG CT
      Structure 346: PDF SVG PS JPEG PNG CT
      Structure 347: PDF SVG PS JPEG PNG CT
      Structure 348: PDF SVG PS JPEG PNG CT
      Structure 349: PDF SVG PS JPEG PNG CT
      Structure 350: PDF SVG PS JPEG PNG CT
      Structure 351: PDF SVG PS JPEG PNG CT
      Structure 352: PDF SVG PS JPEG PNG CT
      Structure 353: PDF SVG PS JPEG PNG CT
      Structure 354: PDF SVG PS JPEG PNG CT
      Structure 355: PDF SVG PS JPEG PNG CT
      Structure 356: PDF SVG PS JPEG PNG CT
      Structure 357: PDF SVG PS JPEG PNG CT
      Structure 358: PDF SVG PS JPEG PNG CT
      Structure 359: PDF SVG PS JPEG PNG CT
      Structure 360: PDF SVG PS JPEG PNG CT
      Structure 361: PDF SVG PS JPEG PNG CT
      Structure 362: PDF SVG PS JPEG PNG CT
      Structure 363: PDF SVG PS JPEG PNG CT
      Structure 364: PDF SVG PS JPEG PNG CT
      Structure 365: PDF SVG PS JPEG PNG CT
      Structure 366: PDF SVG PS JPEG PNG CT
      Structure 367: PDF SVG PS JPEG PNG CT
      Structure 368: PDF SVG PS JPEG PNG CT
      Structure 369: PDF SVG PS JPEG PNG CT
      Structure 370: PDF SVG PS JPEG PNG CT
      Structure 371: PDF SVG PS JPEG PNG CT
      Structure 372: PDF SVG PS JPEG PNG CT
      Structure 373: PDF SVG PS JPEG PNG CT
      Structure 374: PDF SVG PS JPEG PNG CT
      Structure 375: PDF SVG PS JPEG PNG CT
      Structure 376: PDF SVG PS JPEG PNG CT
      Structure 377: PDF SVG PS JPEG PNG CT
      Structure 378: PDF SVG PS JPEG PNG CT
      Structure 379: PDF SVG PS JPEG PNG CT
      Structure 380: PDF SVG PS JPEG PNG CT
      Structure 381: PDF SVG PS JPEG PNG CT
      Structure 382: PDF SVG PS JPEG PNG CT
      Structure 383: PDF SVG PS JPEG PNG CT
      Structure 384: PDF SVG PS JPEG PNG CT
      Structure 385: PDF SVG PS JPEG PNG CT
      Structure 386: PDF SVG PS JPEG PNG CT
      Structure 387: PDF SVG PS JPEG PNG CT
      Structure 388: PDF SVG PS JPEG PNG CT
      Structure 389: PDF SVG PS JPEG PNG CT
      Structure 390: PDF SVG PS JPEG PNG CT
      Structure 391: PDF SVG PS JPEG PNG CT
      Structure 392: PDF SVG PS JPEG PNG CT
      Structure 393: PDF SVG PS JPEG PNG CT
      Structure 394: PDF SVG PS JPEG PNG CT
      Structure 395: PDF SVG PS JPEG PNG CT
      Structure 396: PDF SVG PS JPEG PNG CT
      Structure 397: PDF SVG PS JPEG PNG CT
      Structure 398: PDF SVG PS JPEG PNG CT
      Structure 399: PDF SVG PS JPEG PNG CT
      Structure 400: PDF SVG PS JPEG PNG CT
      Structure 401: PDF SVG PS JPEG PNG CT
      Structure 402: PDF SVG PS JPEG PNG CT
      Structure 403: PDF SVG PS JPEG PNG CT
      Structure 404: PDF SVG PS JPEG PNG CT
      Structure 405: PDF SVG PS JPEG PNG CT
      Structure 406: PDF SVG PS JPEG PNG CT
      Structure 407: PDF SVG PS JPEG PNG CT
      Structure 408: PDF SVG PS JPEG PNG CT
      Structure 409: PDF SVG PS JPEG PNG CT
      Structure 410: PDF SVG PS JPEG PNG CT
      Structure 411: PDF SVG PS JPEG PNG CT
      Structure 412: PDF SVG PS JPEG PNG CT
      Structure 413: PDF SVG PS JPEG PNG CT
      Structure 414: PDF SVG PS JPEG PNG CT
      Structure 415: PDF SVG PS JPEG PNG CT
      Structure 416: PDF SVG PS JPEG PNG CT
      Structure 417: PDF SVG PS JPEG PNG CT
      Structure 418: PDF SVG PS JPEG PNG CT
      Structure 419: PDF SVG PS JPEG PNG CT
      Structure 420: PDF SVG PS JPEG PNG CT
      Structure 421: PDF SVG PS JPEG PNG CT
      Structure 422: PDF SVG PS JPEG PNG CT
      Structure 423: PDF SVG PS JPEG PNG CT
      Structure 424: PDF SVG PS JPEG PNG CT
      Structure 425: PDF SVG PS JPEG PNG CT
      Structure 426: PDF SVG PS JPEG PNG CT
      Structure 427: PDF SVG PS JPEG PNG CT
      Structure 428: PDF SVG PS JPEG PNG CT
      Structure 429: PDF SVG PS JPEG PNG CT
      Structure 430: PDF SVG PS JPEG PNG CT
      Structure 431: PDF SVG PS JPEG PNG CT
      Structure 432: PDF SVG PS JPEG PNG CT
      Structure 433: PDF SVG PS JPEG PNG CT
      Structure 434: PDF SVG PS JPEG PNG CT
      Structure 435: PDF SVG PS JPEG PNG CT
      Structure 436: PDF SVG PS JPEG PNG CT
      Structure 437: PDF SVG PS JPEG PNG CT
      Structure 438: PDF SVG PS JPEG PNG CT
      Structure 439: PDF SVG PS JPEG PNG CT
      Structure 440: PDF SVG PS JPEG PNG CT
      Structure 441: PDF SVG PS JPEG PNG CT
      Structure 442: PDF SVG PS JPEG PNG CT
      Structure 443: PDF SVG PS JPEG PNG CT
      Structure 444: PDF SVG PS JPEG PNG CT
      Structure 445: PDF SVG PS JPEG PNG CT
      Structure 446: PDF SVG PS JPEG PNG CT
      Structure 447: PDF SVG PS JPEG PNG CT
      Structure 448: PDF SVG PS JPEG PNG CT
      Structure 449: PDF SVG PS JPEG PNG CT
      Structure 450: PDF SVG PS JPEG PNG CT
      Structure 451: PDF SVG PS JPEG PNG CT
      Structure 452: PDF SVG PS JPEG PNG CT
      Structure 453: PDF SVG PS JPEG PNG CT
      Structure 454: PDF SVG PS JPEG PNG CT
      Structure 455: PDF SVG PS JPEG PNG CT
      Structure 456: PDF SVG PS JPEG PNG CT
      Structure 457: PDF SVG PS JPEG PNG CT
      Structure 458: PDF SVG PS JPEG PNG CT
      Structure 459: PDF SVG PS JPEG PNG CT
      Structure 460: PDF SVG PS JPEG PNG CT
      Structure 461: PDF SVG PS JPEG PNG CT
      Structure 462: PDF SVG PS JPEG PNG CT
      Structure 463: PDF SVG PS JPEG PNG CT
      Structure 464: PDF SVG PS JPEG PNG CT
      Structure 465: PDF SVG PS JPEG PNG CT
      Structure 466: PDF SVG PS JPEG PNG CT
      Structure 467: PDF SVG PS JPEG PNG CT
      Structure 468: PDF SVG PS JPEG PNG CT
      Structure 469: PDF SVG PS JPEG PNG CT
      Structure 470: PDF SVG PS JPEG PNG CT
      Structure 471: PDF SVG PS JPEG PNG CT
      Structure 472: PDF SVG PS JPEG PNG CT
      Structure 473: PDF SVG PS JPEG PNG CT
      Structure 474: PDF SVG PS JPEG PNG CT
      Structure 475: PDF SVG PS JPEG PNG CT
      Structure 476: PDF SVG PS JPEG PNG CT
      Structure 477: PDF SVG PS JPEG PNG CT
      Structure 478: PDF SVG PS JPEG PNG CT
      Structure 479: PDF SVG PS JPEG PNG CT
      Structure 480: PDF SVG PS JPEG PNG CT
      Structure 481: PDF SVG PS JPEG PNG CT
      Structure 482: PDF SVG PS JPEG PNG CT
      Structure 483: PDF SVG PS JPEG PNG CT
      Structure 484: PDF SVG PS JPEG PNG CT
      Structure 485: PDF SVG PS JPEG PNG CT
      Structure 486: PDF SVG PS JPEG PNG CT
      Structure 487: PDF SVG PS JPEG PNG CT
      Structure 488: PDF SVG PS JPEG PNG CT
      Structure 489: PDF SVG PS JPEG PNG CT
      Structure 490: PDF SVG PS JPEG PNG CT
      Structure 491: PDF SVG PS JPEG PNG CT
      Structure 492: PDF SVG PS JPEG PNG CT
      Structure 493: PDF SVG PS JPEG PNG CT
      Structure 494: PDF SVG PS JPEG PNG CT
      Structure 495: PDF SVG PS JPEG PNG CT
      Structure 496: PDF SVG PS JPEG PNG CT
      Structure 497: PDF SVG PS JPEG PNG CT
      Structure 498: PDF SVG PS JPEG PNG CT
      Structure 499: PDF SVG PS JPEG PNG CT
      Structure 500: PDF SVG PS JPEG PNG CT
      Structure 501: PDF SVG PS JPEG PNG CT
      Structure 502: PDF SVG PS JPEG PNG CT
      Structure 503: PDF SVG PS JPEG PNG CT
      Structure 504: PDF SVG PS JPEG PNG CT
      Structure 505: PDF SVG PS JPEG PNG CT
      Structure 506: PDF SVG PS JPEG PNG CT
      Structure 507: PDF SVG PS JPEG PNG CT
      Structure 508: PDF SVG PS JPEG PNG CT
      Structure 509: PDF SVG PS JPEG PNG CT
      Structure 510: PDF SVG PS JPEG PNG CT
      Structure 511: PDF SVG PS JPEG PNG CT
      Structure 512: PDF SVG PS JPEG PNG CT
      Structure 513: PDF SVG PS JPEG PNG CT
      Structure 514: PDF SVG PS JPEG PNG CT
      Structure 515: PDF SVG PS JPEG PNG CT
      Structure 516: PDF SVG PS JPEG PNG CT
      Structure 517: PDF SVG PS JPEG PNG CT
      Structure 518: PDF SVG PS JPEG PNG CT
      Structure 519: PDF SVG PS JPEG PNG CT
      Structure 520: PDF SVG PS JPEG PNG CT
      Structure 521: PDF SVG PS JPEG PNG CT
      Structure 522: PDF SVG PS JPEG PNG CT
      Structure 523: PDF SVG PS JPEG PNG CT
      Structure 524: PDF SVG PS JPEG PNG CT
      Structure 525: PDF SVG PS JPEG PNG CT
      Structure 526: PDF SVG PS JPEG PNG CT
      Structure 527: PDF SVG PS JPEG PNG CT
      Structure 528: PDF SVG PS JPEG PNG CT
      Structure 529: PDF SVG PS JPEG PNG CT
      Structure 530: PDF SVG PS JPEG PNG CT
      Structure 531: PDF SVG PS JPEG PNG CT
      Structure 532: PDF SVG PS JPEG PNG CT
      Structure 533: PDF SVG PS JPEG PNG CT
      Structure 534: PDF SVG PS JPEG PNG CT
      Structure 535: PDF SVG PS JPEG PNG CT
      Structure 536: PDF SVG PS JPEG PNG CT
      Structure 537: PDF SVG PS JPEG PNG CT
      Structure 538: PDF SVG PS JPEG PNG CT
      Structure 539: PDF SVG PS JPEG PNG CT
      Structure 540: PDF SVG PS JPEG PNG CT
      Structure 541: PDF SVG PS JPEG PNG CT
      Structure 542: PDF SVG PS JPEG PNG CT
      Structure 543: PDF SVG PS JPEG PNG CT
      Structure 544: PDF SVG PS JPEG PNG CT
      Structure 545: PDF SVG PS JPEG PNG CT
      Structure 546: PDF SVG PS JPEG PNG CT
      Structure 547: PDF SVG PS JPEG PNG CT
      Structure 548: PDF SVG PS JPEG PNG CT
      Structure 549: PDF SVG PS JPEG PNG CT
      Structure 550: PDF SVG PS JPEG PNG CT
      Structure 551: PDF SVG PS JPEG PNG CT
      Structure 552: PDF SVG PS JPEG PNG CT
      Structure 553: PDF SVG PS JPEG PNG CT
      Structure 554: PDF SVG PS JPEG PNG CT
      Structure 555: PDF SVG PS JPEG PNG CT
      Structure 556: PDF SVG PS JPEG PNG CT
      Structure 557: PDF SVG PS JPEG PNG CT
      Structure 558: PDF SVG PS JPEG PNG CT
      Structure 559: PDF SVG PS JPEG PNG CT
      Structure 560: PDF SVG PS JPEG PNG CT
      Structure 561: PDF SVG PS JPEG PNG CT
      Structure 562: PDF SVG PS JPEG PNG CT
      Structure 563: PDF SVG PS JPEG PNG CT
      Structure 564: PDF SVG PS JPEG PNG CT
      Structure 565: PDF SVG PS JPEG PNG CT
      Structure 566: PDF SVG PS JPEG PNG CT
      Structure 567: PDF SVG PS JPEG PNG CT
      Structure 568: PDF SVG PS JPEG PNG CT
      Structure 569: PDF SVG PS JPEG PNG CT
      Structure 570: PDF SVG PS JPEG PNG CT
      Structure 571: PDF SVG PS JPEG PNG CT
      Structure 572: PDF SVG PS JPEG PNG CT
      Structure 573: PDF SVG PS JPEG PNG CT
      Structure 574: PDF SVG PS JPEG PNG CT
      Structure 575: PDF SVG PS JPEG PNG CT
      Structure 576: PDF SVG PS JPEG PNG CT
      Structure 577: PDF SVG PS JPEG PNG CT
      Structure 578: PDF SVG PS JPEG PNG CT
      Structure 579: PDF SVG PS JPEG PNG CT
      Structure 580: PDF SVG PS JPEG PNG CT
      Structure 581: PDF SVG PS JPEG PNG CT
      Structure 582: PDF SVG PS JPEG PNG CT
      Structure 583: PDF SVG PS JPEG PNG CT
      Structure 584: PDF SVG PS JPEG PNG CT
      Structure 585: PDF SVG PS JPEG PNG CT
      Structure 586: PDF SVG PS JPEG PNG CT
      Structure 587: PDF SVG PS JPEG PNG CT
      Structure 588: PDF SVG PS JPEG PNG CT
      Structure 589: PDF SVG PS JPEG PNG CT
      Structure 590: PDF SVG PS JPEG PNG CT
      Structure 591: PDF SVG PS JPEG PNG CT
      Structure 592: PDF SVG PS JPEG PNG CT
      Structure 593: PDF SVG PS JPEG PNG CT
      Structure 594: PDF SVG PS JPEG PNG CT
      Structure 595: PDF SVG PS JPEG PNG CT
      Structure 596: PDF SVG PS JPEG PNG CT
      Structure 597: PDF SVG PS JPEG PNG CT
      Structure 598: PDF SVG PS JPEG PNG CT
      Structure 599: PDF SVG PS JPEG PNG CT
      Structure 600: PDF SVG PS JPEG PNG CT
      Structure 601: PDF SVG PS JPEG PNG CT
      Structure 602: PDF SVG PS JPEG PNG CT
      Structure 603: PDF SVG PS JPEG PNG CT
      Structure 604: PDF SVG PS JPEG PNG CT
      Structure 605: PDF SVG PS JPEG PNG CT
      Structure 606: PDF SVG PS JPEG PNG CT
      Structure 607: PDF SVG PS JPEG PNG CT
      Structure 608: PDF SVG PS JPEG PNG CT
      Structure 609: PDF SVG PS JPEG PNG CT
      Structure 610: PDF SVG PS JPEG PNG CT
      Structure 611: PDF SVG PS JPEG PNG CT
      Structure 612: PDF SVG PS JPEG PNG CT
      Structure 613: PDF SVG PS JPEG PNG CT
      Structure 614: PDF SVG PS JPEG PNG CT
      Structure 615: PDF SVG PS JPEG PNG CT
      Structure 616: PDF SVG PS JPEG PNG CT
      Structure 617: PDF SVG PS JPEG PNG CT
      Structure 618: PDF SVG PS JPEG PNG CT
      Structure 619: PDF SVG PS JPEG PNG CT
      Structure 620: PDF SVG PS JPEG PNG CT
      Structure 621: PDF SVG PS JPEG PNG CT
      Structure 622: PDF SVG PS JPEG PNG CT
      Structure 623: PDF SVG PS JPEG PNG CT
      Structure 624: PDF SVG PS JPEG PNG CT
      Structure 625: PDF SVG PS JPEG PNG CT
      Structure 626: PDF SVG PS JPEG PNG CT
      Structure 627: PDF SVG PS JPEG PNG CT
      Structure 628: PDF SVG PS JPEG PNG CT
      Structure 629: PDF SVG PS JPEG PNG CT
      Structure 630: PDF SVG PS JPEG PNG CT
      Structure 631: PDF SVG PS JPEG PNG CT
      Structure 632: PDF SVG PS JPEG PNG CT
      Structure 633: PDF SVG PS JPEG PNG CT
      Structure 634: PDF SVG PS JPEG PNG CT
      Structure 635: PDF SVG PS JPEG PNG CT
      Structure 636: PDF SVG PS JPEG PNG CT
      Structure 637: PDF SVG PS JPEG PNG CT
      Structure 638: PDF SVG PS JPEG PNG CT
      Structure 639: PDF SVG PS JPEG PNG CT
      Structure 640: PDF SVG PS JPEG PNG CT
      Structure 641: PDF SVG PS JPEG PNG CT
      Structure 642: PDF SVG PS JPEG PNG CT
      Structure 643: PDF SVG PS JPEG PNG CT
      Structure 644: PDF SVG PS JPEG PNG CT
      Structure 645: PDF SVG PS JPEG PNG CT
      Structure 646: PDF SVG PS JPEG PNG CT
      Structure 647: PDF SVG PS JPEG PNG CT
      Structure 648: PDF SVG PS JPEG PNG CT
      Structure 649: PDF SVG PS JPEG PNG CT
      Structure 650: PDF SVG PS JPEG PNG CT
      Structure 651: PDF SVG PS JPEG PNG CT
      Structure 652: PDF SVG PS JPEG PNG CT
      Structure 653: PDF SVG PS JPEG PNG CT
      Structure 654: PDF SVG PS JPEG PNG CT
      Structure 655: PDF SVG PS JPEG PNG CT
      Structure 656: PDF SVG PS JPEG PNG CT
      Structure 657: PDF SVG PS JPEG PNG CT
      Structure 658: PDF SVG PS JPEG PNG CT
      Structure 659: PDF SVG PS JPEG PNG CT
      Structure 660: PDF SVG PS JPEG PNG CT
      Structure 661: PDF SVG PS JPEG PNG CT
      Structure 662: PDF SVG PS JPEG PNG CT
      Structure 663: PDF SVG PS JPEG PNG CT
      Structure 664: PDF SVG PS JPEG PNG CT
      Structure 665: PDF SVG PS JPEG PNG CT
      Structure 666: PDF SVG PS JPEG PNG CT
      Structure 667: PDF SVG PS JPEG PNG CT
      Structure 668: PDF SVG PS JPEG PNG CT
      Structure 669: PDF SVG PS JPEG PNG CT
      Structure 670: PDF SVG PS JPEG PNG CT
      Structure 671: PDF SVG PS JPEG PNG CT
      Structure 672: PDF SVG PS JPEG PNG CT
      Structure 673: PDF SVG PS JPEG PNG CT
      Structure 674: PDF SVG PS JPEG PNG CT
      Structure 675: PDF SVG PS JPEG PNG CT
      Structure 676: PDF SVG PS JPEG PNG CT
      Structure 677: PDF SVG PS JPEG PNG CT
      Structure 678: PDF SVG PS JPEG PNG CT
      Structure 679: PDF SVG PS JPEG PNG CT
      Structure 680: PDF SVG PS JPEG PNG CT
      Structure 681: PDF SVG PS JPEG PNG CT
      Structure 682: PDF SVG PS JPEG PNG CT
      Structure 683: PDF SVG PS JPEG PNG CT
      Structure 684: PDF SVG PS JPEG PNG CT
      Structure 685: PDF SVG PS JPEG PNG CT
      Structure 686: PDF SVG PS JPEG PNG CT
      Structure 687: PDF SVG PS JPEG PNG CT
      Structure 688: PDF SVG PS JPEG PNG CT
      Structure 689: PDF SVG PS JPEG PNG CT
      Structure 690: PDF SVG PS JPEG PNG CT
      Structure 691: PDF SVG PS JPEG PNG CT
      Structure 692: PDF SVG PS JPEG PNG CT
      Structure 693: PDF SVG PS JPEG PNG CT
      Structure 694: PDF SVG PS JPEG PNG CT
      Structure 695: PDF SVG PS JPEG PNG CT
      Structure 696: PDF SVG PS JPEG PNG CT
      Structure 697: PDF SVG PS JPEG PNG CT
      Structure 698: PDF SVG PS JPEG PNG CT
      Structure 699: PDF SVG PS JPEG PNG CT
      Structure 700: PDF SVG PS JPEG PNG CT
      Structure 701: PDF SVG PS JPEG PNG CT
      Structure 702: PDF SVG PS JPEG PNG CT
      Structure 703: PDF SVG PS JPEG PNG CT
      Structure 704: PDF SVG PS JPEG PNG CT
      Structure 705: PDF SVG PS JPEG PNG CT
      Structure 706: PDF SVG PS JPEG PNG CT
      Structure 707: PDF SVG PS JPEG PNG CT
      Structure 708: PDF SVG PS JPEG PNG CT
      Structure 709: PDF SVG PS JPEG PNG CT
      Structure 710: PDF SVG PS JPEG PNG CT
      Structure 711: PDF SVG PS JPEG PNG CT
      Structure 712: PDF SVG PS JPEG PNG CT
      Structure 713: PDF SVG PS JPEG PNG CT
      Structure 714: PDF SVG PS JPEG PNG CT
      Structure 715: PDF SVG PS JPEG PNG CT
      Structure 716: PDF SVG PS JPEG PNG CT
      Structure 717: PDF SVG PS JPEG PNG CT
      Structure 718: PDF SVG PS JPEG PNG CT
      Structure 719: PDF SVG PS JPEG PNG CT
      Structure 720: PDF SVG PS JPEG PNG CT
      Structure 721: PDF SVG PS JPEG PNG CT
      Structure 722: PDF SVG PS JPEG PNG CT
      Structure 723: PDF SVG PS JPEG PNG CT
      Structure 724: PDF SVG PS JPEG PNG CT
      Structure 725: PDF SVG PS JPEG PNG CT
      Structure 726: PDF SVG PS JPEG PNG CT
      Structure 727: PDF SVG PS JPEG PNG CT
      Structure 728: PDF SVG PS JPEG PNG CT
      Structure 729: PDF SVG PS JPEG PNG CT
      Structure 730: PDF SVG PS JPEG PNG CT
      Structure 731: PDF SVG PS JPEG PNG CT
      Structure 732: PDF SVG PS JPEG PNG CT
      Structure 733: PDF SVG PS JPEG PNG CT
      Structure 734: PDF SVG PS JPEG PNG CT
      Structure 735: PDF SVG PS JPEG PNG CT
      Structure 736: PDF SVG PS JPEG PNG CT
      Structure 737: PDF SVG PS JPEG PNG CT
      Structure 738: PDF SVG PS JPEG PNG CT
      Structure 739: PDF SVG PS JPEG PNG CT
      Structure 740: PDF SVG PS JPEG PNG CT
      Structure 741: PDF SVG PS JPEG PNG CT
      Structure 742: PDF SVG PS JPEG PNG CT
      Structure 743: PDF SVG PS JPEG PNG CT
      Structure 744: PDF SVG PS JPEG PNG CT
      Structure 745: PDF SVG PS JPEG PNG CT
      Structure 746: PDF SVG PS JPEG PNG CT
      Structure 747: PDF SVG PS JPEG PNG CT
      Structure 748: PDF SVG PS JPEG PNG CT
      Structure 749: PDF SVG PS JPEG PNG CT
      Structure 750: PDF SVG PS JPEG PNG CT
      Structure 751: PDF SVG PS JPEG PNG CT
      Structure 752: PDF SVG PS JPEG PNG CT
      Structure 753: PDF SVG PS JPEG PNG CT
      Structure 754: PDF SVG PS JPEG PNG CT
      Structure 755: PDF SVG PS JPEG PNG CT
      Structure 756: PDF SVG PS JPEG PNG CT
      Structure 757: PDF SVG PS JPEG PNG CT
      Structure 758: PDF SVG PS JPEG PNG CT
      Structure 759: PDF SVG PS JPEG PNG CT
      Structure 760: PDF SVG PS JPEG PNG CT
      Structure 761: PDF SVG PS JPEG PNG CT
      Structure 762: PDF SVG PS JPEG PNG CT
      Structure 763: PDF SVG PS JPEG PNG CT
      Structure 764: PDF SVG PS JPEG PNG CT
      Structure 765: PDF SVG PS JPEG PNG CT
      Structure 766: PDF SVG PS JPEG PNG CT
      Structure 767: PDF SVG PS JPEG PNG CT
      Structure 768: PDF SVG PS JPEG PNG CT
      Structure 769: PDF SVG PS JPEG PNG CT
      Structure 770: PDF SVG PS JPEG PNG CT
      Structure 771: PDF SVG PS JPEG PNG CT
      Structure 772: PDF SVG PS JPEG PNG CT
      Structure 773: PDF SVG PS JPEG PNG CT
      Structure 774: PDF SVG PS JPEG PNG CT
      Structure 775: PDF SVG PS JPEG PNG CT
      Structure 776: PDF SVG PS JPEG PNG CT
      Structure 777: PDF SVG PS JPEG PNG CT
      Structure 778: PDF SVG PS JPEG PNG CT
      Structure 779: PDF SVG PS JPEG PNG CT
      Structure 780: PDF SVG PS JPEG PNG CT
      Structure 781: PDF SVG PS JPEG PNG CT
      Structure 782: PDF SVG PS JPEG PNG CT
      Structure 783: PDF SVG PS JPEG PNG CT
      Structure 784: PDF SVG PS JPEG PNG CT
      Structure 785: PDF SVG PS JPEG PNG CT
      Structure 786: PDF SVG PS JPEG PNG CT
      Structure 787: PDF SVG PS JPEG PNG CT
      Structure 788: PDF SVG PS JPEG PNG CT
      Structure 789: PDF SVG PS JPEG PNG CT
      Structure 790: PDF SVG PS JPEG PNG CT
      Structure 791: PDF SVG PS JPEG PNG CT
      Structure 792: PDF SVG PS JPEG PNG CT
      Structure 793: PDF SVG PS JPEG PNG CT
      Structure 794: PDF SVG PS JPEG PNG CT
      Structure 795: PDF SVG PS JPEG PNG CT
      Structure 796: PDF SVG PS JPEG PNG CT
      Structure 797: PDF SVG PS JPEG PNG CT
      Structure 798: PDF SVG PS JPEG PNG CT
      Structure 799: PDF SVG PS JPEG PNG CT
      Structure 800: PDF SVG PS JPEG PNG CT
      Structure 801: PDF SVG PS JPEG PNG CT
      Structure 802: PDF SVG PS JPEG PNG CT
      Structure 803: PDF SVG PS JPEG PNG CT
      Structure 804: PDF SVG PS JPEG PNG CT
      Structure 805: PDF SVG PS JPEG PNG CT
      Structure 806: PDF SVG PS JPEG PNG CT
      Structure 807: PDF SVG PS JPEG PNG CT
      Structure 808: PDF SVG PS JPEG PNG CT
      Structure 809: PDF SVG PS JPEG PNG CT
      Structure 810: PDF SVG PS JPEG PNG CT
      Structure 811: PDF SVG PS JPEG PNG CT
      Structure 812: PDF SVG PS JPEG PNG CT
      Structure 813: PDF SVG PS JPEG PNG CT
      Structure 814: PDF SVG PS JPEG PNG CT
      Structure 815: PDF SVG PS JPEG PNG CT
      Structure 816: PDF SVG PS JPEG PNG CT
      Structure 817: PDF SVG PS JPEG PNG CT
      Structure 818: PDF SVG PS JPEG PNG CT
      Structure 819: PDF SVG PS JPEG PNG CT
      Structure 820: PDF SVG PS JPEG PNG CT
      Structure 821: PDF SVG PS JPEG PNG CT
      Structure 822: PDF SVG PS JPEG PNG CT
      Structure 823: PDF SVG PS JPEG PNG CT
      Structure 824: PDF SVG PS JPEG PNG CT
      Structure 825: PDF SVG PS JPEG PNG CT
      Structure 826: PDF SVG PS JPEG PNG CT
      Structure 827: PDF SVG PS JPEG PNG CT
      Structure 828: PDF SVG PS JPEG PNG CT
      Structure 829: PDF SVG PS JPEG PNG CT
      Structure 830: PDF SVG PS JPEG PNG CT
      Structure 831: PDF SVG PS JPEG PNG CT
      Structure 832: PDF SVG PS JPEG PNG CT
      Structure 833: PDF SVG PS JPEG PNG CT
      Structure 834: PDF SVG PS JPEG PNG CT
      Structure 835: PDF SVG PS JPEG PNG CT
      Structure 836: PDF SVG PS JPEG PNG CT
      Structure 837: PDF SVG PS JPEG PNG CT
      Structure 838: PDF SVG PS JPEG PNG CT
      Structure 839: PDF SVG PS JPEG PNG CT
      Structure 840: PDF SVG PS JPEG PNG CT
      Structure 841: PDF SVG PS JPEG PNG CT
      Structure 842: PDF SVG PS JPEG PNG CT
      Structure 843: PDF SVG PS JPEG PNG CT
      Structure 844: PDF SVG PS JPEG PNG CT
      Structure 845: PDF SVG PS JPEG PNG CT
      Structure 846: PDF SVG PS JPEG PNG CT
      Structure 847: PDF SVG PS JPEG PNG CT
      Structure 848: PDF SVG PS JPEG PNG CT
      Structure 849: PDF SVG PS JPEG PNG CT
      Structure 850: PDF SVG PS JPEG PNG CT
      Structure 851: PDF SVG PS JPEG PNG CT
      Structure 852: PDF SVG PS JPEG PNG CT
      Structure 853: PDF SVG PS JPEG PNG CT
      Structure 854: PDF SVG PS JPEG PNG CT
      Structure 855: PDF SVG PS JPEG PNG CT
      Structure 856: PDF SVG PS JPEG PNG CT
      Structure 857: PDF SVG PS JPEG PNG CT
      Structure 858: PDF SVG PS JPEG PNG CT
      Structure 859: PDF SVG PS JPEG PNG CT
      Structure 860: PDF SVG PS JPEG PNG CT
      Structure 861: PDF SVG PS JPEG PNG CT
      Structure 862: PDF SVG PS JPEG PNG CT
      Structure 863: PDF SVG PS JPEG PNG CT
      Structure 864: PDF SVG PS JPEG PNG CT
      Structure 865: PDF SVG PS JPEG PNG CT
      Structure 866: PDF SVG PS JPEG PNG CT
      Structure 867: PDF SVG PS JPEG PNG CT
      Structure 868: PDF SVG PS JPEG PNG CT
      Structure 869: PDF SVG PS JPEG PNG CT
      Structure 870: PDF SVG PS JPEG PNG CT
      Structure 871: PDF SVG PS JPEG PNG CT
      Structure 872: PDF SVG PS JPEG PNG CT
      Structure 873: PDF SVG PS JPEG PNG CT
      Structure 874: PDF SVG PS JPEG PNG CT
      Structure 875: PDF SVG PS JPEG PNG CT
      Structure 876: PDF SVG PS JPEG PNG CT
      Structure 877: PDF SVG PS JPEG PNG CT
      Structure 878: PDF SVG PS JPEG PNG CT
      Structure 879: PDF SVG PS JPEG PNG CT
      Structure 880: PDF SVG PS JPEG PNG CT
      Structure 881: PDF SVG PS JPEG PNG CT
      Structure 882: PDF SVG PS JPEG PNG CT
      Structure 883: PDF SVG PS JPEG PNG CT
      Structure 884: PDF SVG PS JPEG PNG CT
      Structure 885: PDF SVG PS JPEG PNG CT
      Structure 886: PDF SVG PS JPEG PNG CT
      Structure 887: PDF SVG PS JPEG PNG CT
      Structure 888: PDF SVG PS JPEG PNG CT
      Structure 889: PDF SVG PS JPEG PNG CT
      Structure 890: PDF SVG PS JPEG PNG CT
      Structure 891: PDF SVG PS JPEG PNG CT
      Structure 892: PDF SVG PS JPEG PNG CT
      Structure 893: PDF SVG PS JPEG PNG CT
      Structure 894: PDF SVG PS JPEG PNG CT
      Structure 895: PDF SVG PS JPEG PNG CT
      Structure 896: PDF SVG PS JPEG PNG CT
      Structure 897: PDF SVG PS JPEG PNG CT
      Structure 898: PDF SVG PS JPEG PNG CT
      Structure 899: PDF SVG PS JPEG PNG CT
      Structure 900: PDF SVG PS JPEG PNG CT
      Structure 901: PDF SVG PS JPEG PNG CT
      Structure 902: PDF SVG PS JPEG PNG CT
      Structure 903: PDF SVG PS JPEG PNG CT
      Structure 904: PDF SVG PS JPEG PNG CT
      Structure 905: PDF SVG PS JPEG PNG CT
      Structure 906: PDF SVG PS JPEG PNG CT
      Structure 907: PDF SVG PS JPEG PNG CT
      Structure 908: PDF SVG PS JPEG PNG CT
      Structure 909: PDF SVG PS JPEG PNG CT
      Structure 910: PDF SVG PS JPEG PNG CT
      Structure 911: PDF SVG PS JPEG PNG CT
      Structure 912: PDF SVG PS JPEG PNG CT
      Structure 913: PDF SVG PS JPEG PNG CT
      Structure 914: PDF SVG PS JPEG PNG CT
      Structure 915: PDF SVG PS JPEG PNG CT
      Structure 916: PDF SVG PS JPEG PNG CT
      Structure 917: PDF SVG PS JPEG PNG CT
      Structure 918: PDF SVG PS JPEG PNG CT
      Structure 919: PDF SVG PS JPEG PNG CT
      Structure 920: PDF SVG PS JPEG PNG CT
      Structure 921: PDF SVG PS JPEG PNG CT
      Structure 922: PDF SVG PS JPEG PNG CT
      Structure 923: PDF SVG PS JPEG PNG CT
      Structure 924: PDF SVG PS JPEG PNG CT
      Structure 925: PDF SVG PS JPEG PNG CT
      Structure 926: PDF SVG PS JPEG PNG CT
      Structure 927: PDF SVG PS JPEG PNG CT
      Structure 928: PDF SVG PS JPEG PNG CT
      Structure 929: PDF SVG PS JPEG PNG CT
      Structure 930: PDF SVG PS JPEG PNG CT
      Structure 931: PDF SVG PS JPEG PNG CT
      Structure 932: PDF SVG PS JPEG PNG CT
      Structure 933: PDF SVG PS JPEG PNG CT
      Structure 934: PDF SVG PS JPEG PNG CT
      Structure 935: PDF SVG PS JPEG PNG CT
      Structure 936: PDF SVG PS JPEG PNG CT
      Structure 937: PDF SVG PS JPEG PNG CT
      Structure 938: PDF SVG PS JPEG PNG CT
      Structure 939: PDF SVG PS JPEG PNG CT
      Structure 940: PDF SVG PS JPEG PNG CT
      Structure 941: PDF SVG PS JPEG PNG CT
      Structure 942: PDF SVG PS JPEG PNG CT
      Structure 943: PDF SVG PS JPEG PNG CT
      Structure 944: PDF SVG PS JPEG PNG CT
      Structure 945: PDF SVG PS JPEG PNG CT
      Structure 946: PDF SVG PS JPEG PNG CT
      Structure 947: PDF SVG PS JPEG PNG CT
      Structure 948: PDF SVG PS JPEG PNG CT
      Structure 949: PDF SVG PS JPEG PNG CT
      Structure 950: PDF SVG PS JPEG PNG CT
      Structure 951: PDF SVG PS JPEG PNG CT
      Structure 952: PDF SVG PS JPEG PNG CT
      Structure 953: PDF SVG PS JPEG PNG CT
      Structure 954: PDF SVG PS JPEG PNG CT
      Structure 955: PDF SVG PS JPEG PNG CT
      Structure 956: PDF SVG PS JPEG PNG CT
      Structure 957: PDF SVG PS JPEG PNG CT
      Structure 958: PDF SVG PS JPEG PNG CT
      Structure 959: PDF SVG PS JPEG PNG CT
      Structure 960: PDF SVG PS JPEG PNG CT
      Structure 961: PDF SVG PS JPEG PNG CT
      Structure 962: PDF SVG PS JPEG PNG CT
      Structure 963: PDF SVG PS JPEG PNG CT
      Structure 964: PDF SVG PS JPEG PNG CT
      Structure 965: PDF SVG PS JPEG PNG CT
      Structure 966: PDF SVG PS JPEG PNG CT
      Structure 967: PDF SVG PS JPEG PNG CT
      Structure 968: PDF SVG PS JPEG PNG CT
      Structure 969: PDF SVG PS JPEG PNG CT
      Structure 970: PDF SVG PS JPEG PNG CT
      Structure 971: PDF SVG PS JPEG PNG CT
      Structure 972: PDF SVG PS JPEG PNG CT
      Structure 973: PDF SVG PS JPEG PNG CT
      Structure 974: PDF SVG PS JPEG PNG CT
      Structure 975: PDF SVG PS JPEG PNG CT
      Structure 976: PDF SVG PS JPEG PNG CT
      Structure 977: PDF SVG PS JPEG PNG CT
      Structure 978: PDF SVG PS JPEG PNG CT
      Structure 979: PDF SVG PS JPEG PNG CT
      Structure 980: PDF SVG PS JPEG PNG CT
      Structure 981: PDF SVG PS JPEG PNG CT
      Structure 982: PDF SVG PS JPEG PNG CT
      Structure 983: PDF SVG PS JPEG PNG CT
      Structure 984: PDF SVG PS JPEG PNG CT
      Structure 985: PDF SVG PS JPEG PNG CT
      Structure 986: PDF SVG PS JPEG PNG CT
      Structure 987: PDF SVG PS JPEG PNG CT
      Structure 988: PDF SVG PS JPEG PNG CT
      Structure 989: PDF SVG PS JPEG PNG CT
      Structure 990: PDF SVG PS JPEG PNG CT
      Structure 991: PDF SVG PS JPEG PNG CT
      Structure 992: PDF SVG PS JPEG PNG CT
      Structure 993: PDF SVG PS JPEG PNG CT
      Structure 994: PDF SVG PS JPEG PNG CT
      Structure 995: PDF SVG PS JPEG PNG CT
      Structure 996: PDF SVG PS JPEG PNG CT
      Structure 997: PDF SVG PS JPEG PNG CT
      Structure 998: PDF SVG PS JPEG PNG CT
      Structure 999: PDF SVG PS JPEG PNG CT
      Structure 1000: PDF SVG PS JPEG PNG CT
      Structure 1001: PDF SVG PS JPEG PNG CT
      Structure 1002: PDF SVG PS JPEG PNG CT
      Structure 1003: PDF SVG PS JPEG PNG CT
      Structure 1004: PDF SVG PS JPEG PNG CT
      Structure 1005: PDF SVG PS JPEG PNG CT
      Structure 1006: PDF SVG PS JPEG PNG CT
      Structure 1007: PDF SVG PS JPEG PNG CT
      Structure 1008: PDF SVG PS JPEG PNG CT
      Structure 1009: PDF SVG PS JPEG PNG CT
      Structure 1010: PDF SVG PS JPEG PNG CT
      Structure 1011: PDF SVG PS JPEG PNG CT
      Structure 1012: PDF SVG PS JPEG PNG CT
      Structure 1013: PDF SVG PS JPEG PNG CT
      Structure 1014: PDF SVG PS JPEG PNG CT
      Structure 1015: PDF SVG PS JPEG PNG CT
      Structure 1016: PDF SVG PS JPEG PNG CT
      Structure 1017: PDF SVG PS JPEG PNG CT
      Structure 1018: PDF SVG PS JPEG PNG CT
      Structure 1019: PDF SVG PS JPEG PNG CT
      Structure 1020: PDF SVG PS JPEG PNG CT
      Structure 1021: PDF SVG PS JPEG PNG CT
      Structure 1022: PDF SVG PS JPEG PNG CT
      Structure 1023: PDF SVG PS JPEG PNG CT
      Structure 1024: PDF SVG PS JPEG PNG CT
      Structure 1025: PDF SVG PS JPEG PNG CT
      Structure 1026: PDF SVG PS JPEG PNG CT
      Structure 1027: PDF SVG PS JPEG PNG CT
      Structure 1028: PDF SVG PS JPEG PNG CT
      Structure 1029: PDF SVG PS JPEG PNG CT
      Structure 1030: PDF SVG PS JPEG PNG CT
      Structure 1031: PDF SVG PS JPEG PNG CT
      Structure 1032: PDF SVG PS JPEG PNG CT
      Structure 1033: PDF SVG PS JPEG PNG CT
      Structure 1034: PDF SVG PS JPEG PNG CT
      Structure 1035: PDF SVG PS JPEG PNG CT
      Structure 1036: PDF SVG PS JPEG PNG CT
      Structure 1037: PDF SVG PS JPEG PNG CT
      Structure 1038: PDF SVG PS JPEG PNG CT
      Structure 1039: PDF SVG PS JPEG PNG CT
      Structure 1040: PDF SVG PS JPEG PNG CT
      Structure 1041: PDF SVG PS JPEG PNG CT
      Structure 1042: PDF SVG PS JPEG PNG CT
      Structure 1043: PDF SVG PS JPEG PNG CT
      Structure 1044: PDF SVG PS JPEG PNG CT
      Structure 1045: PDF SVG PS JPEG PNG CT
      Structure 1046: PDF SVG PS JPEG PNG CT
      Structure 1047: PDF SVG PS JPEG PNG CT
      Structure 1048: PDF SVG PS JPEG PNG CT
      Structure 1049: PDF SVG PS JPEG PNG CT
      Structure 1050: PDF SVG PS JPEG PNG CT
      Structure 1051: PDF SVG PS JPEG PNG CT
      Structure 1052: PDF SVG PS JPEG PNG CT
      Structure 1053: PDF SVG PS JPEG PNG CT
      Structure 1054: PDF SVG PS JPEG PNG CT
      Structure 1055: PDF SVG PS JPEG PNG CT
      Structure 1056: PDF SVG PS JPEG PNG CT
      Structure 1057: PDF SVG PS JPEG PNG CT
      Structure 1058: PDF SVG PS JPEG PNG CT
      Structure 1059: PDF SVG PS JPEG PNG CT
      Structure 1060: PDF SVG PS JPEG PNG CT
      Structure 1061: PDF SVG PS JPEG PNG CT
      Structure 1062: PDF SVG PS JPEG PNG CT
      Structure 1063: PDF SVG PS JPEG PNG CT
      Structure 1064: PDF SVG PS JPEG PNG CT
      Structure 1065: PDF SVG PS JPEG PNG CT
      Structure 1066: PDF SVG PS JPEG PNG CT
      Structure 1067: PDF SVG PS JPEG PNG CT
      Structure 1068: PDF SVG PS JPEG PNG CT
      Structure 1069: PDF SVG PS JPEG PNG CT
      Structure 1070: PDF SVG PS JPEG PNG CT
      Structure 1071: PDF SVG PS JPEG PNG CT
      Structure 1072: PDF SVG PS JPEG PNG CT
      Structure 1073: PDF SVG PS JPEG PNG CT
      Structure 1074: PDF SVG PS JPEG PNG CT
      Structure 1075: PDF SVG PS JPEG PNG CT
      Structure 1076: PDF SVG PS JPEG PNG CT
      Structure 1077: PDF SVG PS JPEG PNG CT
      Structure 1078: PDF SVG PS JPEG PNG CT
      Structure 1079: PDF SVG PS JPEG PNG CT
      Structure 1080: PDF SVG PS JPEG PNG CT
      Structure 1081: PDF SVG PS JPEG PNG CT
      Structure 1082: PDF SVG PS JPEG PNG CT
      Structure 1083: PDF SVG PS JPEG PNG CT
      Structure 1084: PDF SVG PS JPEG PNG CT
      Structure 1085: PDF SVG PS JPEG PNG CT
      Structure 1086: PDF SVG PS JPEG PNG CT
      Structure 1087: PDF SVG PS JPEG PNG CT
      Structure 1088: PDF SVG PS JPEG PNG CT
      Structure 1089: PDF SVG PS JPEG PNG CT
      Structure 1090: PDF SVG PS JPEG PNG CT
      Structure 1091: PDF SVG PS JPEG PNG CT
      Structure 1092: PDF SVG PS JPEG PNG CT
      Structure 1093: PDF SVG PS JPEG PNG CT
      Structure 1094: PDF SVG PS JPEG PNG CT
      Structure 1095: PDF SVG PS JPEG PNG CT
      Structure 1096: PDF SVG PS JPEG PNG CT
      Structure 1097: PDF SVG PS JPEG PNG CT
      Structure 1098: PDF SVG PS JPEG PNG CT
      Structure 1099: PDF SVG PS JPEG PNG CT
      Structure 1100: PDF SVG PS JPEG PNG CT
      Structure 1101: PDF SVG PS JPEG PNG CT
      Structure 1102: PDF SVG PS JPEG PNG CT
      Structure 1103: PDF SVG PS JPEG PNG CT
      Structure 1104: PDF SVG PS JPEG PNG CT
      Structure 1105: PDF SVG PS JPEG PNG CT
      Structure 1106: PDF SVG PS JPEG PNG CT
      Structure 1107: PDF SVG PS JPEG PNG CT
      Structure 1108: PDF SVG PS JPEG PNG CT
      Structure 1109: PDF SVG PS JPEG PNG CT
      Structure 1110: PDF SVG PS JPEG PNG CT
      Structure 1111: PDF SVG PS JPEG PNG CT
      Structure 1112: PDF SVG PS JPEG PNG CT
      Structure 1113: PDF SVG PS JPEG PNG CT
      Structure 1114: PDF SVG PS JPEG PNG CT
      Structure 1115: PDF SVG PS JPEG PNG CT
      Structure 1116: PDF SVG PS JPEG PNG CT
      Structure 1117: PDF SVG PS JPEG PNG CT
      Structure 1118: PDF SVG PS JPEG PNG CT
      Structure 1119: PDF SVG PS JPEG PNG CT
      Structure 1120: PDF SVG PS JPEG PNG CT
      Structure 1121: PDF SVG PS JPEG PNG CT
      Structure 1122: PDF SVG PS JPEG PNG CT
      Structure 1123: PDF SVG PS JPEG PNG CT
      Structure 1124: PDF SVG PS JPEG PNG CT
      Structure 1125: PDF SVG PS JPEG PNG CT
      Structure 1126: PDF SVG PS JPEG PNG CT
      Structure 1127: PDF SVG PS JPEG PNG CT
      Structure 1128: PDF SVG PS JPEG PNG CT
      Structure 1129: PDF SVG PS JPEG PNG CT
      Structure 1130: PDF SVG PS JPEG PNG CT
      Structure 1131: PDF SVG PS JPEG PNG CT
      Structure 1132: PDF SVG PS JPEG PNG CT
      Structure 1133: PDF SVG PS JPEG PNG CT
      Structure 1134: PDF SVG PS JPEG PNG CT
      Structure 1135: PDF SVG PS JPEG PNG CT
      Structure 1136: PDF SVG PS JPEG PNG CT
      Structure 1137: PDF SVG PS JPEG PNG CT
      Structure 1138: PDF SVG PS JPEG PNG CT
      Structure 1139: PDF SVG PS JPEG PNG CT
      Structure 1140: PDF SVG PS JPEG PNG CT
      Structure 1141: PDF SVG PS JPEG PNG CT
      Structure 1142: PDF SVG PS JPEG PNG CT
      Structure 1143: PDF SVG PS JPEG PNG CT
      Structure 1144: PDF SVG PS JPEG PNG CT
      Structure 1145: PDF SVG PS JPEG PNG CT
      Structure 1146: PDF SVG PS JPEG PNG CT
      Structure 1147: PDF SVG PS JPEG PNG CT
      Structure 1148: PDF SVG PS JPEG PNG CT
      Structure 1149: PDF SVG PS JPEG PNG CT
      Structure 1150: PDF SVG PS JPEG PNG CT
      Structure 1151: PDF SVG PS JPEG PNG CT
      Structure 1152: PDF SVG PS JPEG PNG CT
      Structure 1153: PDF SVG PS JPEG PNG CT
      Structure 1154: PDF SVG PS JPEG PNG CT
      Structure 1155: PDF SVG PS JPEG PNG CT
      Structure 1156: PDF SVG PS JPEG PNG CT
      Structure 1157: PDF SVG PS JPEG PNG CT
      Structure 1158: PDF SVG PS JPEG PNG CT
      Structure 1159: PDF SVG PS JPEG PNG CT
      Structure 1160: PDF SVG PS JPEG PNG CT
      Structure 1161: PDF SVG PS JPEG PNG CT
      Structure 1162: PDF SVG PS JPEG PNG CT
      Structure 1163: PDF SVG PS JPEG PNG CT
      Structure 1164: PDF SVG PS JPEG PNG CT
      Structure 1165: PDF SVG PS JPEG PNG CT
      Structure 1166: PDF SVG PS JPEG PNG CT
      Structure 1167: PDF SVG PS JPEG PNG CT
      Structure 1168: PDF SVG PS JPEG PNG CT
      Structure 1169: PDF SVG PS JPEG PNG CT
      Structure 1170: PDF SVG PS JPEG PNG CT
      Structure 1171: PDF SVG PS JPEG PNG CT
      Structure 1172: PDF SVG PS JPEG PNG CT
      Structure 1173: PDF SVG PS JPEG PNG CT
      Structure 1174: PDF SVG PS JPEG PNG CT
      Structure 1175: PDF SVG PS JPEG PNG CT
      Structure 1176: PDF SVG PS JPEG PNG CT
      Structure 1177: PDF SVG PS JPEG PNG CT
      Structure 1178: PDF SVG PS JPEG PNG CT
      Structure 1179: PDF SVG PS JPEG PNG CT
      Structure 1180: PDF SVG PS JPEG PNG CT
      Structure 1181: PDF SVG PS JPEG PNG CT
      Structure 1182: PDF SVG PS JPEG PNG CT
      Structure 1183: PDF SVG PS JPEG PNG CT
      Structure 1184: PDF SVG PS JPEG PNG CT
      Structure 1185: PDF SVG PS JPEG PNG CT
      Structure 1186: PDF SVG PS JPEG PNG CT
      Structure 1187: PDF SVG PS JPEG PNG CT
      Structure 1188: PDF SVG PS JPEG PNG CT
      Structure 1189: PDF SVG PS JPEG PNG CT
      Structure 1190: PDF SVG PS JPEG PNG CT
      Structure 1191: PDF SVG PS JPEG PNG CT
      Structure 1192: PDF SVG PS JPEG PNG CT
      Structure 1193: PDF SVG PS JPEG PNG CT
      Structure 1194: PDF SVG PS JPEG PNG CT
      Structure 1195: PDF SVG PS JPEG PNG CT
      Structure 1196: PDF SVG PS JPEG PNG CT
      Structure 1197: PDF SVG PS JPEG PNG CT
      Structure 1198: PDF SVG PS JPEG PNG CT
      Structure 1199: PDF SVG PS JPEG PNG CT
      Structure 1200: PDF SVG PS JPEG PNG CT
      Structure 1201: PDF SVG PS JPEG PNG CT
      Structure 1202: PDF SVG PS JPEG PNG CT
      Structure 1203: PDF SVG PS JPEG PNG CT
      Structure 1204: PDF SVG PS JPEG PNG CT
      Structure 1205: PDF SVG PS JPEG PNG CT
      Structure 1206: PDF SVG PS JPEG PNG CT
      Structure 1207: PDF SVG PS JPEG PNG CT
      Structure 1208: PDF SVG PS JPEG PNG CT
      Structure 1209: PDF SVG PS JPEG PNG CT
      Structure 1210: PDF SVG PS JPEG PNG CT
      Structure 1211: PDF SVG PS JPEG PNG CT
      Structure 1212: PDF SVG PS JPEG PNG CT
      Structure 1213: PDF SVG PS JPEG PNG CT
      Structure 1214: PDF SVG PS JPEG PNG CT
      Structure 1215: PDF SVG PS JPEG PNG CT
      Structure 1216: PDF SVG PS JPEG PNG CT
      Structure 1217: PDF SVG PS JPEG PNG CT
      Structure 1218: PDF SVG PS JPEG PNG CT
      Structure 1219: PDF SVG PS JPEG PNG CT
      Structure 1220: PDF SVG PS JPEG PNG CT
      Structure 1221: PDF SVG PS JPEG PNG CT
      Structure 1222: PDF SVG PS JPEG PNG CT
      Structure 1223: PDF SVG PS JPEG PNG CT
      Structure 1224: PDF SVG PS JPEG PNG CT
      Structure 1225: PDF SVG PS JPEG PNG CT
      Structure 1226: PDF SVG PS JPEG PNG CT
      Structure 1227: PDF SVG PS JPEG PNG CT
      Structure 1228: PDF SVG PS JPEG PNG CT
      Structure 1229: PDF SVG PS JPEG PNG CT
      Structure 1230: PDF SVG PS JPEG PNG CT
      Structure 1231: PDF SVG PS JPEG PNG CT
      Structure 1232: PDF SVG PS JPEG PNG CT
      Structure 1233: PDF SVG PS JPEG PNG CT
      Structure 1234: PDF SVG PS JPEG PNG CT
      Structure 1235: PDF SVG PS JPEG PNG CT
      Structure 1236: PDF SVG PS JPEG PNG CT
      Structure 1237: PDF SVG PS JPEG PNG CT
      Structure 1238: PDF SVG PS JPEG PNG CT
      Structure 1239: PDF SVG PS JPEG PNG CT
      Structure 1240: PDF SVG PS JPEG PNG CT
      Structure 1241: PDF SVG PS JPEG PNG CT
      Structure 1242: PDF SVG PS JPEG PNG CT
      Structure 1243: PDF SVG PS JPEG PNG CT
      Structure 1244: PDF SVG PS JPEG PNG CT
      Structure 1245: PDF SVG PS JPEG PNG CT
      Structure 1246: PDF SVG PS JPEG PNG CT
      Structure 1247: PDF SVG PS JPEG PNG CT
      Structure 1248: PDF SVG PS JPEG PNG CT
      Structure 1249: PDF SVG PS JPEG PNG CT
      Structure 1250: PDF SVG PS JPEG PNG CT
      Structure 1251: PDF SVG PS JPEG PNG CT
      Structure 1252: PDF SVG PS JPEG PNG CT
      Structure 1253: PDF SVG PS JPEG PNG CT
      Structure 1254: PDF SVG PS JPEG PNG CT
      Structure 1255: PDF SVG PS JPEG PNG CT
      Structure 1256: PDF SVG PS JPEG PNG CT
      Structure 1257: PDF SVG PS JPEG PNG CT
      Structure 1258: PDF SVG PS JPEG PNG CT
      Structure 1259: PDF SVG PS JPEG PNG CT
      Structure 1260: PDF SVG PS JPEG PNG CT
      Structure 1261: PDF SVG PS JPEG PNG CT
      Structure 1262: PDF SVG PS JPEG PNG CT
      Structure 1263: PDF SVG PS JPEG PNG CT
      Structure 1264: PDF SVG PS JPEG PNG CT
      Structure 1265: PDF SVG PS JPEG PNG CT
      Structure 1266: PDF SVG PS JPEG PNG CT
      Structure 1267: PDF SVG PS JPEG PNG CT
      Structure 1268: PDF SVG PS JPEG PNG CT
      Structure 1269: PDF SVG PS JPEG PNG CT
      Structure 1270: PDF SVG PS JPEG PNG CT
      Structure 1271: PDF SVG PS JPEG PNG CT
      Structure 1272: PDF SVG PS JPEG PNG CT
      Structure 1273: PDF SVG PS JPEG PNG CT
      Structure 1274: PDF SVG PS JPEG PNG CT
      Structure 1275: PDF SVG PS JPEG PNG CT
      Structure 1276: PDF SVG PS JPEG PNG CT
      Structure 1277: PDF SVG PS JPEG PNG CT
      Structure 1278: PDF SVG PS JPEG PNG CT
      Structure 1279: PDF SVG PS JPEG PNG CT
      Structure 1280: PDF SVG PS JPEG PNG CT
      Structure 1281: PDF SVG PS JPEG PNG CT
      Structure 1282: PDF SVG PS JPEG PNG CT
      Structure 1283: PDF SVG PS JPEG PNG CT
      Structure 1284: PDF SVG PS JPEG PNG CT
      Structure 1285: PDF SVG PS JPEG PNG CT
      Structure 1286: PDF SVG PS JPEG PNG CT
      Structure 1287: PDF SVG PS JPEG PNG CT
      Structure 1288: PDF SVG PS JPEG PNG CT
      Structure 1289: PDF SVG PS JPEG PNG CT
      Structure 1290: PDF SVG PS JPEG PNG CT
      Structure 1291: PDF SVG PS JPEG PNG CT
      Structure 1292: PDF SVG PS JPEG PNG CT
      Structure 1293: PDF SVG PS JPEG PNG CT
      Structure 1294: PDF SVG PS JPEG PNG CT
      Structure 1295: PDF SVG PS JPEG PNG CT
      Structure 1296: PDF SVG PS JPEG PNG CT
      Structure 1297: PDF SVG PS JPEG PNG CT
      Structure 1298: PDF SVG PS JPEG PNG CT
      Structure 1299: PDF SVG PS JPEG PNG CT
      Structure 1300: PDF SVG PS JPEG PNG CT
      Structure 1301: PDF SVG PS JPEG PNG CT
      Structure 1302: PDF SVG PS JPEG PNG CT
      Structure 1303: PDF SVG PS JPEG PNG CT
      Structure 1304: PDF SVG PS JPEG PNG CT
      Structure 1305: PDF SVG PS JPEG PNG CT
      Structure 1306: PDF SVG PS JPEG PNG CT
      Structure 1307: PDF SVG PS JPEG PNG CT
      Structure 1308: PDF SVG PS JPEG PNG CT
      Structure 1309: PDF SVG PS JPEG PNG CT
      Structure 1310: PDF SVG PS JPEG PNG CT
      Structure 1311: PDF SVG PS JPEG PNG CT
      Structure 1312: PDF SVG PS JPEG PNG CT
      Structure 1313: PDF SVG PS JPEG PNG CT
      Structure 1314: PDF SVG PS JPEG PNG CT
      Structure 1315: PDF SVG PS JPEG PNG CT
      Structure 1316: PDF SVG PS JPEG PNG CT
      Structure 1317: PDF SVG PS JPEG PNG CT
      Structure 1318: PDF SVG PS JPEG PNG CT
      Structure 1319: PDF SVG PS JPEG PNG CT
      Structure 1320: PDF SVG PS JPEG PNG CT
      Structure 1321: PDF SVG PS JPEG PNG CT
      Structure 1322: PDF SVG PS JPEG PNG CT
      Structure 1323: PDF SVG PS JPEG PNG CT
      Structure 1324: PDF SVG PS JPEG PNG CT
      Structure 1325: PDF SVG PS JPEG PNG CT
      Structure 1326: PDF SVG PS JPEG PNG CT
      Structure 1327: PDF SVG PS JPEG PNG CT
      Structure 1328: PDF SVG PS JPEG PNG CT
      Structure 1329: PDF SVG PS JPEG PNG CT
      Structure 1330: PDF SVG PS JPEG PNG CT
      Structure 1331: PDF SVG PS JPEG PNG CT
      Structure 1332: PDF SVG PS JPEG PNG CT
      Structure 1333: PDF SVG PS JPEG PNG CT
      Structure 1334: PDF SVG PS JPEG PNG CT
      Structure 1335: PDF SVG PS JPEG PNG CT
      Structure 1336: PDF SVG PS JPEG PNG CT
      Structure 1337: PDF SVG PS JPEG PNG CT
      Structure 1338: PDF SVG PS JPEG PNG CT
      Structure 1339: PDF SVG PS JPEG PNG CT
      Structure 1340: PDF SVG PS JPEG PNG CT
      Structure 1341: PDF SVG PS JPEG PNG CT
      Structure 1342: PDF SVG PS JPEG PNG CT
      Structure 1343: PDF SVG PS JPEG PNG CT
      Structure 1344: PDF SVG PS JPEG PNG CT
      Structure 1345: PDF SVG PS JPEG PNG CT
      Structure 1346: PDF SVG PS JPEG PNG CT
      Structure 1347: PDF SVG PS JPEG PNG CT
      Structure 1348: PDF SVG PS JPEG PNG CT
      Structure 1349: PDF SVG PS JPEG PNG CT
      Structure 1350: PDF SVG PS JPEG PNG CT
      Structure 1351: PDF SVG PS JPEG PNG CT
      Structure 1352: PDF SVG PS JPEG PNG CT
      Structure 1353: PDF SVG PS JPEG PNG CT
      Structure 1354: PDF SVG PS JPEG PNG CT
      Structure 1355: PDF SVG PS JPEG PNG CT
      Structure 1356: PDF SVG PS JPEG PNG CT
      Structure 1357: PDF SVG PS JPEG PNG CT
      Structure 1358: PDF SVG PS JPEG PNG CT
      Structure 1359: PDF SVG PS JPEG PNG CT
      Structure 1360: PDF SVG PS JPEG PNG CT
      Structure 1361: PDF SVG PS JPEG PNG CT
      Structure 1362: PDF SVG PS JPEG PNG CT
      Structure 1363: PDF SVG PS JPEG PNG CT
      Structure 1364: PDF SVG PS JPEG PNG CT
      Structure 1365: PDF SVG PS JPEG PNG CT
      Structure 1366: PDF SVG PS JPEG PNG CT
      Structure 1367: PDF SVG PS JPEG PNG CT
      Structure 1368: PDF SVG PS JPEG PNG CT
      Structure 1369: PDF SVG PS JPEG PNG CT
      Structure 1370: PDF SVG PS JPEG PNG CT
      Structure 1371: PDF SVG PS JPEG PNG CT
      Structure 1372: PDF SVG PS JPEG PNG CT
      Structure 1373: PDF SVG PS JPEG PNG CT
      Structure 1374: PDF SVG PS JPEG PNG CT
      Structure 1375: PDF SVG PS JPEG PNG CT
      Structure 1376: PDF SVG PS JPEG PNG CT
      Structure 1377: PDF SVG PS JPEG PNG CT
      Structure 1378: PDF SVG PS JPEG PNG CT
      Structure 1379: PDF SVG PS JPEG PNG CT
      Structure 1380: PDF SVG PS JPEG PNG CT
      Structure 1381: PDF SVG PS JPEG PNG CT
      Structure 1382: PDF SVG PS JPEG PNG CT
      Structure 1383: PDF SVG PS JPEG PNG CT
      Structure 1384: PDF SVG PS JPEG PNG CT
      Structure 1385: PDF SVG PS JPEG PNG CT
      Structure 1386: PDF SVG PS JPEG PNG CT
      Structure 1387: PDF SVG PS JPEG PNG CT
      Structure 1388: PDF SVG PS JPEG PNG CT
      Structure 1389: PDF SVG PS JPEG PNG CT
      Structure 1390: PDF SVG PS JPEG PNG CT
      Structure 1391: PDF SVG PS JPEG PNG CT
      Structure 1392: PDF SVG PS JPEG PNG CT
      Structure 1393: PDF SVG PS JPEG PNG CT
      Structure 1394: PDF SVG PS JPEG PNG CT
      Structure 1395: PDF SVG PS JPEG PNG CT
      Structure 1396: PDF SVG PS JPEG PNG CT
      Structure 1397: PDF SVG PS JPEG PNG CT
      Structure 1398: PDF SVG PS JPEG PNG CT
      Structure 1399: PDF SVG PS JPEG PNG CT
      Structure 1400: PDF SVG PS JPEG PNG CT
      Structure 1401: PDF SVG PS JPEG PNG CT
      Structure 1402: PDF SVG PS JPEG PNG CT
      Structure 1403: PDF SVG PS JPEG PNG CT
      Structure 1404: PDF SVG PS JPEG PNG CT
      Structure 1405: PDF SVG PS JPEG PNG CT
      Structure 1406: PDF SVG PS JPEG PNG CT
      Structure 1407: PDF SVG PS JPEG PNG CT
      Structure 1408: PDF SVG PS JPEG PNG CT
      Structure 1409: PDF SVG PS JPEG PNG CT
      Structure 1410: PDF SVG PS JPEG PNG CT
      Structure 1411: PDF SVG PS JPEG PNG CT
      Structure 1412: PDF SVG PS JPEG PNG CT
      Structure 1413: PDF SVG PS JPEG PNG CT
      Structure 1414: PDF SVG PS JPEG PNG CT
      Structure 1415: PDF SVG PS JPEG PNG CT
      Structure 1416: PDF SVG PS JPEG PNG CT
      Structure 1417: PDF SVG PS JPEG PNG CT
      Structure 1418: PDF SVG PS JPEG PNG CT
      Structure 1419: PDF SVG PS JPEG PNG CT
      Structure 1420: PDF SVG PS JPEG PNG CT
      Structure 1421: PDF SVG PS JPEG PNG CT
      Structure 1422: PDF SVG PS JPEG PNG CT
      Structure 1423: PDF SVG PS JPEG PNG CT
      Structure 1424: PDF SVG PS JPEG PNG CT
      Structure 1425: PDF SVG PS JPEG PNG CT
      Structure 1426: PDF SVG PS JPEG PNG CT
      Structure 1427: PDF SVG PS JPEG PNG CT
      Structure 1428: PDF SVG PS JPEG PNG CT
      Structure 1429: PDF SVG PS JPEG PNG CT
      Structure 1430: PDF SVG PS JPEG PNG CT
      Structure 1431: PDF SVG PS JPEG PNG CT
      Structure 1432: PDF SVG PS JPEG PNG CT
      Structure 1433: PDF SVG PS JPEG PNG CT
      Structure 1434: PDF SVG PS JPEG PNG CT
      Structure 1435: PDF SVG PS JPEG PNG CT
      Structure 1436: PDF SVG PS JPEG PNG CT
      Structure 1437: PDF SVG PS JPEG PNG CT
      Structure 1438: PDF SVG PS JPEG PNG CT
      Structure 1439: PDF SVG PS JPEG PNG CT
      Structure 1440: PDF SVG PS JPEG PNG CT
      Structure 1441: PDF SVG PS JPEG PNG CT
      Structure 1442: PDF SVG PS JPEG PNG CT
      Structure 1443: PDF SVG PS JPEG PNG CT
      Structure 1444: PDF SVG PS JPEG PNG CT
      Structure 1445: PDF SVG PS JPEG PNG CT
      Structure 1446: PDF SVG PS JPEG PNG CT
      Structure 1447: PDF SVG PS JPEG PNG CT
      Structure 1448: PDF SVG PS JPEG PNG CT
      Structure 1449: PDF SVG PS JPEG PNG CT
      Structure 1450: PDF SVG PS JPEG PNG CT
      Structure 1451: PDF SVG PS JPEG PNG CT
      Structure 1452: PDF SVG PS JPEG PNG CT
      Structure 1453: PDF SVG PS JPEG PNG CT
      Structure 1454: PDF SVG PS JPEG PNG CT
      Structure 1455: PDF SVG PS JPEG PNG CT
      Structure 1456: PDF SVG PS JPEG PNG CT
      Structure 1457: PDF SVG PS JPEG PNG CT
      Structure 1458: PDF SVG PS JPEG PNG CT
      Structure 1459: PDF SVG PS JPEG PNG CT
      Structure 1460: PDF SVG PS JPEG PNG CT
      Structure 1461: PDF SVG PS JPEG PNG CT
      Structure 1462: PDF SVG PS JPEG PNG CT
      Structure 1463: PDF SVG PS JPEG PNG CT
      Structure 1464: PDF SVG PS JPEG PNG CT
      Structure 1465: PDF SVG PS JPEG PNG CT
      Structure 1466: PDF SVG PS JPEG PNG CT
      Structure 1467: PDF SVG PS JPEG PNG CT
      Structure 1468: PDF SVG PS JPEG PNG CT
      Structure 1469: PDF SVG PS JPEG PNG CT
      Structure 1470: PDF SVG PS JPEG PNG CT
      Structure 1471: PDF SVG PS JPEG PNG CT
      Structure 1472: PDF SVG PS JPEG PNG CT
      Structure 1473: PDF SVG PS JPEG PNG CT
      Structure 1474: PDF SVG PS JPEG PNG CT
      Structure 1475: PDF SVG PS JPEG PNG CT
      Structure 1476: PDF SVG PS JPEG PNG CT
      Structure 1477: PDF SVG PS JPEG PNG CT
      Structure 1478: PDF SVG PS JPEG PNG CT
      Structure 1479: PDF SVG PS JPEG PNG CT
      Structure 1480: PDF SVG PS JPEG PNG CT
      Structure 1481: PDF SVG PS JPEG PNG CT
      Structure 1482: PDF SVG PS JPEG PNG CT
      Structure 1483: PDF SVG PS JPEG PNG CT
      Structure 1484: PDF SVG PS JPEG PNG CT
      Structure 1485: PDF SVG PS JPEG PNG CT
      Structure 1486: PDF SVG PS JPEG PNG CT
      Structure 1487: PDF SVG PS JPEG PNG CT
      Structure 1488: PDF SVG PS JPEG PNG CT
      Structure 1489: PDF SVG PS JPEG PNG CT
      Structure 1490: PDF SVG PS JPEG PNG CT
      Structure 1491: PDF SVG PS JPEG PNG CT
      Structure 1492: PDF SVG PS JPEG PNG CT
      Structure 1493: PDF SVG PS JPEG PNG CT
      Structure 1494: PDF SVG PS JPEG PNG CT
      Structure 1495: PDF SVG PS JPEG PNG CT
      Structure 1496: PDF SVG PS JPEG PNG CT
      Structure 1497: PDF SVG PS JPEG PNG CT
      Structure 1498: PDF SVG PS JPEG PNG CT
      Structure 1499: PDF SVG PS JPEG PNG CT
      Structure 1500: PDF SVG PS JPEG PNG CT
      Structure 1501: PDF SVG PS JPEG PNG CT
      Structure 1502: PDF SVG PS JPEG PNG CT
      Structure 1503: PDF SVG PS JPEG PNG CT
      Structure 1504: PDF SVG PS JPEG PNG CT
      Structure 1505: PDF SVG PS JPEG PNG CT
      Structure 1506: PDF SVG PS JPEG PNG CT
      Structure 1507: PDF SVG PS JPEG PNG CT
      Structure 1508: PDF SVG PS JPEG PNG CT
      Structure 1509: PDF SVG PS JPEG PNG CT
      Structure 1510: PDF SVG PS JPEG PNG CT
      Structure 1511: PDF SVG PS JPEG PNG CT
      Structure 1512: PDF SVG PS JPEG PNG CT
      Structure 1513: PDF SVG PS JPEG PNG CT
      Structure 1514: PDF SVG PS JPEG PNG CT
      Structure 1515: PDF SVG PS JPEG PNG CT
      Structure 1516: PDF SVG PS JPEG PNG CT
      Structure 1517: PDF SVG PS JPEG PNG CT
      Structure 1518: PDF SVG PS JPEG PNG CT
      Structure 1519: PDF SVG PS JPEG PNG CT
      Structure 1520: PDF SVG PS JPEG PNG CT
      Structure 1521: PDF SVG PS JPEG PNG CT
      Structure 1522: PDF SVG PS JPEG PNG CT
      Structure 1523: PDF SVG PS JPEG PNG CT
      Structure 1524: PDF SVG PS JPEG PNG CT
      Structure 1525: PDF SVG PS JPEG PNG CT
      Structure 1526: PDF SVG PS JPEG PNG CT
      Structure 1527: PDF SVG PS JPEG PNG CT
      Structure 1528: PDF SVG PS JPEG PNG CT
      Structure 1529: PDF SVG PS JPEG PNG CT
      Structure 1530: PDF SVG PS JPEG PNG CT
      Structure 1531: PDF SVG PS JPEG PNG CT
      Structure 1532: PDF SVG PS JPEG PNG CT
      Structure 1533: PDF SVG PS JPEG PNG CT
      Structure 1534: PDF SVG PS JPEG PNG CT
      Structure 1535: PDF SVG PS JPEG PNG CT
      Structure 1536: PDF SVG PS JPEG PNG CT
      Structure 1537: PDF SVG PS JPEG PNG CT
      Structure 1538: PDF SVG PS JPEG PNG CT
      Structure 1539: PDF SVG PS JPEG PNG CT
      Structure 1540: PDF SVG PS JPEG PNG CT
      Structure 1541: PDF SVG PS JPEG PNG CT
      Structure 1542: PDF SVG PS JPEG PNG CT
      Structure 1543: PDF SVG PS JPEG PNG CT
      Structure 1544: PDF SVG PS JPEG PNG CT
      Structure 1545: PDF SVG PS JPEG PNG CT
      Structure 1546: PDF SVG PS JPEG PNG CT
      Structure 1547: PDF SVG PS JPEG PNG CT
      Structure 1548: PDF SVG PS JPEG PNG CT
      Structure 1549: PDF SVG PS JPEG PNG CT
      Structure 1550: PDF SVG PS JPEG PNG CT
      Structure 1551: PDF SVG PS JPEG PNG CT
      Structure 1552: PDF SVG PS JPEG PNG CT
      Structure 1553: PDF SVG PS JPEG PNG CT
      Structure 1554: PDF SVG PS JPEG PNG CT
      Structure 1555: PDF SVG PS JPEG PNG CT
      Structure 1556: PDF SVG PS JPEG PNG CT
      Structure 1557: PDF SVG PS JPEG PNG CT
      Structure 1558: PDF SVG PS JPEG PNG CT
      Structure 1559: PDF SVG PS JPEG PNG CT
      Structure 1560: PDF SVG PS JPEG PNG CT
      Structure 1561: PDF SVG PS JPEG PNG CT
      Structure 1562: PDF SVG PS JPEG PNG CT
      Structure 1563: PDF SVG PS JPEG PNG CT
      Structure 1564: PDF SVG PS JPEG PNG CT
      Structure 1565: PDF SVG PS JPEG PNG CT
      Structure 1566: PDF SVG PS JPEG PNG CT
      Structure 1567: PDF SVG PS JPEG PNG CT
      Structure 1568: PDF SVG PS JPEG PNG CT
      Structure 1569: PDF SVG PS JPEG PNG CT
      Structure 1570: PDF SVG PS JPEG PNG CT
      Structure 1571: PDF SVG PS JPEG PNG CT
      Structure 1572: PDF SVG PS JPEG PNG CT
      Structure 1573: PDF SVG PS JPEG PNG CT
      Structure 1574: PDF SVG PS JPEG PNG CT
      Structure 1575: PDF SVG PS JPEG PNG CT
      Structure 1576: PDF SVG PS JPEG PNG CT
      Structure 1577: PDF SVG PS JPEG PNG CT
      Structure 1578: PDF SVG PS JPEG PNG CT
      Structure 1579: PDF SVG PS JPEG PNG CT
      Structure 1580: PDF SVG PS JPEG PNG CT
      Structure 1581: PDF SVG PS JPEG PNG CT
      Structure 1582: PDF SVG PS JPEG PNG CT
      Structure 1583: PDF SVG PS JPEG PNG CT
      Structure 1584: PDF SVG PS JPEG PNG CT
      Structure 1585: PDF SVG PS JPEG PNG CT
      Structure 1586: PDF SVG PS JPEG PNG CT
      Structure 1587: PDF SVG PS JPEG PNG CT
      Structure 1588: PDF SVG PS JPEG PNG CT
      Structure 1589: PDF SVG PS JPEG PNG CT
      Structure 1590: PDF SVG PS JPEG PNG CT
      Structure 1591: PDF SVG PS JPEG PNG CT
      Structure 1592: PDF SVG PS JPEG PNG CT
      Structure 1593: PDF SVG PS JPEG PNG CT
      Structure 1594: PDF SVG PS JPEG PNG CT
      Structure 1595: PDF SVG PS JPEG PNG CT
      Structure 1596: PDF SVG PS JPEG PNG CT
      Structure 1597: PDF SVG PS JPEG PNG CT
      Structure 1598: PDF SVG PS JPEG PNG CT
      Structure 1599: PDF SVG PS JPEG PNG CT
      Structure 1600: PDF SVG PS JPEG PNG CT
      Structure 1601: PDF SVG PS JPEG PNG CT
      Structure 1602: PDF SVG PS JPEG PNG CT
      Structure 1603: PDF SVG PS JPEG PNG CT
      Structure 1604: PDF SVG PS JPEG PNG CT
      Structure 1605: PDF SVG PS JPEG PNG CT
      Structure 1606: PDF SVG PS JPEG PNG CT
      Structure 1607: PDF SVG PS JPEG PNG CT
      Structure 1608: PDF SVG PS JPEG PNG CT
      Structure 1609: PDF SVG PS JPEG PNG CT
      Structure 1610: PDF SVG PS JPEG PNG CT
      Structure 1611: PDF SVG PS JPEG PNG CT
      Structure 1612: PDF SVG PS JPEG PNG CT
      Structure 1613: PDF SVG PS JPEG PNG CT
      Structure 1614: PDF SVG PS JPEG PNG CT
      Structure 1615: PDF SVG PS JPEG PNG CT
      Structure 1616: PDF SVG PS JPEG PNG CT
      Structure 1617: PDF SVG PS JPEG PNG CT
      Structure 1618: PDF SVG PS JPEG PNG CT
      Structure 1619: PDF SVG PS JPEG PNG CT
      Structure 1620: PDF SVG PS JPEG PNG CT
      Structure 1621: PDF SVG PS JPEG PNG CT
      Structure 1622: PDF SVG PS JPEG PNG CT
      Structure 1623: PDF SVG PS JPEG PNG CT
      Structure 1624: PDF SVG PS JPEG PNG CT
      Structure 1625: PDF SVG PS JPEG PNG CT
      Structure 1626: PDF SVG PS JPEG PNG CT
      Structure 1627: PDF SVG PS JPEG PNG CT
      Structure 1628: PDF SVG PS JPEG PNG CT
      Structure 1629: PDF SVG PS JPEG PNG CT
      Structure 1630: PDF SVG PS JPEG PNG CT
      Structure 1631: PDF SVG PS JPEG PNG CT
      Structure 1632: PDF SVG PS JPEG PNG CT
      Structure 1633: PDF SVG PS JPEG PNG CT
      Structure 1634: PDF SVG PS JPEG PNG CT
      Structure 1635: PDF SVG PS JPEG PNG CT
      Structure 1636: PDF SVG PS JPEG PNG CT
      Structure 1637: PDF SVG PS JPEG PNG CT
      Structure 1638: PDF SVG PS JPEG PNG CT
      Structure 1639: PDF SVG PS JPEG PNG CT
      Structure 1640: PDF SVG PS JPEG PNG CT
      Structure 1641: PDF SVG PS JPEG PNG CT
      Structure 1642: PDF SVG PS JPEG PNG CT
      Structure 1643: PDF SVG PS JPEG PNG CT
      Structure 1644: PDF SVG PS JPEG PNG CT
      Structure 1645: PDF SVG PS JPEG PNG CT
      Structure 1646: PDF SVG PS JPEG PNG CT
      Structure 1647: PDF SVG PS JPEG PNG CT
      Structure 1648: PDF SVG PS JPEG PNG CT
      Structure 1649: PDF SVG PS JPEG PNG CT
      Structure 1650: PDF SVG PS JPEG PNG CT
      Structure 1651: PDF SVG PS JPEG PNG CT
      Structure 1652: PDF SVG PS JPEG PNG CT
      Structure 1653: PDF SVG PS JPEG PNG CT
      Structure 1654: PDF SVG PS JPEG PNG CT
      Structure 1655: PDF SVG PS JPEG PNG CT
      Structure 1656: PDF SVG PS JPEG PNG CT
      Structure 1657: PDF SVG PS JPEG PNG CT
      Structure 1658: PDF SVG PS JPEG PNG CT
      Structure 1659: PDF SVG PS JPEG PNG CT
      Structure 1660: PDF SVG PS JPEG PNG CT
      Structure 1661: PDF SVG PS JPEG PNG CT
      Structure 1662: PDF SVG PS JPEG PNG CT
      Structure 1663: PDF SVG PS JPEG PNG CT
      Structure 1664: PDF SVG PS JPEG PNG CT
      Structure 1665: PDF SVG PS JPEG PNG CT
      Structure 1666: PDF SVG PS JPEG PNG CT
      Structure 1667: PDF SVG PS JPEG PNG CT
      Structure 1668: PDF SVG PS JPEG PNG CT
      Structure 1669: PDF SVG PS JPEG PNG CT
      Structure 1670: PDF SVG PS JPEG PNG CT
      Structure 1671: PDF SVG PS JPEG PNG CT
      Structure 1672: PDF SVG PS JPEG PNG CT
      Structure 1673: PDF SVG PS JPEG PNG CT
      Structure 1674: PDF SVG PS JPEG PNG CT
      Structure 1675: PDF SVG PS JPEG PNG CT
      Structure 1676: PDF SVG PS JPEG PNG CT
      Structure 1677: PDF SVG PS JPEG PNG CT
      Structure 1678: PDF SVG PS JPEG PNG CT
      Structure 1679: PDF SVG PS JPEG PNG CT
      Structure 1680: PDF SVG PS JPEG PNG CT
      Structure 1681: PDF SVG PS JPEG PNG CT
      Structure 1682: PDF SVG PS JPEG PNG CT
      Structure 1683: PDF SVG PS JPEG PNG CT
      Structure 1684: PDF SVG PS JPEG PNG CT
      Structure 1685: PDF SVG PS JPEG PNG CT
      Structure 1686: PDF SVG PS JPEG PNG CT
      Structure 1687: PDF SVG PS JPEG PNG CT
      Structure 1688: PDF SVG PS JPEG PNG CT
      Structure 1689: PDF SVG PS JPEG PNG CT
      Structure 1690: PDF SVG PS JPEG PNG CT
      Structure 1691: PDF SVG PS JPEG PNG CT
      Structure 1692: PDF SVG PS JPEG PNG CT
      Structure 1693: PDF SVG PS JPEG PNG CT
      Structure 1694: PDF SVG PS JPEG PNG CT
      Structure 1695: PDF SVG PS JPEG PNG CT
      Structure 1696: PDF SVG PS JPEG PNG CT
      Structure 1697: PDF SVG PS JPEG PNG CT
      Structure 1698: PDF SVG PS JPEG PNG CT
      Structure 1699: PDF SVG PS JPEG PNG CT
      Structure 1700: PDF SVG PS JPEG PNG CT
      Structure 1701: PDF SVG PS JPEG PNG CT
      Structure 1702: PDF SVG PS JPEG PNG CT
      Structure 1703: PDF SVG PS JPEG PNG CT
      Structure 1704: PDF SVG PS JPEG PNG CT
      Structure 1705: PDF SVG PS JPEG PNG CT
      Structure 1706: PDF SVG PS JPEG PNG CT
      Structure 1707: PDF SVG PS JPEG PNG CT
      Structure 1708: PDF SVG PS JPEG PNG CT
      Structure 1709: PDF SVG PS JPEG PNG CT
      Structure 1710: PDF SVG PS JPEG PNG CT
      Structure 1711: PDF SVG PS JPEG PNG CT
      Structure 1712: PDF SVG PS JPEG PNG CT
      Structure 1713: PDF SVG PS JPEG PNG CT
      Structure 1714: PDF SVG PS JPEG PNG CT
      Structure 1715: PDF SVG PS JPEG PNG CT
      Structure 1716: PDF SVG PS JPEG PNG CT
      Structure 1717: PDF SVG PS JPEG PNG CT
      Structure 1718: PDF SVG PS JPEG PNG CT
      Structure 1719: PDF SVG PS JPEG PNG CT
      Structure 1720: PDF SVG PS JPEG PNG CT
      Structure 1721: PDF SVG PS JPEG PNG CT
      Structure 1722: PDF SVG PS JPEG PNG CT
      Structure 1723: PDF SVG PS JPEG PNG CT
      Structure 1724: PDF SVG PS JPEG PNG CT
      Structure 1725: PDF SVG PS JPEG PNG CT
      Structure 1726: PDF SVG PS JPEG PNG CT
      Structure 1727: PDF SVG PS JPEG PNG CT
      Structure 1728: PDF SVG PS JPEG PNG CT
      Structure 1729: PDF SVG PS JPEG PNG CT
      Structure 1730: PDF SVG PS JPEG PNG CT
      Structure 1731: PDF SVG PS JPEG PNG CT
      Structure 1732: PDF SVG PS JPEG PNG CT
      Structure 1733: PDF SVG PS JPEG PNG CT
      Structure 1734: PDF SVG PS JPEG PNG CT
      Structure 1735: PDF SVG PS JPEG PNG CT
      Structure 1736: PDF SVG PS JPEG PNG CT
      Structure 1737: PDF SVG PS JPEG PNG CT
      Structure 1738: PDF SVG PS JPEG PNG CT
      Structure 1739: PDF SVG PS JPEG PNG CT
      Structure 1740: PDF SVG PS JPEG PNG CT
      Structure 1741: PDF SVG PS JPEG PNG CT
      Structure 1742: PDF SVG PS JPEG PNG CT
      Structure 1743: PDF SVG PS JPEG PNG CT
      Structure 1744: PDF SVG PS JPEG PNG CT
      Structure 1745: PDF SVG PS JPEG PNG CT
      Structure 1746: PDF SVG PS JPEG PNG CT
      Structure 1747: PDF SVG PS JPEG PNG CT
      Structure 1748: PDF SVG PS JPEG PNG CT
      Structure 1749: PDF SVG PS JPEG PNG CT
      Structure 1750: PDF SVG PS JPEG PNG CT
      Structure 1751: PDF SVG PS JPEG PNG CT
      Structure 1752: PDF SVG PS JPEG PNG CT
      Structure 1753: PDF SVG PS JPEG PNG CT
      Structure 1754: PDF SVG PS JPEG PNG CT
      Structure 1755: PDF SVG PS JPEG PNG CT
      Structure 1756: PDF SVG PS JPEG PNG CT
      Structure 1757: PDF SVG PS JPEG PNG CT
      Structure 1758: PDF SVG PS JPEG PNG CT
      Structure 1759: PDF SVG PS JPEG PNG CT
      Structure 1760: PDF SVG PS JPEG PNG CT
      Structure 1761: PDF SVG PS JPEG PNG CT
      Structure 1762: PDF SVG PS JPEG PNG CT
      Structure 1763: PDF SVG PS JPEG PNG CT
      Structure 1764: PDF SVG PS JPEG PNG CT
      Structure 1765: PDF SVG PS JPEG PNG CT
      Structure 1766: PDF SVG PS JPEG PNG CT
      Structure 1767: PDF SVG PS JPEG PNG CT
      Structure 1768: PDF SVG PS JPEG PNG CT
      Structure 1769: PDF SVG PS JPEG PNG CT
      Structure 1770: PDF SVG PS JPEG PNG CT
      Structure 1771: PDF SVG PS JPEG PNG CT
      Structure 1772: PDF SVG PS JPEG PNG CT
      Structure 1773: PDF SVG PS JPEG PNG CT
      Structure 1774: PDF SVG PS JPEG PNG CT
      Structure 1775: PDF SVG PS JPEG PNG CT
      Structure 1776: PDF SVG PS JPEG PNG CT
      Structure 1777: PDF SVG PS JPEG PNG CT
      Structure 1778: PDF SVG PS JPEG PNG CT
      Structure 1779: PDF SVG PS JPEG PNG CT
      Structure 1780: PDF SVG PS JPEG PNG CT
      Structure 1781: PDF SVG PS JPEG PNG CT
      Structure 1782: PDF SVG PS JPEG PNG CT
      Structure 1783: PDF SVG PS JPEG PNG CT
      Structure 1784: PDF SVG PS JPEG PNG CT
      Structure 1785: PDF SVG PS JPEG PNG CT
      Structure 1786: PDF SVG PS JPEG PNG CT
      Structure 1787: PDF SVG PS JPEG PNG CT
      Structure 1788: PDF SVG PS JPEG PNG CT
      Structure 1789: PDF SVG PS JPEG PNG CT
      Structure 1790: PDF SVG PS JPEG PNG CT
      Structure 1791: PDF SVG PS JPEG PNG CT
      Structure 1792: PDF SVG PS JPEG PNG CT
      Structure 1793: PDF SVG PS JPEG PNG CT
      Structure 1794: PDF SVG PS JPEG PNG CT
      Structure 1795: PDF SVG PS JPEG PNG CT
      Structure 1796: PDF SVG PS JPEG PNG CT
      Structure 1797: PDF SVG PS JPEG PNG CT
      Structure 1798: PDF SVG PS JPEG PNG CT
      Structure 1799: PDF SVG PS JPEG PNG CT
      Structure 1800: PDF SVG PS JPEG PNG CT
      Structure 1801: PDF SVG PS JPEG PNG CT
      Structure 1802: PDF SVG PS JPEG PNG CT
      Structure 1803: PDF SVG PS JPEG PNG CT
      Structure 1804: PDF SVG PS JPEG PNG CT
      Structure 1805: PDF SVG PS JPEG PNG CT
      Structure 1806: PDF SVG PS JPEG PNG CT
      Structure 1807: PDF SVG PS JPEG PNG CT
      Structure 1808: PDF SVG PS JPEG PNG CT
      Structure 1809: PDF SVG PS JPEG PNG CT
      Structure 1810: PDF SVG PS JPEG PNG CT
      Structure 1811: PDF SVG PS JPEG PNG CT
      Structure 1812: PDF SVG PS JPEG PNG CT
      Structure 1813: PDF SVG PS JPEG PNG CT
      Structure 1814: PDF SVG PS JPEG PNG CT
      Structure 1815: PDF SVG PS JPEG PNG CT
      Structure 1816: PDF SVG PS JPEG PNG CT
      Structure 1817: PDF SVG PS JPEG PNG CT
      Structure 1818: PDF SVG PS JPEG PNG CT
      Structure 1819: PDF SVG PS JPEG PNG CT
      Structure 1820: PDF SVG PS JPEG PNG CT
      Structure 1821: PDF SVG PS JPEG PNG CT
      Structure 1822: PDF SVG PS JPEG PNG CT
      Structure 1823: PDF SVG PS JPEG PNG CT
      Structure 1824: PDF SVG PS JPEG PNG CT
      Structure 1825: PDF SVG PS JPEG PNG CT
      Structure 1826: PDF SVG PS JPEG PNG CT
      Structure 1827: PDF SVG PS JPEG PNG CT
      Structure 1828: PDF SVG PS JPEG PNG CT
      Structure 1829: PDF SVG PS JPEG PNG CT
      Structure 1830: PDF SVG PS JPEG PNG CT
      Structure 1831: PDF SVG PS JPEG PNG CT
      Structure 1832: PDF SVG PS JPEG PNG CT
      Structure 1833: PDF SVG PS JPEG PNG CT
      Structure 1834: PDF SVG PS JPEG PNG CT
      Structure 1835: PDF SVG PS JPEG PNG CT
      Structure 1836: PDF SVG PS JPEG PNG CT
      Structure 1837: PDF SVG PS JPEG PNG CT
      Structure 1838: PDF SVG PS JPEG PNG CT
      Structure 1839: PDF SVG PS JPEG PNG CT
      Structure 1840: PDF SVG PS JPEG PNG CT
      Structure 1841: PDF SVG PS JPEG PNG CT
      Structure 1842: PDF SVG PS JPEG PNG CT
      Structure 1843: PDF SVG PS JPEG PNG CT
      Structure 1844: PDF SVG PS JPEG PNG CT
      Structure 1845: PDF SVG PS JPEG PNG CT
      Structure 1846: PDF SVG PS JPEG PNG CT
      Structure 1847: PDF SVG PS JPEG PNG CT
      Structure 1848: PDF SVG PS JPEG PNG CT
      Structure 1849: PDF SVG PS JPEG PNG CT
      Structure 1850: PDF SVG PS JPEG PNG CT
      Structure 1851: PDF SVG PS JPEG PNG CT
      Structure 1852: PDF SVG PS JPEG PNG CT
      Structure 1853: PDF SVG PS JPEG PNG CT
      Structure 1854: PDF SVG PS JPEG PNG CT
      Structure 1855: PDF SVG PS JPEG PNG CT
      Structure 1856: PDF SVG PS JPEG PNG CT
      Structure 1857: PDF SVG PS JPEG PNG CT
      Structure 1858: PDF SVG PS JPEG PNG CT
      Structure 1859: PDF SVG PS JPEG PNG CT
      Structure 1860: PDF SVG PS JPEG PNG CT
      Structure 1861: PDF SVG PS JPEG PNG CT
      Structure 1862: PDF SVG PS JPEG PNG CT
      Structure 1863: PDF SVG PS JPEG PNG CT
      Structure 1864: PDF SVG PS JPEG PNG CT
      Structure 1865: PDF SVG PS JPEG PNG CT
      Structure 1866: PDF SVG PS JPEG PNG CT
      Structure 1867: PDF SVG PS JPEG PNG CT
      Structure 1868: PDF SVG PS JPEG PNG CT
      Structure 1869: PDF SVG PS JPEG PNG CT
      Structure 1870: PDF SVG PS JPEG PNG CT
      Structure 1871: PDF SVG PS JPEG PNG CT
      Structure 1872: PDF SVG PS JPEG PNG CT
      Structure 1873: PDF SVG PS JPEG PNG CT
      Structure 1874: PDF SVG PS JPEG PNG CT
      Structure 1875: PDF SVG PS JPEG PNG CT
      Structure 1876: PDF SVG PS JPEG PNG CT
      Structure 1877: PDF SVG PS JPEG PNG CT
      Structure 1878: PDF SVG PS JPEG PNG CT
      Structure 1879: PDF SVG PS JPEG PNG CT
      Structure 1880: PDF SVG PS JPEG PNG CT
      Structure 1881: PDF SVG PS JPEG PNG CT
      Structure 1882: PDF SVG PS JPEG PNG CT
      Structure 1883: PDF SVG PS JPEG PNG CT
      Structure 1884: PDF SVG PS JPEG PNG CT
      Structure 1885: PDF SVG PS JPEG PNG CT
      Structure 1886: PDF SVG PS JPEG PNG CT
      Structure 1887: PDF SVG PS JPEG PNG CT
      Structure 1888: PDF SVG PS JPEG PNG CT
      Structure 1889: PDF SVG PS JPEG PNG CT
      Structure 1890: PDF SVG PS JPEG PNG CT
      Structure 1891: PDF SVG PS JPEG PNG CT
      Structure 1892: PDF SVG PS JPEG PNG CT
      Structure 1893: PDF SVG PS JPEG PNG CT
      Structure 1894: PDF SVG PS JPEG PNG CT
      Structure 1895: PDF SVG PS JPEG PNG CT
      Structure 1896: PDF SVG PS JPEG PNG CT
      Structure 1897: PDF SVG PS JPEG PNG CT
      Structure 1898: PDF SVG PS JPEG PNG CT
      Structure 1899: PDF SVG PS JPEG PNG CT
      Structure 1900: PDF SVG PS JPEG PNG CT
      Structure 1901: PDF SVG PS JPEG PNG CT
      Structure 1902: PDF SVG PS JPEG PNG CT
      Structure 1903: PDF SVG PS JPEG PNG CT
      Structure 1904: PDF SVG PS JPEG PNG CT
      Structure 1905: PDF SVG PS JPEG PNG CT
      Structure 1906: PDF SVG PS JPEG PNG CT
      Structure 1907: PDF SVG PS JPEG PNG CT
      Structure 1908: PDF SVG PS JPEG PNG CT
      Structure 1909: PDF SVG PS JPEG PNG CT
      Structure 1910: PDF SVG PS JPEG PNG CT
      Structure 1911: PDF SVG PS JPEG PNG CT
      Structure 1912: PDF SVG PS JPEG PNG CT
      Structure 1913: PDF SVG PS JPEG PNG CT
      Structure 1914: PDF SVG PS JPEG PNG CT
      Structure 1915: PDF SVG PS JPEG PNG CT
      Structure 1916: PDF SVG PS JPEG PNG CT
      Structure 1917: PDF SVG PS JPEG PNG CT
      Structure 1918: PDF SVG PS JPEG PNG CT
      Structure 1919: PDF SVG PS JPEG PNG CT
      Structure 1920: PDF SVG PS JPEG PNG CT
      Structure 1921: PDF SVG PS JPEG PNG CT
      Structure 1922: PDF SVG PS JPEG PNG CT
      Structure 1923: PDF SVG PS JPEG PNG CT
      Structure 1924: PDF SVG PS JPEG PNG CT
      Structure 1925: PDF SVG PS JPEG PNG CT
      Structure 1926: PDF SVG PS JPEG PNG CT
      Structure 1927: PDF SVG PS JPEG PNG CT
      Structure 1928: PDF SVG PS JPEG PNG CT
      Structure 1929: PDF SVG PS JPEG PNG CT
      Structure 1930: PDF SVG PS JPEG PNG CT
      Structure 1931: PDF SVG PS JPEG PNG CT
      Structure 1932: PDF SVG PS JPEG PNG CT
      Structure 1933: PDF SVG PS JPEG PNG CT
      Structure 1934: PDF SVG PS JPEG PNG CT
      Structure 1935: PDF SVG PS JPEG PNG CT
      Structure 1936: PDF SVG PS JPEG PNG CT
      Structure 1937: PDF SVG PS JPEG PNG CT
      Structure 1938: PDF SVG PS JPEG PNG CT
      Structure 1939: PDF SVG PS JPEG PNG CT
      Structure 1940: PDF SVG PS JPEG PNG CT
      Structure 1941: PDF SVG PS JPEG PNG CT
      Structure 1942: PDF SVG PS JPEG PNG CT
      Structure 1943: PDF SVG PS JPEG PNG CT
      Structure 1944: PDF SVG PS JPEG PNG CT
      Structure 1945: PDF SVG PS JPEG PNG CT
      Structure 1946: PDF SVG PS JPEG PNG CT
      Structure 1947: PDF SVG PS JPEG PNG CT
      Structure 1948: PDF SVG PS JPEG PNG CT
      Structure 1949: PDF SVG PS JPEG PNG CT
      Structure 1950: PDF SVG PS JPEG PNG CT
      Structure 1951: PDF SVG PS JPEG PNG CT
      Structure 1952: PDF SVG PS JPEG PNG CT
      Structure 1953: PDF SVG PS JPEG PNG CT
      Structure 1954: PDF SVG PS JPEG PNG CT
      Structure 1955: PDF SVG PS JPEG PNG CT
      Structure 1956: PDF SVG PS JPEG PNG CT
      Structure 1957: PDF SVG PS JPEG PNG CT
      Structure 1958: PDF SVG PS JPEG PNG CT
      Structure 1959: PDF SVG PS JPEG PNG CT
      Structure 1960: PDF SVG PS JPEG PNG CT
      Structure 1961: PDF SVG PS JPEG PNG CT
      Structure 1962: PDF SVG PS JPEG PNG CT
      Structure 1963: PDF SVG PS JPEG PNG CT
      Structure 1964: PDF SVG PS JPEG PNG CT
      Structure 1965: PDF SVG PS JPEG PNG CT
      Structure 1966: PDF SVG PS JPEG PNG CT
      Structure 1967: PDF SVG PS JPEG PNG CT
      Structure 1968: PDF SVG PS JPEG PNG CT
      Structure 1969: PDF SVG PS JPEG PNG CT
      Structure 1970: PDF SVG PS JPEG PNG CT
      Structure 1971: PDF SVG PS JPEG PNG CT
      Structure 1972: PDF SVG PS JPEG PNG CT
      Structure 1973: PDF SVG PS JPEG PNG CT
      Structure 1974: PDF SVG PS JPEG PNG CT
      Structure 1975: PDF SVG PS JPEG PNG CT
      Structure 1976: PDF SVG PS JPEG PNG CT
      Structure 1977: PDF SVG PS JPEG PNG CT
      Structure 1978: PDF SVG PS JPEG PNG CT
      Structure 1979: PDF SVG PS JPEG PNG CT
      Structure 1980: PDF SVG PS JPEG PNG CT
      Structure 1981: PDF SVG PS JPEG PNG CT
      Structure 1982: PDF SVG PS JPEG PNG CT
      Structure 1983: PDF SVG PS JPEG PNG CT
      Structure 1984: PDF SVG PS JPEG PNG CT
      Structure 1985: PDF SVG PS JPEG PNG CT
      Structure 1986: PDF SVG PS JPEG PNG CT
      Structure 1987: PDF SVG PS JPEG PNG CT
      Structure 1988: PDF SVG PS JPEG PNG CT
      Structure 1989: PDF SVG PS JPEG PNG CT
      Structure 1990: PDF SVG PS JPEG PNG CT
      Structure 1991: PDF SVG PS JPEG PNG CT
      Structure 1992: PDF SVG PS JPEG PNG CT
      Structure 1993: PDF SVG PS JPEG PNG CT
      Structure 1994: PDF SVG PS JPEG PNG CT
      Structure 1995: PDF SVG PS JPEG PNG CT
      Structure 1996: PDF SVG PS JPEG PNG CT
      Structure 1997: PDF SVG PS JPEG PNG CT
      Structure 1998: PDF SVG PS JPEG PNG CT
      Structure 1999: PDF SVG PS JPEG PNG CT
      Structure 2000: PDF SVG PS JPEG PNG CT
      Structure 2001: PDF SVG PS JPEG PNG CT
      Structure 2002: PDF SVG PS JPEG PNG CT
      Structure 2003: PDF SVG PS JPEG PNG CT
      Structure 2004: PDF SVG PS JPEG PNG CT
      Structure 2005: PDF SVG PS JPEG PNG CT
      Structure 2006: PDF SVG PS JPEG PNG CT
      Structure 2007: PDF SVG PS JPEG PNG CT
      Structure 2008: PDF SVG PS JPEG PNG CT
      Structure 2009: PDF SVG PS JPEG PNG CT
      Structure 2010: PDF SVG PS JPEG PNG CT
      Structure 2011: PDF SVG PS JPEG PNG CT
      Structure 2012: PDF SVG PS JPEG PNG CT
      Structure 2013: PDF SVG PS JPEG PNG CT
      Structure 2014: PDF SVG PS JPEG PNG CT
      Structure 2015: PDF SVG PS JPEG PNG CT
      Structure 2016: PDF SVG PS JPEG PNG CT
      Structure 2017: PDF SVG PS JPEG PNG CT
      Structure 2018: PDF SVG PS JPEG PNG CT
      Structure 2019: PDF SVG PS JPEG PNG CT
      Structure 2020: PDF SVG PS JPEG PNG CT
      Structure 2021: PDF SVG PS JPEG PNG CT
      Structure 2022: PDF SVG PS JPEG PNG CT
      Structure 2023: PDF SVG PS JPEG PNG CT
      Structure 2024: PDF SVG PS JPEG PNG CT
      Structure 2025: PDF SVG PS JPEG PNG CT
      Structure 2026: PDF SVG PS JPEG PNG CT
      Structure 2027: PDF SVG PS JPEG PNG CT
      Structure 2028: PDF SVG PS JPEG PNG CT
      Structure 2029: PDF SVG PS JPEG PNG CT
      Structure 2030: PDF SVG PS JPEG PNG CT
      Structure 2031: PDF SVG PS JPEG PNG CT
      Structure 2032: PDF SVG PS JPEG PNG CT
      Structure 2033: PDF SVG PS JPEG PNG CT
      Structure 2034: PDF SVG PS JPEG PNG CT
      Structure 2035: PDF SVG PS JPEG PNG CT
      Structure 2036: PDF SVG PS JPEG PNG CT
      Structure 2037: PDF SVG PS JPEG PNG CT
      Structure 2038: PDF SVG PS JPEG PNG CT
      Structure 2039: PDF SVG PS JPEG PNG CT
      Structure 2040: PDF SVG PS JPEG PNG CT
      Structure 2041: PDF SVG PS JPEG PNG CT
      Structure 2042: PDF SVG PS JPEG PNG CT
      Structure 2043: PDF SVG PS JPEG PNG CT
      Structure 2044: PDF SVG PS JPEG PNG CT
      Structure 2045: PDF SVG PS JPEG PNG CT
      Structure 2046: PDF SVG PS JPEG PNG CT
      Structure 2047: PDF SVG PS JPEG PNG CT
      Structure 2048: PDF SVG PS JPEG PNG CT
      Structure 2049: PDF SVG PS JPEG PNG CT
      Structure 2050: PDF SVG PS JPEG PNG CT
      Structure 2051: PDF SVG PS JPEG PNG CT
      Structure 2052: PDF SVG PS JPEG PNG CT
      Structure 2053: PDF SVG PS JPEG PNG CT
      Structure 2054: PDF SVG PS JPEG PNG CT
      Structure 2055: PDF SVG PS JPEG PNG CT
      Structure 2056: PDF SVG PS JPEG PNG CT
      Structure 2057: PDF SVG PS JPEG PNG CT
      Structure 2058: PDF SVG PS JPEG PNG CT
      Structure 2059: PDF SVG PS JPEG PNG CT
      Structure 2060: PDF SVG PS JPEG PNG CT
      Structure 2061: PDF SVG PS JPEG PNG CT
      Structure 2062: PDF SVG PS JPEG PNG CT
      Structure 2063: PDF SVG PS JPEG PNG CT
      Structure 2064: PDF SVG PS JPEG PNG CT
      Structure 2065: PDF SVG PS JPEG PNG CT
      Structure 2066: PDF SVG PS JPEG PNG CT
      Structure 2067: PDF SVG PS JPEG PNG CT
      Structure 2068: PDF SVG PS JPEG PNG CT
      Structure 2069: PDF SVG PS JPEG PNG CT
      Structure 2070: PDF SVG PS JPEG PNG CT
      Structure 2071: PDF SVG PS JPEG PNG CT
      Structure 2072: PDF SVG PS JPEG PNG CT
      Structure 2073: PDF SVG PS JPEG PNG CT
      Structure 2074: PDF SVG PS JPEG PNG CT
      Structure 2075: PDF SVG PS JPEG PNG CT
      Structure 2076: PDF SVG PS JPEG PNG CT
      Structure 2077: PDF SVG PS JPEG PNG CT
      Structure 2078: PDF SVG PS JPEG PNG CT
      Structure 2079: PDF SVG PS JPEG PNG CT
      Structure 2080: PDF SVG PS JPEG PNG CT
      Structure 2081: PDF SVG PS JPEG PNG CT
      Structure 2082: PDF SVG PS JPEG PNG CT
      Structure 2083: PDF SVG PS JPEG PNG CT
      Structure 2084: PDF SVG PS JPEG PNG CT
      Structure 2085: PDF SVG PS JPEG PNG CT
      Structure 2086: PDF SVG PS JPEG PNG CT
      Structure 2087: PDF SVG PS JPEG PNG CT
      Structure 2088: PDF SVG PS JPEG PNG CT
      Structure 2089: PDF SVG PS JPEG PNG CT
      Structure 2090: PDF SVG PS JPEG PNG CT
      Structure 2091: PDF SVG PS JPEG PNG CT
      Structure 2092: PDF SVG PS JPEG PNG CT
      Structure 2093: PDF SVG PS JPEG PNG CT
      Structure 2094: PDF SVG PS JPEG PNG CT
      Structure 2095: PDF SVG PS JPEG PNG CT
      Structure 2096: PDF SVG PS JPEG PNG CT
      Structure 2097: PDF SVG PS JPEG PNG CT
      Structure 2098: PDF SVG PS JPEG PNG CT
      Structure 2099: PDF SVG PS JPEG PNG CT
      Structure 2100: PDF SVG PS JPEG PNG CT
      Structure 2101: PDF SVG PS JPEG PNG CT
      Structure 2102: PDF SVG PS JPEG PNG CT
      Structure 2103: PDF SVG PS JPEG PNG CT
      Structure 2104: PDF SVG PS JPEG PNG CT
      Structure 2105: PDF SVG PS JPEG PNG CT
      Structure 2106: PDF SVG PS JPEG PNG CT
      Structure 2107: PDF SVG PS JPEG PNG CT
      Structure 2108: PDF SVG PS JPEG PNG CT
      Structure 2109: PDF SVG PS JPEG PNG CT
      Structure 2110: PDF SVG PS JPEG PNG CT
      Structure 2111: PDF SVG PS JPEG PNG CT
      Structure 2112: PDF SVG PS JPEG PNG CT
      Structure 2113: PDF SVG PS JPEG PNG CT
      Structure 2114: PDF SVG PS JPEG PNG CT
      Structure 2115: PDF SVG PS JPEG PNG CT
      Structure 2116: PDF SVG PS JPEG PNG CT
      Structure 2117: PDF SVG PS JPEG PNG CT
      Structure 2118: PDF SVG PS JPEG PNG CT
      Structure 2119: PDF SVG PS JPEG PNG CT
      Structure 2120: PDF SVG PS JPEG PNG CT
      Structure 2121: PDF SVG PS JPEG PNG CT
      Structure 2122: PDF SVG PS JPEG PNG CT
      Structure 2123: PDF SVG PS JPEG PNG CT
      Structure 2124: PDF SVG PS JPEG PNG CT
      Structure 2125: PDF SVG PS JPEG PNG CT
      Structure 2126: PDF SVG PS JPEG PNG CT
      Structure 2127: PDF SVG PS JPEG PNG CT
      Structure 2128: PDF SVG PS JPEG PNG CT
      Structure 2129: PDF SVG PS JPEG PNG CT
      Structure 2130: PDF SVG PS JPEG PNG CT
      Structure 2131: PDF SVG PS JPEG PNG CT
      Structure 2132: PDF SVG PS JPEG PNG CT
      Structure 2133: PDF SVG PS JPEG PNG CT
      Structure 2134: PDF SVG PS JPEG PNG CT
      Structure 2135: PDF SVG PS JPEG PNG CT
      Structure 2136: PDF SVG PS JPEG PNG CT
      Structure 2137: PDF SVG PS JPEG PNG CT
      Structure 2138: PDF SVG PS JPEG PNG CT
      Structure 2139: PDF SVG PS JPEG PNG CT
      Structure 2140: PDF SVG PS JPEG PNG CT
      Structure 2141: PDF SVG PS JPEG PNG CT
      Structure 2142: PDF SVG PS JPEG PNG CT
      Structure 2143: PDF SVG PS JPEG PNG CT
      Structure 2144: PDF SVG PS JPEG PNG CT
      Structure 2145: PDF SVG PS JPEG PNG CT
      Structure 2146: PDF SVG PS JPEG PNG CT
      Structure 2147: PDF SVG PS JPEG PNG CT
      Structure 2148: PDF SVG PS JPEG PNG CT
      Structure 2149: PDF SVG PS JPEG PNG CT
      Structure 2150: PDF SVG PS JPEG PNG CT
      Structure 2151: PDF SVG PS JPEG PNG CT
      Structure 2152: PDF SVG PS JPEG PNG CT
      Structure 2153: PDF SVG PS JPEG PNG CT
      Structure 2154: PDF SVG PS JPEG PNG CT
      Structure 2155: PDF SVG PS JPEG PNG CT
      Structure 2156: PDF SVG PS JPEG PNG CT
      Structure 2157: PDF SVG PS JPEG PNG CT
      Structure 2158: PDF SVG PS JPEG PNG CT
      Structure 2159: PDF SVG PS JPEG PNG CT
      Structure 2160: PDF SVG PS JPEG PNG CT
      Structure 2161: PDF SVG PS JPEG PNG CT
      Structure 2162: PDF SVG PS JPEG PNG CT
      Structure 2163: PDF SVG PS JPEG PNG CT
      Structure 2164: PDF SVG PS JPEG PNG CT
      Structure 2165: PDF SVG PS JPEG PNG CT
      Structure 2166: PDF SVG PS JPEG PNG CT
      Structure 2167: PDF SVG PS JPEG PNG CT
      Structure 2168: PDF SVG PS JPEG PNG CT
      Structure 2169: PDF SVG PS JPEG PNG CT
      Structure 2170: PDF SVG PS JPEG PNG CT
      Structure 2171: PDF SVG PS JPEG PNG CT
      Structure 2172: PDF SVG PS JPEG PNG CT
      Structure 2173: PDF SVG PS JPEG PNG CT
      Structure 2174: PDF SVG PS JPEG PNG CT
      Structure 2175: PDF SVG PS JPEG PNG CT
      Structure 2176: PDF SVG PS JPEG PNG CT
      Structure 2177: PDF SVG PS JPEG PNG CT
      Structure 2178: PDF SVG PS JPEG PNG CT
      Structure 2179: PDF SVG PS JPEG PNG CT
      Structure 2180: PDF SVG PS JPEG PNG CT
      Structure 2181: PDF SVG PS JPEG PNG CT
      Structure 2182: PDF SVG PS JPEG PNG CT
      Structure 2183: PDF SVG PS JPEG PNG CT
      Structure 2184: PDF SVG PS JPEG PNG CT
      Structure 2185: PDF SVG PS JPEG PNG CT
      Structure 2186: PDF SVG PS JPEG PNG CT
      Structure 2187: PDF SVG PS JPEG PNG CT
      Structure 2188: PDF SVG PS JPEG PNG CT
      Structure 2189: PDF SVG PS JPEG PNG CT
      Structure 2190: PDF SVG PS JPEG PNG CT
      Structure 2191: PDF SVG PS JPEG PNG CT
      Structure 2192: PDF SVG PS JPEG PNG CT
      Structure 2193: PDF SVG PS JPEG PNG CT
      Structure 2194: PDF SVG PS JPEG PNG CT
      Structure 2195: PDF SVG PS JPEG PNG CT
      Structure 2196: PDF SVG PS JPEG PNG CT
      Structure 2197: PDF SVG PS JPEG PNG CT
      Structure 2198: PDF SVG PS JPEG PNG CT
      Structure 2199: PDF SVG PS JPEG PNG CT
      Structure 2200: PDF SVG PS JPEG PNG CT
      Structure 2201: PDF SVG PS JPEG PNG CT
      Structure 2202: PDF SVG PS JPEG PNG CT
      Structure 2203: PDF SVG PS JPEG PNG CT
      Structure 2204: PDF SVG PS JPEG PNG CT
      Structure 2205: PDF SVG PS JPEG PNG CT
      Structure 2206: PDF SVG PS JPEG PNG CT
      Structure 2207: PDF SVG PS JPEG PNG CT
      Structure 2208: PDF SVG PS JPEG PNG CT
      Structure 2209: PDF SVG PS JPEG PNG CT
      Structure 2210: PDF SVG PS JPEG PNG CT
      Structure 2211: PDF SVG PS JPEG PNG CT
      Structure 2212: PDF SVG PS JPEG PNG CT
      Structure 2213: PDF SVG PS JPEG PNG CT
      Structure 2214: PDF SVG PS JPEG PNG CT
      Structure 2215: PDF SVG PS JPEG PNG CT
      Structure 2216: PDF SVG PS JPEG PNG CT
      Structure 2217: PDF SVG PS JPEG PNG CT
      Structure 2218: PDF SVG PS JPEG PNG CT
      Structure 2219: PDF SVG PS JPEG PNG CT
      Structure 2220: PDF SVG PS JPEG PNG CT
      Structure 2221: PDF SVG PS JPEG PNG CT
      Structure 2222: PDF SVG PS JPEG PNG CT
      Structure 2223: PDF SVG PS JPEG PNG CT
      Structure 2224: PDF SVG PS JPEG PNG CT
      Structure 2225: PDF SVG PS JPEG PNG CT
      Structure 2226: PDF SVG PS JPEG PNG CT
      Structure 2227: PDF SVG PS JPEG PNG CT
      Structure 2228: PDF SVG PS JPEG PNG CT
      Structure 2229: PDF SVG PS JPEG PNG CT
      Structure 2230: PDF SVG PS JPEG PNG CT
      Structure 2231: PDF SVG PS JPEG PNG CT
      Structure 2232: PDF SVG PS JPEG PNG CT
      Structure 2233: PDF SVG PS JPEG PNG CT
      Structure 2234: PDF SVG PS JPEG PNG CT
      Structure 2235: PDF SVG PS JPEG PNG CT
      Structure 2236: PDF SVG PS JPEG PNG CT
      Structure 2237: PDF SVG PS JPEG PNG CT
      Structure 2238: PDF SVG PS JPEG PNG CT
      Structure 2239: PDF SVG PS JPEG PNG CT
      Structure 2240: PDF SVG PS JPEG PNG CT
      Structure 2241: PDF SVG PS JPEG PNG CT
      Structure 2242: PDF SVG PS JPEG PNG CT
      Structure 2243: PDF SVG PS JPEG PNG CT
      Structure 2244: PDF SVG PS JPEG PNG CT
      Structure 2245: PDF SVG PS JPEG PNG CT
      Structure 2246: PDF SVG PS JPEG PNG CT
      Structure 2247: PDF SVG PS JPEG PNG CT
      Structure 2248: PDF SVG PS JPEG PNG CT
      Structure 2249: PDF SVG PS JPEG PNG CT
      Structure 2250: PDF SVG PS JPEG PNG CT
      Structure 2251: PDF SVG PS JPEG PNG CT
      Structure 2252: PDF SVG PS JPEG PNG CT
      Structure 2253: PDF SVG PS JPEG PNG CT
      Structure 2254: PDF SVG PS JPEG PNG CT
      Structure 2255: PDF SVG PS JPEG PNG CT
      Structure 2256: PDF SVG PS JPEG PNG CT
      Structure 2257: PDF SVG PS JPEG PNG CT
      Structure 2258: PDF SVG PS JPEG PNG CT
      Structure 2259: PDF SVG PS JPEG PNG CT
      Structure 2260: PDF SVG PS JPEG PNG CT
      Structure 2261: PDF SVG PS JPEG PNG CT
      Structure 2262: PDF SVG PS JPEG PNG CT
      Structure 2263: PDF SVG PS JPEG PNG CT
      Structure 2264: PDF SVG PS JPEG PNG CT
      Structure 2265: PDF SVG PS JPEG PNG CT
      Structure 2266: PDF SVG PS JPEG PNG CT
      Structure 2267: PDF SVG PS JPEG PNG CT
      Structure 2268: PDF SVG PS JPEG PNG CT
      Structure 2269: PDF SVG PS JPEG PNG CT
      Structure 2270: PDF SVG PS JPEG PNG CT
      Structure 2271: PDF SVG PS JPEG PNG CT
      Structure 2272: PDF SVG PS JPEG PNG CT
      Structure 2273: PDF SVG PS JPEG PNG CT
      Structure 2274: PDF SVG PS JPEG PNG CT
      Structure 2275: PDF SVG PS JPEG PNG CT
      Structure 2276: PDF SVG PS JPEG PNG CT
      Structure 2277: PDF SVG PS JPEG PNG CT
      Structure 2278: PDF SVG PS JPEG PNG CT
      Structure 2279: PDF SVG PS JPEG PNG CT
      Structure 2280: PDF SVG PS JPEG PNG CT
      Structure 2281: PDF SVG PS JPEG PNG CT
      Structure 2282: PDF SVG PS JPEG PNG CT
      Structure 2283: PDF SVG PS JPEG PNG CT
      Structure 2284: PDF SVG PS JPEG PNG CT
      Structure 2285: PDF SVG PS JPEG PNG CT
      Structure 2286: PDF SVG PS JPEG PNG CT
      Structure 2287: PDF SVG PS JPEG PNG CT
      Structure 2288: PDF SVG PS JPEG PNG CT
      Structure 2289: PDF SVG PS JPEG PNG CT
      Structure 2290: PDF SVG PS JPEG PNG CT
      Structure 2291: PDF SVG PS JPEG PNG CT
      Structure 2292: PDF SVG PS JPEG PNG CT
      Structure 2293: PDF SVG PS JPEG PNG CT
      Structure 2294: PDF SVG PS JPEG PNG CT
      Structure 2295: PDF SVG PS JPEG PNG CT
      Structure 2296: PDF SVG PS JPEG PNG CT
      Structure 2297: PDF SVG PS JPEG PNG CT
      Structure 2298: PDF SVG PS JPEG PNG CT
      Structure 2299: PDF SVG PS JPEG PNG CT
      Structure 2300: PDF SVG PS JPEG PNG CT
      Structure 2301: PDF SVG PS JPEG PNG CT
      Structure 2302: PDF SVG PS JPEG PNG CT
      Structure 2303: PDF SVG PS JPEG PNG CT
      Structure 2304: PDF SVG PS JPEG PNG CT
      Structure 2305: PDF SVG PS JPEG PNG CT
      Structure 2306: PDF SVG PS JPEG PNG CT
      Structure 2307: PDF SVG PS JPEG PNG CT
      Structure 2308: PDF SVG PS JPEG PNG CT
      Structure 2309: PDF SVG PS JPEG PNG CT
      Structure 2310: PDF SVG PS JPEG PNG CT
      Structure 2311: PDF SVG PS JPEG PNG CT
      Structure 2312: PDF SVG PS JPEG PNG CT
      Structure 2313: PDF SVG PS JPEG PNG CT
      Structure 2314: PDF SVG PS JPEG PNG CT
      Structure 2315: PDF SVG PS JPEG PNG CT
      Structure 2316: PDF SVG PS JPEG PNG CT
      Structure 2317: PDF SVG PS JPEG PNG CT
      Structure 2318: PDF SVG PS JPEG PNG CT
      Structure 2319: PDF SVG PS JPEG PNG CT
      Structure 2320: PDF SVG PS JPEG PNG CT
      Structure 2321: PDF SVG PS JPEG PNG CT
      Structure 2322: PDF SVG PS JPEG PNG CT
      Structure 2323: PDF SVG PS JPEG PNG CT
      Structure 2324: PDF SVG PS JPEG PNG CT
      Structure 2325: PDF SVG PS JPEG PNG CT
      Structure 2326: PDF SVG PS JPEG PNG CT
      Structure 2327: PDF SVG PS JPEG PNG CT
      Structure 2328: PDF SVG PS JPEG PNG CT
      Structure 2329: PDF SVG PS JPEG PNG CT
      Structure 2330: PDF SVG PS JPEG PNG CT
      Structure 2331: PDF SVG PS JPEG PNG CT
      Structure 2332: PDF SVG PS JPEG PNG CT
      Structure 2333: PDF SVG PS JPEG PNG CT
      Structure 2334: PDF SVG PS JPEG PNG CT
      Structure 2335: PDF SVG PS JPEG PNG CT
      Structure 2336: PDF SVG PS JPEG PNG CT
      Structure 2337: PDF SVG PS JPEG PNG CT
      Structure 2338: PDF SVG PS JPEG PNG CT
      Structure 2339: PDF SVG PS JPEG PNG CT
      Structure 2340: PDF SVG PS JPEG PNG CT
      Structure 2341: PDF SVG PS JPEG PNG CT
      Structure 2342: PDF SVG PS JPEG PNG CT
      Structure 2343: PDF SVG PS JPEG PNG CT
      Structure 2344: PDF SVG PS JPEG PNG CT
      Structure 2345: PDF SVG PS JPEG PNG CT
      Structure 2346: PDF SVG PS JPEG PNG CT
      Structure 2347: PDF SVG PS JPEG PNG CT
      Structure 2348: PDF SVG PS JPEG PNG CT
      Structure 2349: PDF SVG PS JPEG PNG CT
      Structure 2350: PDF SVG PS JPEG PNG CT
      Structure 2351: PDF SVG PS JPEG PNG CT
      Structure 2352: PDF SVG PS JPEG PNG CT
      Structure 2353: PDF SVG PS JPEG PNG CT
      Structure 2354: PDF SVG PS JPEG PNG CT
      Structure 2355: PDF SVG PS JPEG PNG CT
      Structure 2356: PDF SVG PS JPEG PNG CT
      Structure 2357: PDF SVG PS JPEG PNG CT
      Structure 2358: PDF SVG PS JPEG PNG CT
      Structure 2359: PDF SVG PS JPEG PNG CT
      Structure 2360: PDF SVG PS JPEG PNG CT
      Structure 2361: PDF SVG PS JPEG PNG CT
      Structure 2362: PDF SVG PS JPEG PNG CT
      Structure 2363: PDF SVG PS JPEG PNG CT
      Structure 2364: PDF SVG PS JPEG PNG CT
      Structure 2365: PDF SVG PS JPEG PNG CT
      Structure 2366: PDF SVG PS JPEG PNG CT
      Structure 2367: PDF SVG PS JPEG PNG CT
      Structure 2368: PDF SVG PS JPEG PNG CT
      Structure 2369: PDF SVG PS JPEG PNG CT
      Structure 2370: PDF SVG PS JPEG PNG CT
      Structure 2371: PDF SVG PS JPEG PNG CT
      Structure 2372: PDF SVG PS JPEG PNG CT
      Structure 2373: PDF SVG PS JPEG PNG CT
      Structure 2374: PDF SVG PS JPEG PNG CT
      Structure 2375: PDF SVG PS JPEG PNG CT
      Structure 2376: PDF SVG PS JPEG PNG CT
      Structure 2377: PDF SVG PS JPEG PNG CT
      Structure 2378: PDF SVG PS JPEG PNG CT
      Structure 2379: PDF SVG PS JPEG PNG CT
      Structure 2380: PDF SVG PS JPEG PNG CT
      Structure 2381: PDF SVG PS JPEG PNG CT
      Structure 2382: PDF SVG PS JPEG PNG CT
      Structure 2383: PDF SVG PS JPEG PNG CT
      Structure 2384: PDF SVG PS JPEG PNG CT
      Structure 2385: PDF SVG PS JPEG PNG CT
      Structure 2386: PDF SVG PS JPEG PNG CT
      Structure 2387: PDF SVG PS JPEG PNG CT
      Structure 2388: PDF SVG PS JPEG PNG CT
      Structure 2389: PDF SVG PS JPEG PNG CT
      Structure 2390: PDF SVG PS JPEG PNG CT
      Structure 2391: PDF SVG PS JPEG PNG CT
      Structure 2392: PDF SVG PS JPEG PNG CT
      Structure 2393: PDF SVG PS JPEG PNG CT
      Structure 2394: PDF SVG PS JPEG PNG CT
      Structure 2395: PDF SVG PS JPEG PNG CT
      Structure 2396: PDF SVG PS JPEG PNG CT
      Structure 2397: PDF SVG PS JPEG PNG CT
      Structure 2398: PDF SVG PS JPEG PNG CT
      Structure 2399: PDF SVG PS JPEG PNG CT
      Structure 2400: PDF SVG PS JPEG PNG CT
      Structure 2401: PDF SVG PS JPEG PNG CT
      Structure 2402: PDF SVG PS JPEG PNG CT
      Structure 2403: PDF SVG PS JPEG PNG CT
      Structure 2404: PDF SVG PS JPEG PNG CT
      Structure 2405: PDF SVG PS JPEG PNG CT
      Structure 2406: PDF SVG PS JPEG PNG CT
      Structure 2407: PDF SVG PS JPEG PNG CT
      Structure 2408: PDF SVG PS JPEG PNG CT
      Structure 2409: PDF SVG PS JPEG PNG CT
      Structure 2410: PDF SVG PS JPEG PNG CT
      Structure 2411: PDF SVG PS JPEG PNG CT
      Structure 2412: PDF SVG PS JPEG PNG CT
      Structure 2413: PDF SVG PS JPEG PNG CT
      Structure 2414: PDF SVG PS JPEG PNG CT
      Structure 2415: PDF SVG PS JPEG PNG CT
      Structure 2416: PDF SVG PS JPEG PNG CT
      Structure 2417: PDF SVG PS JPEG PNG CT
      Structure 2418: PDF SVG PS JPEG PNG CT
      Structure 2419: PDF SVG PS JPEG PNG CT
      Structure 2420: PDF SVG PS JPEG PNG CT
      Structure 2421: PDF SVG PS JPEG PNG CT
      Structure 2422: PDF SVG PS JPEG PNG CT
      Structure 2423: PDF SVG PS JPEG PNG CT
      Structure 2424: PDF SVG PS JPEG PNG CT
      Structure 2425: PDF SVG PS JPEG PNG CT
      Structure 2426: PDF SVG PS JPEG PNG CT
      Structure 2427: PDF SVG PS JPEG PNG CT
      Structure 2428: PDF SVG PS JPEG PNG CT
      Structure 2429: PDF SVG PS JPEG PNG CT
      Structure 2430: PDF SVG PS JPEG PNG CT
      Structure 2431: PDF SVG PS JPEG PNG CT
      Structure 2432: PDF SVG PS JPEG PNG CT
      Structure 2433: PDF SVG PS JPEG PNG CT
      Structure 2434: PDF SVG PS JPEG PNG CT
      Structure 2435: PDF SVG PS JPEG PNG CT
      Structure 2436: PDF SVG PS JPEG PNG CT
      Structure 2437: PDF SVG PS JPEG PNG CT
      Structure 2438: PDF SVG PS JPEG PNG CT
      Structure 2439: PDF SVG PS JPEG PNG CT
      Structure 2440: PDF SVG PS JPEG PNG CT
      Structure 2441: PDF SVG PS JPEG PNG CT
      Structure 2442: PDF SVG PS JPEG PNG CT
      Structure 2443: PDF SVG PS JPEG PNG CT
      Structure 2444: PDF SVG PS JPEG PNG CT
      Structure 2445: PDF SVG PS JPEG PNG CT
      Structure 2446: PDF SVG PS JPEG PNG CT
      Structure 2447: PDF SVG PS JPEG PNG CT
      Structure 2448: PDF SVG PS JPEG PNG CT
      Structure 2449: PDF SVG PS JPEG PNG CT
      Structure 2450: PDF SVG PS JPEG PNG CT
      Structure 2451: PDF SVG PS JPEG PNG CT
      Structure 2452: PDF SVG PS JPEG PNG CT
      Structure 2453: PDF SVG PS JPEG PNG CT
      Structure 2454: PDF SVG PS JPEG PNG CT
      Structure 2455: PDF SVG PS JPEG PNG CT
      Structure 2456: PDF SVG PS JPEG PNG CT
      Structure 2457: PDF SVG PS JPEG PNG CT
      Structure 2458: PDF SVG PS JPEG PNG CT
      Structure 2459: PDF SVG PS JPEG PNG CT
      Structure 2460: PDF SVG PS JPEG PNG CT
      Structure 2461: PDF SVG PS JPEG PNG CT
      Structure 2462: PDF SVG PS JPEG PNG CT
      Structure 2463: PDF SVG PS JPEG PNG CT
      Structure 2464: PDF SVG PS JPEG PNG CT
      Structure 2465: PDF SVG PS JPEG PNG CT
      Structure 2466: PDF SVG PS JPEG PNG CT
      Structure 2467: PDF SVG PS JPEG PNG CT
      Structure 2468: PDF SVG PS JPEG PNG CT
      Structure 2469: PDF SVG PS JPEG PNG CT
      Structure 2470: PDF SVG PS JPEG PNG CT
      Structure 2471: PDF SVG PS JPEG PNG CT
      Structure 2472: PDF SVG PS JPEG PNG CT
      Structure 2473: PDF SVG PS JPEG PNG CT
      Structure 2474: PDF SVG PS JPEG PNG CT
      Structure 2475: PDF SVG PS JPEG PNG CT
      Structure 2476: PDF SVG PS JPEG PNG CT
      Structure 2477: PDF SVG PS JPEG PNG CT
      Structure 2478: PDF SVG PS JPEG PNG CT
      Structure 2479: PDF SVG PS JPEG PNG CT
      Structure 2480: PDF SVG PS JPEG PNG CT
      Structure 2481: PDF SVG PS JPEG PNG CT
      Structure 2482: PDF SVG PS JPEG PNG CT
      Structure 2483: PDF SVG PS JPEG PNG CT
      Structure 2484: PDF SVG PS JPEG PNG CT
      Structure 2485: PDF SVG PS JPEG PNG CT
      Structure 2486: PDF SVG PS JPEG PNG CT
      Structure 2487: PDF SVG PS JPEG PNG CT
      Structure 2488: PDF SVG PS JPEG PNG CT
      Structure 2489: PDF SVG PS JPEG PNG CT
      Structure 2490: PDF SVG PS JPEG PNG CT
      Structure 2491: PDF SVG PS JPEG PNG CT
      Structure 2492: PDF SVG PS JPEG PNG CT
      Structure 2493: PDF SVG PS JPEG PNG CT
      Structure 2494: PDF SVG PS JPEG PNG CT
      Structure 2495: PDF SVG PS JPEG PNG CT
      Structure 2496: PDF SVG PS JPEG PNG CT
      Structure 2497: PDF SVG PS JPEG PNG CT
      Structure 2498: PDF SVG PS JPEG PNG CT
      Structure 2499: PDF SVG PS JPEG PNG CT
      Structure 2500: PDF SVG PS JPEG PNG CT
      Structure 2501: PDF SVG PS JPEG PNG CT
      Structure 2502: PDF SVG PS JPEG PNG CT
      Structure 2503: PDF SVG PS JPEG PNG CT
      Structure 2504: PDF SVG PS JPEG PNG CT
      Structure 2505: PDF SVG PS JPEG PNG CT
      Structure 2506: PDF SVG PS JPEG PNG CT
      Structure 2507: PDF SVG PS JPEG PNG CT
      Structure 2508: PDF SVG PS JPEG PNG CT
      Structure 2509: PDF SVG PS JPEG PNG CT
      Structure 2510: PDF SVG PS JPEG PNG CT
      Structure 2511: PDF SVG PS JPEG PNG CT
      Structure 2512: PDF SVG PS JPEG PNG CT
      Structure 2513: PDF SVG PS JPEG PNG CT
      Structure 2514: PDF SVG PS JPEG PNG CT
      Structure 2515: PDF SVG PS JPEG PNG CT
      Structure 2516: PDF SVG PS JPEG PNG CT
      Structure 2517: PDF SVG PS JPEG PNG CT
      Structure 2518: PDF SVG PS JPEG PNG CT
      Structure 2519: PDF SVG PS JPEG PNG CT
      Structure 2520: PDF SVG PS JPEG PNG CT
      Structure 2521: PDF SVG PS JPEG PNG CT
      Structure 2522: PDF SVG PS JPEG PNG CT
      Structure 2523: PDF SVG PS JPEG PNG CT
      Structure 2524: PDF SVG PS JPEG PNG CT
      Structure 2525: PDF SVG PS JPEG PNG CT
      Structure 2526: PDF SVG PS JPEG PNG CT
      Structure 2527: PDF SVG PS JPEG PNG CT
      Structure 2528: PDF SVG PS JPEG PNG CT
      Structure 2529: PDF SVG PS JPEG PNG CT
      Structure 2530: PDF SVG PS JPEG PNG CT
      Structure 2531: PDF SVG PS JPEG PNG CT
      Structure 2532: PDF SVG PS JPEG PNG CT
      Structure 2533: PDF SVG PS JPEG PNG CT
      Structure 2534: PDF SVG PS JPEG PNG CT
      Structure 2535: PDF SVG PS JPEG PNG CT
      Structure 2536: PDF SVG PS JPEG PNG CT
      Structure 2537: PDF SVG PS JPEG PNG CT
      Structure 2538: PDF SVG PS JPEG PNG CT
      Structure 2539: PDF SVG PS JPEG PNG CT
      Structure 2540: PDF SVG PS JPEG PNG CT
      Structure 2541: PDF SVG PS JPEG PNG CT
      Structure 2542: PDF SVG PS JPEG PNG CT
      Structure 2543: PDF SVG PS JPEG PNG CT
      Structure 2544: PDF SVG PS JPEG PNG CT
      Structure 2545: PDF SVG PS JPEG PNG CT
      Structure 2546: PDF SVG PS JPEG PNG CT
      Structure 2547: PDF SVG PS JPEG PNG CT
      Structure 2548: PDF SVG PS JPEG PNG CT
      Structure 2549: PDF SVG PS JPEG PNG CT
      Structure 2550: PDF SVG PS JPEG PNG CT
      Structure 2551: PDF SVG PS JPEG PNG CT
      Structure 2552: PDF SVG PS JPEG PNG CT
      Structure 2553: PDF SVG PS JPEG PNG CT
      Structure 2554: PDF SVG PS JPEG PNG CT
      Structure 2555: PDF SVG PS JPEG PNG CT
      Structure 2556: PDF SVG PS JPEG PNG CT
      Structure 2557: PDF SVG PS JPEG PNG CT
      Structure 2558: PDF SVG PS JPEG PNG CT
      Structure 2559: PDF SVG PS JPEG PNG CT
      Structure 2560: PDF SVG PS JPEG PNG CT
      Structure 2561: PDF SVG PS JPEG PNG CT
      Structure 2562: PDF SVG PS JPEG PNG CT
      Structure 2563: PDF SVG PS JPEG PNG CT
      Structure 2564: PDF SVG PS JPEG PNG CT
      Structure 2565: PDF SVG PS JPEG PNG CT
      Structure 2566: PDF SVG PS JPEG PNG CT
      Structure 2567: PDF SVG PS JPEG PNG CT
      Structure 2568: PDF SVG PS JPEG PNG CT
      Structure 2569: PDF SVG PS JPEG PNG CT
      Structure 2570: PDF SVG PS JPEG PNG CT
      Structure 2571: PDF SVG PS JPEG PNG CT
      Structure 2572: PDF SVG PS JPEG PNG CT
      Structure 2573: PDF SVG PS JPEG PNG CT
      Structure 2574: PDF SVG PS JPEG PNG CT
      Structure 2575: PDF SVG PS JPEG PNG CT
      Structure 2576: PDF SVG PS JPEG PNG CT
      Structure 2577: PDF SVG PS JPEG PNG CT
      Structure 2578: PDF SVG PS JPEG PNG CT
      Structure 2579: PDF SVG PS JPEG PNG CT
      Structure 2580: PDF SVG PS JPEG PNG CT
      Structure 2581: PDF SVG PS JPEG PNG CT
      Structure 2582: PDF SVG PS JPEG PNG CT
      Structure 2583: PDF SVG PS JPEG PNG CT
      Structure 2584: PDF SVG PS JPEG PNG CT
      Structure 2585: PDF SVG PS JPEG PNG CT
      Structure 2586: PDF SVG PS JPEG PNG CT
      Structure 2587: PDF SVG PS JPEG PNG CT
      Structure 2588: PDF SVG PS JPEG PNG CT
      Structure 2589: PDF SVG PS JPEG PNG CT
      Structure 2590: PDF SVG PS JPEG PNG CT
      Structure 2591: PDF SVG PS JPEG PNG CT
      Structure 2592: PDF SVG PS JPEG PNG CT
      Structure 2593: PDF SVG PS JPEG PNG CT
      Structure 2594: PDF SVG PS JPEG PNG CT
      Structure 2595: PDF SVG PS JPEG PNG CT
      Structure 2596: PDF SVG PS JPEG PNG CT
      Structure 2597: PDF SVG PS JPEG PNG CT
      Structure 2598: PDF SVG PS JPEG PNG CT
      Structure 2599: PDF SVG PS JPEG PNG CT
      Structure 2600: PDF SVG PS JPEG PNG CT
      Structure 2601: PDF SVG PS JPEG PNG CT
      Structure 2602: PDF SVG PS JPEG PNG CT
      Structure 2603: PDF SVG PS JPEG PNG CT
      Structure 2604: PDF SVG PS JPEG PNG CT
      Structure 2605: PDF SVG PS JPEG PNG CT
      Structure 2606: PDF SVG PS JPEG PNG CT
      Structure 2607: PDF SVG PS JPEG PNG CT
      Structure 2608: PDF SVG PS JPEG PNG CT
      Structure 2609: PDF SVG PS JPEG PNG CT
      Structure 2610: PDF SVG PS JPEG PNG CT
      Structure 2611: PDF SVG PS JPEG PNG CT
      Structure 2612: PDF SVG PS JPEG PNG CT
      Structure 2613: PDF SVG PS JPEG PNG CT
      Structure 2614: PDF SVG PS JPEG PNG CT
      Structure 2615: PDF SVG PS JPEG PNG CT
      Structure 2616: PDF SVG PS JPEG PNG CT
      Structure 2617: PDF SVG PS JPEG PNG CT
      Structure 2618: PDF SVG PS JPEG PNG CT
      Structure 2619: PDF SVG PS JPEG PNG CT
      Structure 2620: PDF SVG PS JPEG PNG CT
      Structure 2621: PDF SVG PS JPEG PNG CT
      Structure 2622: PDF SVG PS JPEG PNG CT
      Structure 2623: PDF SVG PS JPEG PNG CT
      Structure 2624: PDF SVG PS JPEG PNG CT
      Structure 2625: PDF SVG PS JPEG PNG CT
      Structure 2626: PDF SVG PS JPEG PNG CT
      Structure 2627: PDF SVG PS JPEG PNG CT
      Structure 2628: PDF SVG PS JPEG PNG CT
      Structure 2629: PDF SVG PS JPEG PNG CT
      Structure 2630: PDF SVG PS JPEG PNG CT
      Structure 2631: PDF SVG PS JPEG PNG CT
      Structure 2632: PDF SVG PS JPEG PNG CT
      Structure 2633: PDF SVG PS JPEG PNG CT
      Structure 2634: PDF SVG PS JPEG PNG CT
      Structure 2635: PDF SVG PS JPEG PNG CT
      Structure 2636: PDF SVG PS JPEG PNG CT
      Structure 2637: PDF SVG PS JPEG PNG CT
      Structure 2638: PDF SVG PS JPEG PNG CT
      Structure 2639: PDF SVG PS JPEG PNG CT
      Structure 2640: PDF SVG PS JPEG PNG CT
      Structure 2641: PDF SVG PS JPEG PNG CT
      Structure 2642: PDF SVG PS JPEG PNG CT
      Structure 2643: PDF SVG PS JPEG PNG CT
      Structure 2644: PDF SVG PS JPEG PNG CT
      Structure 2645: PDF SVG PS JPEG PNG CT
      Structure 2646: PDF SVG PS JPEG PNG CT
      Structure 2647: PDF SVG PS JPEG PNG CT
      Structure 2648: PDF SVG PS JPEG PNG CT
      Structure 2649: PDF SVG PS JPEG PNG CT
      Structure 2650: PDF SVG PS JPEG PNG CT
      Structure 2651: PDF SVG PS JPEG PNG CT
      Structure 2652: PDF SVG PS JPEG PNG CT
      Structure 2653: PDF SVG PS JPEG PNG CT
      Structure 2654: PDF SVG PS JPEG PNG CT
      Structure 2655: PDF SVG PS JPEG PNG CT
      Structure 2656: PDF SVG PS JPEG PNG CT
      Structure 2657: PDF SVG PS JPEG PNG CT
      Structure 2658: PDF SVG PS JPEG PNG CT
      Structure 2659: PDF SVG PS JPEG PNG CT
      Structure 2660: PDF SVG PS JPEG PNG CT
      Structure 2661: PDF SVG PS JPEG PNG CT
      Structure 2662: PDF SVG PS JPEG PNG CT
      Structure 2663: PDF SVG PS JPEG PNG CT
      Structure 2664: PDF SVG PS JPEG PNG CT
      Structure 2665: PDF SVG PS JPEG PNG CT
      Structure 2666: PDF SVG PS JPEG PNG CT
      Structure 2667: PDF SVG PS JPEG PNG CT
      Structure 2668: PDF SVG PS JPEG PNG CT
      Structure 2669: PDF SVG PS JPEG PNG CT
      Structure 2670: PDF SVG PS JPEG PNG CT
      Structure 2671: PDF SVG PS JPEG PNG CT
      Structure 2672: PDF SVG PS JPEG PNG CT
      Structure 2673: PDF SVG PS JPEG PNG CT
      Structure 2674: PDF SVG PS JPEG PNG CT
      Structure 2675: PDF SVG PS JPEG PNG CT
      Structure 2676: PDF SVG PS JPEG PNG CT
      Structure 2677: PDF SVG PS JPEG PNG CT
      Structure 2678: PDF SVG PS JPEG PNG CT
      Structure 2679: PDF SVG PS JPEG PNG CT
      Structure 2680: PDF SVG PS JPEG PNG CT
      Structure 2681: PDF SVG PS JPEG PNG CT
      Structure 2682: PDF SVG PS JPEG PNG CT
      Structure 2683: PDF SVG PS JPEG PNG CT
      Structure 2684: PDF SVG PS JPEG PNG CT
      Structure 2685: PDF SVG PS JPEG PNG CT
      Structure 2686: PDF SVG PS JPEG PNG CT
      Structure 2687: PDF SVG PS JPEG PNG CT
      Structure 2688: PDF SVG PS JPEG PNG CT
      Structure 2689: PDF SVG PS JPEG PNG CT
      Structure 2690: PDF SVG PS JPEG PNG CT
      Structure 2691: PDF SVG PS JPEG PNG CT
      Structure 2692: PDF SVG PS JPEG PNG CT
      Structure 2693: PDF SVG PS JPEG PNG CT
      Structure 2694: PDF SVG PS JPEG PNG CT
      Structure 2695: PDF SVG PS JPEG PNG CT
      Structure 2696: PDF SVG PS JPEG PNG CT
      Structure 2697: PDF SVG PS JPEG PNG CT
      Structure 2698: PDF SVG PS JPEG PNG CT
      Structure 2699: PDF SVG PS JPEG PNG CT
      Structure 2700: PDF SVG PS JPEG PNG CT
      Structure 2701: PDF SVG PS JPEG PNG CT
      Structure 2702: PDF SVG PS JPEG PNG CT
      Structure 2703: PDF SVG PS JPEG PNG CT
      Structure 2704: PDF SVG PS JPEG PNG CT
      Structure 2705: PDF SVG PS JPEG PNG CT
      Structure 2706: PDF SVG PS JPEG PNG CT
      Structure 2707: PDF SVG PS JPEG PNG CT
      Structure 2708: PDF SVG PS JPEG PNG CT
      Structure 2709: PDF SVG PS JPEG PNG CT
      Structure 2710: PDF SVG PS JPEG PNG CT
      Structure 2711: PDF SVG PS JPEG PNG CT
      Structure 2712: PDF SVG PS JPEG PNG CT
      Structure 2713: PDF SVG PS JPEG PNG CT
      Structure 2714: PDF SVG PS JPEG PNG CT
      Structure 2715: PDF SVG PS JPEG PNG CT
      Structure 2716: PDF SVG PS JPEG PNG CT
      Structure 2717: PDF SVG PS JPEG PNG CT
      Structure 2718: PDF SVG PS JPEG PNG CT
      Structure 2719: PDF SVG PS JPEG PNG CT
      Structure 2720: PDF SVG PS JPEG PNG CT
      Structure 2721: PDF SVG PS JPEG PNG CT
      Structure 2722: PDF SVG PS JPEG PNG CT
      Structure 2723: PDF SVG PS JPEG PNG CT
      Structure 2724: PDF SVG PS JPEG PNG CT
      Structure 2725: PDF SVG PS JPEG PNG CT
      Structure 2726: PDF SVG PS JPEG PNG CT
      Structure 2727: PDF SVG PS JPEG PNG CT
      Structure 2728: PDF SVG PS JPEG PNG CT
      Structure 2729: PDF SVG PS JPEG PNG CT
      Structure 2730: PDF SVG PS JPEG PNG CT
      Structure 2731: PDF SVG PS JPEG PNG CT
      Structure 2732: PDF SVG PS JPEG PNG CT
      Structure 2733: PDF SVG PS JPEG PNG CT
      Structure 2734: PDF SVG PS JPEG PNG CT
      Structure 2735: PDF SVG PS JPEG PNG CT
      Structure 2736: PDF SVG PS JPEG PNG CT
      Structure 2737: PDF SVG PS JPEG PNG CT
      Structure 2738: PDF SVG PS JPEG PNG CT
      Structure 2739: PDF SVG PS JPEG PNG CT
      Structure 2740: PDF SVG PS JPEG PNG CT
      Structure 2741: PDF SVG PS JPEG PNG CT
      Structure 2742: PDF SVG PS JPEG PNG CT
      Structure 2743: PDF SVG PS JPEG PNG CT
      Structure 2744: PDF SVG PS JPEG PNG CT
      Structure 2745: PDF SVG PS JPEG PNG CT
      Structure 2746: PDF SVG PS JPEG PNG CT
      Structure 2747: PDF SVG PS JPEG PNG CT
      Structure 2748: PDF SVG PS JPEG PNG CT
      Structure 2749: PDF SVG PS JPEG PNG CT
      Structure 2750: PDF SVG PS JPEG PNG CT
      Structure 2751: PDF SVG PS JPEG PNG CT
      Structure 2752: PDF SVG PS JPEG PNG CT
      Structure 2753: PDF SVG PS JPEG PNG CT
      Structure 2754: PDF SVG PS JPEG PNG CT
      Structure 2755: PDF SVG PS JPEG PNG CT
      Structure 2756: PDF SVG PS JPEG PNG CT
      Structure 2757: PDF SVG PS JPEG PNG CT
      Structure 2758: PDF SVG PS JPEG PNG CT
      Structure 2759: PDF SVG PS JPEG PNG CT
      Structure 2760: PDF SVG PS JPEG PNG CT
      Structure 2761: PDF SVG PS JPEG PNG CT
      Structure 2762: PDF SVG PS JPEG PNG CT
      Structure 2763: PDF SVG PS JPEG PNG CT
      Structure 2764: PDF SVG PS JPEG PNG CT
      Structure 2765: PDF SVG PS JPEG PNG CT
      Structure 2766: PDF SVG PS JPEG PNG CT
      Structure 2767: PDF SVG PS JPEG PNG CT
      Structure 2768: PDF SVG PS JPEG PNG CT
      Structure 2769: PDF SVG PS JPEG PNG CT
      Structure 2770: PDF SVG PS JPEG PNG CT
      Structure 2771: PDF SVG PS JPEG PNG CT
      Structure 2772: PDF SVG PS JPEG PNG CT
      Structure 2773: PDF SVG PS JPEG PNG CT
      Structure 2774: PDF SVG PS JPEG PNG CT
      Structure 2775: PDF SVG PS JPEG PNG CT
      Structure 2776: PDF SVG PS JPEG PNG CT
      Structure 2777: PDF SVG PS JPEG PNG CT
      Structure 2778: PDF SVG PS JPEG PNG CT
      Structure 2779: PDF SVG PS JPEG PNG CT
      Structure 2780: PDF SVG PS JPEG PNG CT
      Structure 2781: PDF SVG PS JPEG PNG CT
      Structure 2782: PDF SVG PS JPEG PNG CT
      Structure 2783: PDF SVG PS JPEG PNG CT
      Structure 2784: PDF SVG PS JPEG PNG CT
      Structure 2785: PDF SVG PS JPEG PNG CT
      Structure 2786: PDF SVG PS JPEG PNG CT
      Structure 2787: PDF SVG PS JPEG PNG CT
      Structure 2788: PDF SVG PS JPEG PNG CT
      Structure 2789: PDF SVG PS JPEG PNG CT
      Structure 2790: PDF SVG PS JPEG PNG CT
      Structure 2791: PDF SVG PS JPEG PNG CT
      Structure 2792: PDF SVG PS JPEG PNG CT
      Structure 2793: PDF SVG PS JPEG PNG CT
      Structure 2794: PDF SVG PS JPEG PNG CT
      Structure 2795: PDF SVG PS JPEG PNG CT
      Structure 2796: PDF SVG PS JPEG PNG CT
      Structure 2797: PDF SVG PS JPEG PNG CT
      Structure 2798: PDF SVG PS JPEG PNG CT
      Structure 2799: PDF SVG PS JPEG PNG CT
      Structure 2800: PDF SVG PS JPEG PNG CT
      Structure 2801: PDF SVG PS JPEG PNG CT
      Structure 2802: PDF SVG PS JPEG PNG CT
      Structure 2803: PDF SVG PS JPEG PNG CT
      Structure 2804: PDF SVG PS JPEG PNG CT
      Structure 2805: PDF SVG PS JPEG PNG CT
      Structure 2806: PDF SVG PS JPEG PNG CT
      Structure 2807: PDF SVG PS JPEG PNG CT
      Structure 2808: PDF SVG PS JPEG PNG CT
      Structure 2809: PDF SVG PS JPEG PNG CT
      Structure 2810: PDF SVG PS JPEG PNG CT
      Structure 2811: PDF SVG PS JPEG PNG CT
      Structure 2812: PDF SVG PS JPEG PNG CT
      Structure 2813: PDF SVG PS JPEG PNG CT
      Structure 2814: PDF SVG PS JPEG PNG CT
      Structure 2815: PDF SVG PS JPEG PNG CT
      Structure 2816: PDF SVG PS JPEG PNG CT
      Structure 2817: PDF SVG PS JPEG PNG CT
      Structure 2818: PDF SVG PS JPEG PNG CT
      Structure 2819: PDF SVG PS JPEG PNG CT
      Structure 2820: PDF SVG PS JPEG PNG CT
      Structure 2821: PDF SVG PS JPEG PNG CT
      Structure 2822: PDF SVG PS JPEG PNG CT
      Structure 2823: PDF SVG PS JPEG PNG CT
      Structure 2824: PDF SVG PS JPEG PNG CT
      Structure 2825: PDF SVG PS JPEG PNG CT
      Structure 2826: PDF SVG PS JPEG PNG CT
      Structure 2827: PDF SVG PS JPEG PNG CT
      Structure 2828: PDF SVG PS JPEG PNG CT
      Structure 2829: PDF SVG PS JPEG PNG CT
      Structure 2830: PDF SVG PS JPEG PNG CT
      Structure 2831: PDF SVG PS JPEG PNG CT
      Structure 2832: PDF SVG PS JPEG PNG CT
      Structure 2833: PDF SVG PS JPEG PNG CT
      Structure 2834: PDF SVG PS JPEG PNG CT
      Structure 2835: PDF SVG PS JPEG PNG CT
      Structure 2836: PDF SVG PS JPEG PNG CT
      Structure 2837: PDF SVG PS JPEG PNG CT
      Structure 2838: PDF SVG PS JPEG PNG CT
      Structure 2839: PDF SVG PS JPEG PNG CT
      Structure 2840: PDF SVG PS JPEG PNG CT
      Structure 2841: PDF SVG PS JPEG PNG CT
      Structure 2842: PDF SVG PS JPEG PNG CT
      Structure 2843: PDF SVG PS JPEG PNG CT
      Structure 2844: PDF SVG PS JPEG PNG CT
      Structure 2845: PDF SVG PS JPEG PNG CT
      Structure 2846: PDF SVG PS JPEG PNG CT
      Structure 2847: PDF SVG PS JPEG PNG CT
      Structure 2848: PDF SVG PS JPEG PNG CT
      Structure 2849: PDF SVG PS JPEG PNG CT
      Structure 2850: PDF SVG PS JPEG PNG CT
      Structure 2851: PDF SVG PS JPEG PNG CT
      Structure 2852: PDF SVG PS JPEG PNG CT
      Structure 2853: PDF SVG PS JPEG PNG CT
      Structure 2854: PDF SVG PS JPEG PNG CT
      Structure 2855: PDF SVG PS JPEG PNG CT
      Structure 2856: PDF SVG PS JPEG PNG CT
      Structure 2857: PDF SVG PS JPEG PNG CT
      Structure 2858: PDF SVG PS JPEG PNG CT
      Structure 2859: PDF SVG PS JPEG PNG CT
      Structure 2860: PDF SVG PS JPEG PNG CT
      Structure 2861: PDF SVG PS JPEG PNG CT
      Structure 2862: PDF SVG PS JPEG PNG CT
      Structure 2863: PDF SVG PS JPEG PNG CT
      Structure 2864: PDF SVG PS JPEG PNG CT

Command Line:
AllSub AllSub.fasta AllSub.ct --absolute 1.2 --percent 10 --temperature 310.15