RNAstructure AllSub Results
(Generate all possible low free energy structures for a nucleic acid sequence.)


Download All Structures: PDF PS CT
Download Individual Structures:
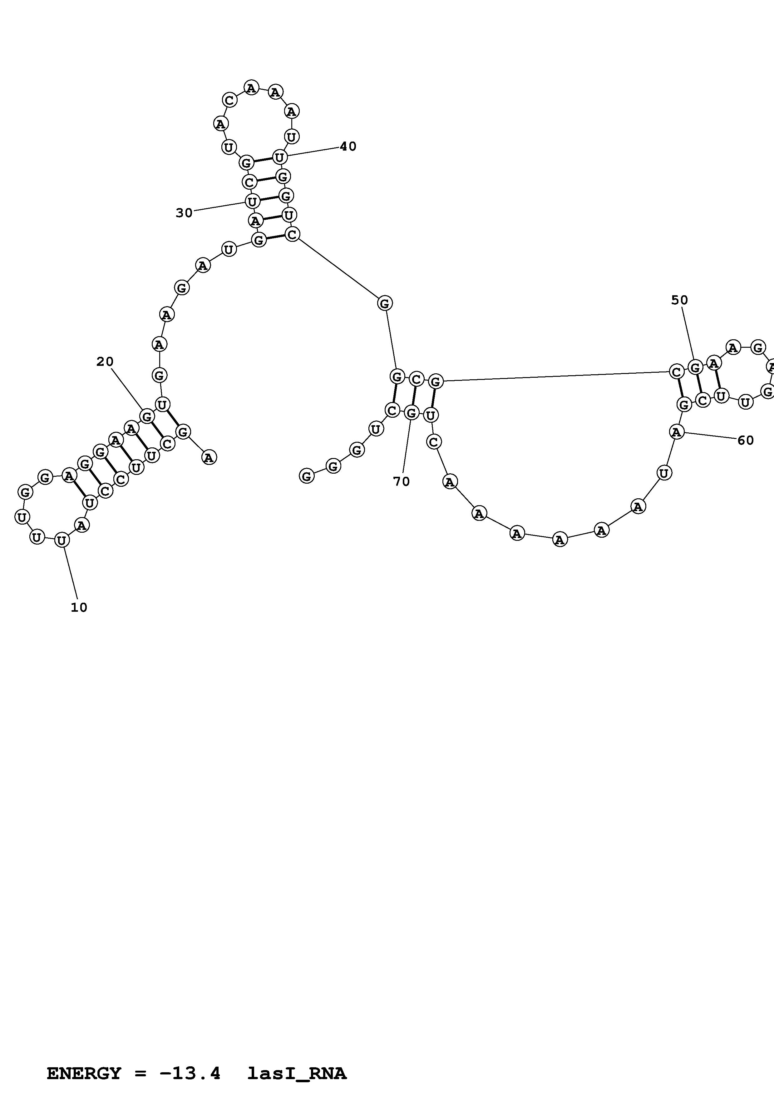
      Structure 1: PDF SVG PS JPEG PNG CT
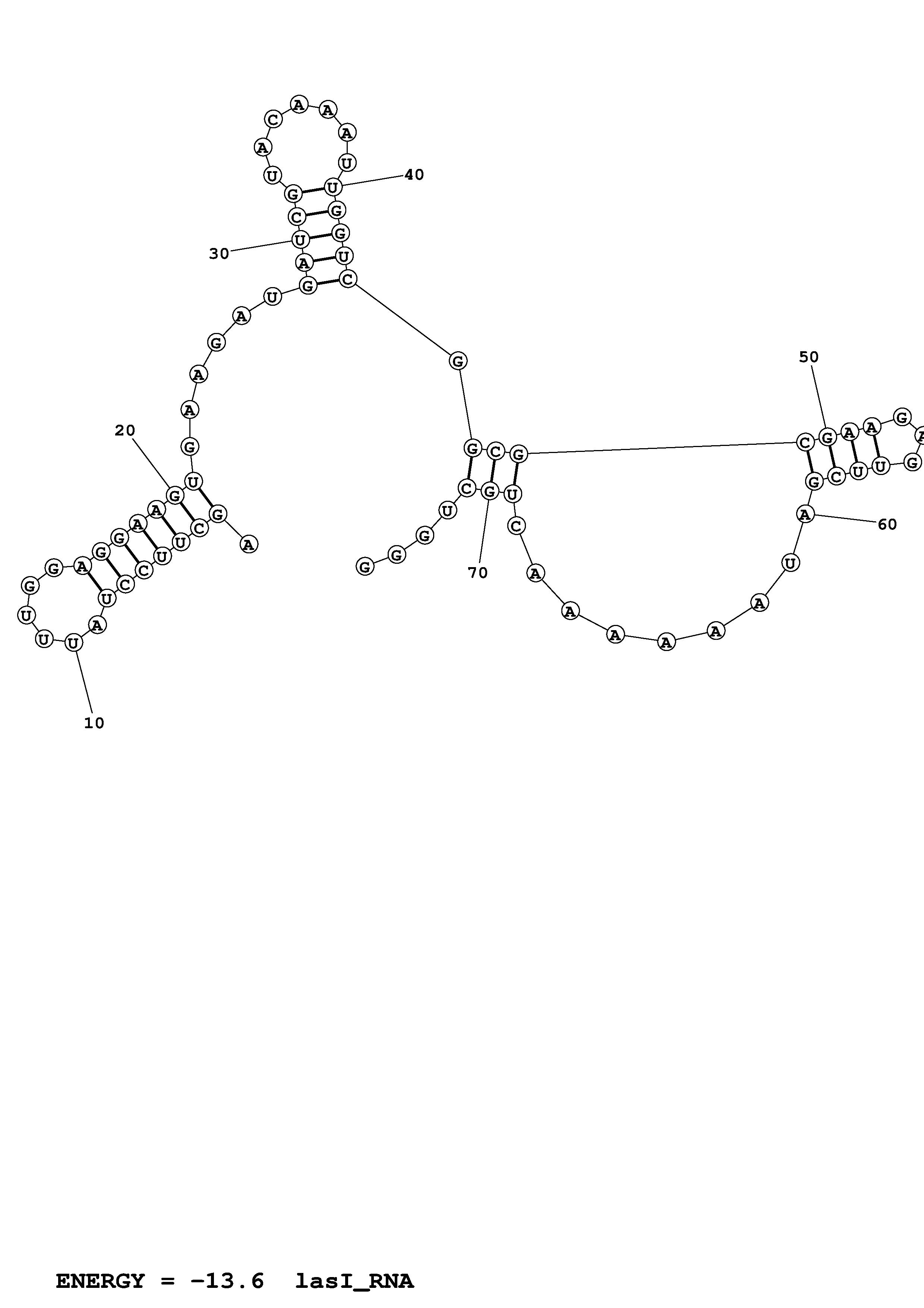
      Structure 2: PDF SVG PS JPEG PNG CT
      Structure 3: PDF SVG PS JPEG PNG CT
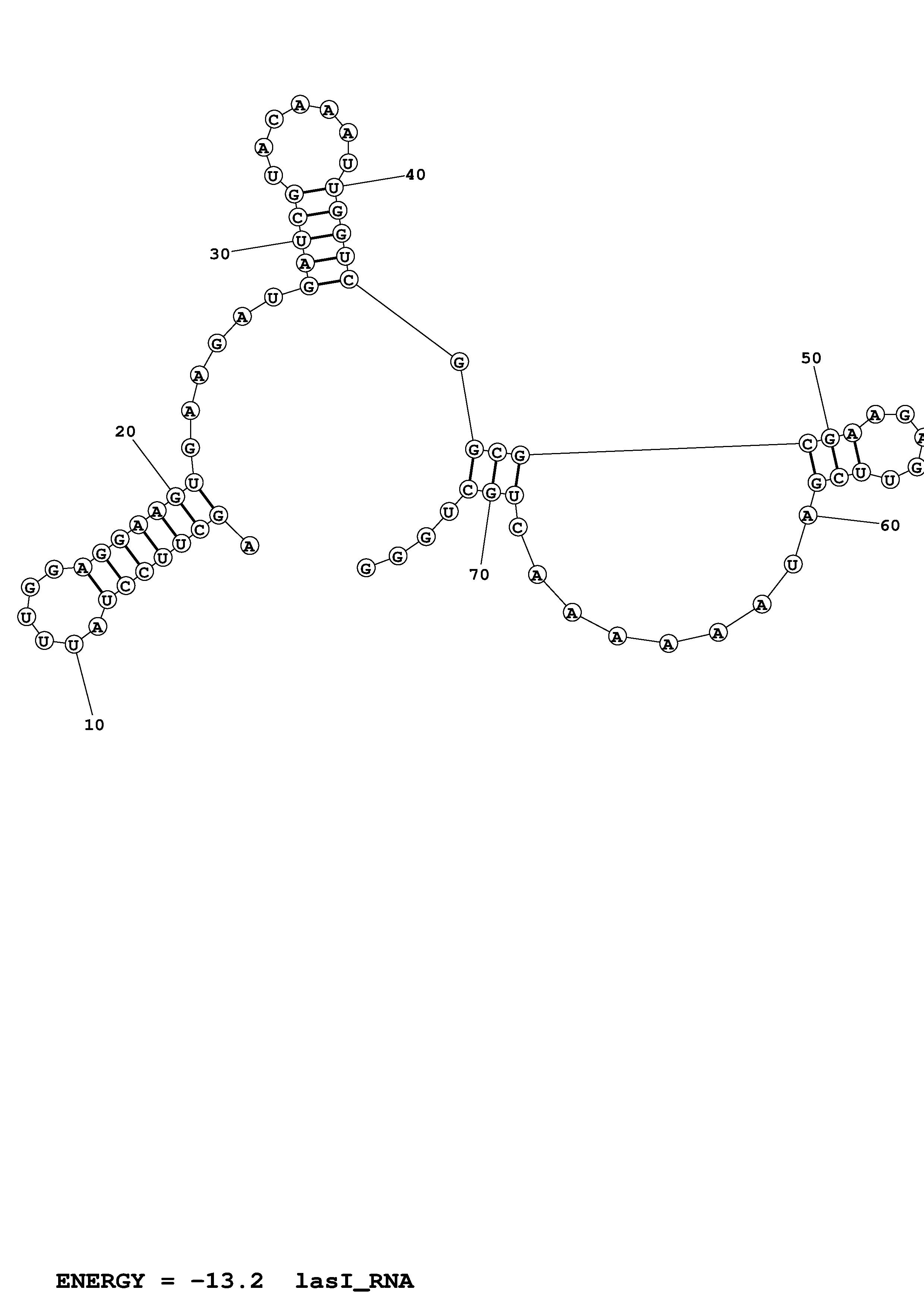
      Structure 4: PDF SVG PS JPEG PNG CT
      Structure 5: PDF SVG PS JPEG PNG CT
      Structure 6: PDF SVG PS JPEG PNG CT
      Structure 7: PDF SVG PS JPEG PNG CT
      Structure 8: PDF SVG PS JPEG PNG CT
      Structure 9: PDF SVG PS JPEG PNG CT
      Structure 10: PDF SVG PS JPEG PNG CT
      Structure 11: PDF SVG PS JPEG PNG CT
      Structure 12: PDF SVG PS JPEG PNG CT
      Structure 13: PDF SVG PS JPEG PNG CT
      Structure 14: PDF SVG PS JPEG PNG CT
      Structure 15: PDF SVG PS JPEG PNG CT
      Structure 16: PDF SVG PS JPEG PNG CT
      Structure 17: PDF SVG PS JPEG PNG CT
      Structure 18: PDF SVG PS JPEG PNG CT
      Structure 19: PDF SVG PS JPEG PNG CT
      Structure 20: PDF SVG PS JPEG PNG CT
      Structure 21: PDF SVG PS JPEG PNG CT
      Structure 22: PDF SVG PS JPEG PNG CT
      Structure 23: PDF SVG PS JPEG PNG CT
      Structure 24: PDF SVG PS JPEG PNG CT
      Structure 25: PDF SVG PS JPEG PNG CT
      Structure 26: PDF SVG PS JPEG PNG CT
      Structure 27: PDF SVG PS JPEG PNG CT
      Structure 28: PDF SVG PS JPEG PNG CT
      Structure 29: PDF SVG PS JPEG PNG CT

Command Line:
AllSub AllSub.fasta AllSub.ct --absolute 0.6 --percent 10 --temperature 310.15