RNAstructure dynalign Results
(Calculate the lowest free energy secondary structures common to two unaligned sequences.)

Alignment:

Download alignment file dynalign.ali

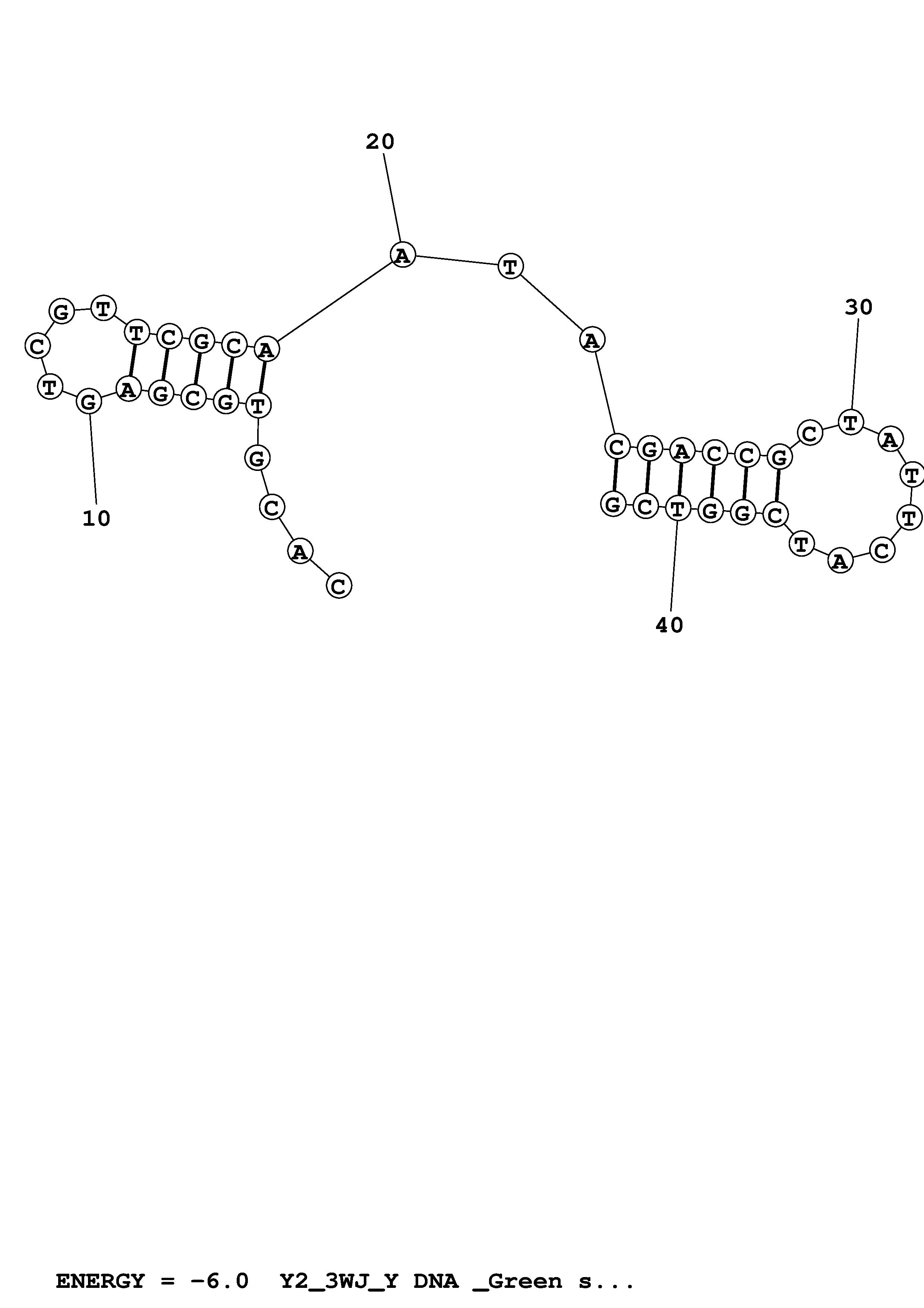
Structures derived from sequence 1:


Download All Structures: PDF PS CT
Download Individual Structures:
      Structure 1: PDF SVG PS JPEG PNG CT
      Structure 2: PDF SVG PS JPEG PNG CT

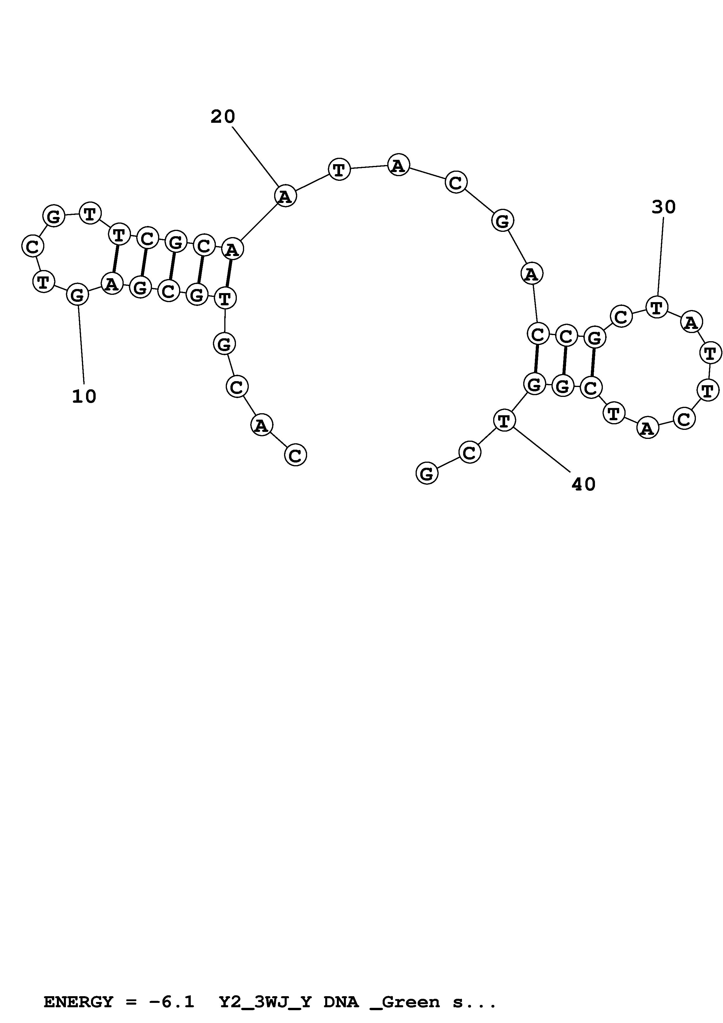
Structures derived from sequence 2:


Download All Structures: PDF PS CT
Download Individual Structures:
      Structure 1: PDF SVG PS JPEG PNG CT
      Structure 2: PDF SVG PS JPEG PNG CT