RNAstructure bifold Results
(Predict the lowest free energy structure for two interacting sequences, allowing intramolecular base pairs.)


Download All Structures: PDF PS CT
Download Individual Structures:
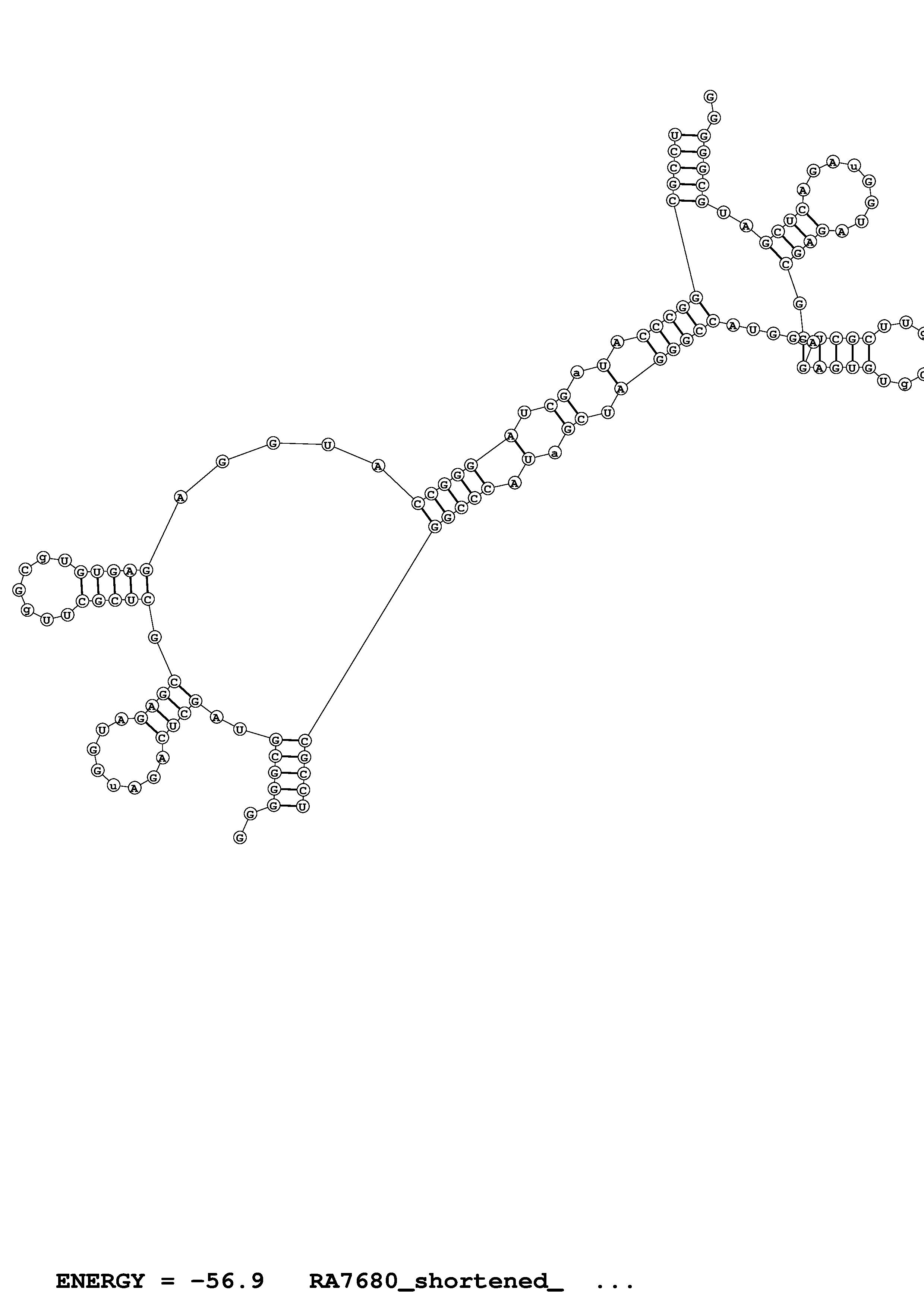
      Structure 1: PDF SVG PS JPEG PNG CT
      Structure 2: PDF SVG PS JPEG PNG CT
      Structure 3: PDF SVG PS JPEG PNG CT
      Structure 4: PDF SVG PS JPEG PNG CT
      Structure 5: PDF SVG PS JPEG PNG CT
      Structure 6: PDF SVG PS JPEG PNG CT
      Structure 7: PDF SVG PS JPEG PNG CT
      Structure 8: PDF SVG PS JPEG PNG CT
      Structure 9: PDF SVG PS JPEG PNG CT
      Structure 10: PDF SVG PS JPEG PNG CT
      Structure 11: PDF SVG PS JPEG PNG CT
      Structure 12: PDF SVG PS JPEG PNG CT
      Structure 13: PDF SVG PS JPEG PNG CT

Command Line:
bifold PredictBi.fasta PredictBi2.fasta bifold.ct --loop 30 --maximum 20 --percent 5 --temperature 310.15 --window 0


RNAstructure DuplexFold Results
(Predict the lowest free energy structure for two interacting sequences, not allowing intramolecular base pairs.)


Download All Structures: PDF PS CT
Download Individual Structures:
      Structure 1: PDF SVG PS JPEG PNG CT
      Structure 2: PDF SVG PS JPEG PNG CT
      Structure 3: PDF SVG PS JPEG PNG CT
      Structure 4: PDF SVG PS JPEG PNG CT
      Structure 5: PDF SVG PS JPEG PNG CT
      Structure 6: PDF SVG PS JPEG PNG CT
      Structure 7: PDF SVG PS JPEG PNG CT
      Structure 8: PDF SVG PS JPEG PNG CT
      Structure 9: PDF SVG PS JPEG PNG CT
      Structure 10: PDF SVG PS JPEG PNG CT
      Structure 11: PDF SVG PS JPEG PNG CT
      Structure 12: PDF SVG PS JPEG PNG CT
      Structure 13: PDF SVG PS JPEG PNG CT
      Structure 14: PDF SVG PS JPEG PNG CT
      Structure 15: PDF SVG PS JPEG PNG CT
      Structure 16: PDF SVG PS JPEG PNG CT
      Structure 17: PDF SVG PS JPEG PNG CT
      Structure 18: PDF SVG PS JPEG PNG CT
      Structure 19: PDF SVG PS JPEG PNG CT
      Structure 20: PDF SVG PS JPEG PNG CT

Command Line:
DuplexFold PredictBi.fasta PredictBi2.fasta DuplexFold.ct --loop 30 --maximum 20 --percent 5 --temperature 310.15 --window 0