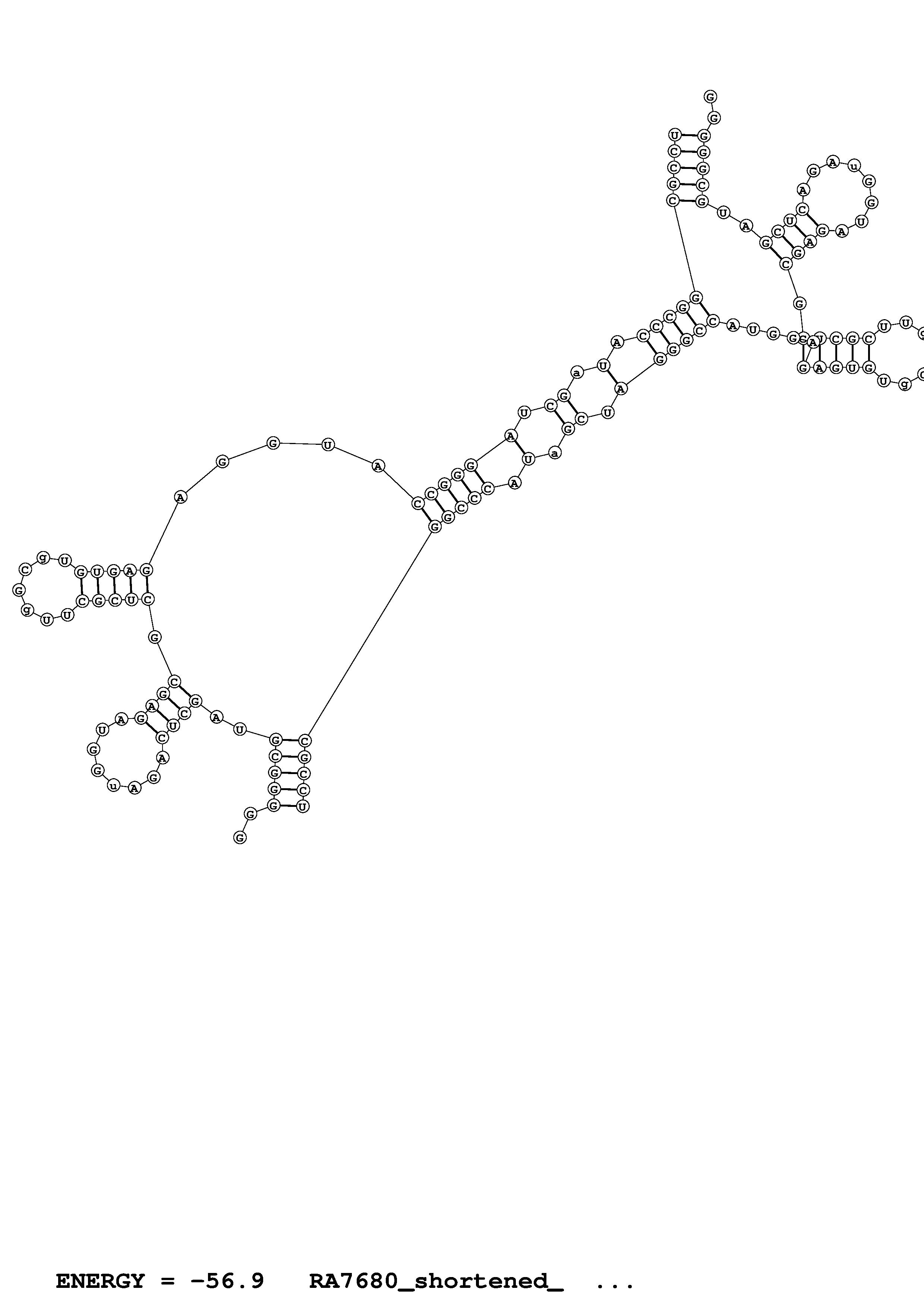
RNAstructure Predict a Bimolecular Secondary Structure Results
RNAstructure bifold Results
(Predict the lowest free energy structure for two interacting sequences, allowing intramolecular base pairs.)
Download Individual Structures:
Command Line:
bifold PredictBi.fasta PredictBi2.fasta bifold.ct --loop 30....................WindowsSystem32driversetcservices --maximum 20 --percent 5 --temperature 310.15 --window 0
RNAstructure DuplexFold Results
(Predict the lowest free energy structure for two interacting sequences, not allowing intramolecular base pairs.)
Download Individual Structures:
Command Line:
DuplexFold PredictBi.fasta PredictBi2.fasta DuplexFold.ct --loop 30....................WindowsSystem32driversetcservices --maximum 20 --percent 5 --temperature 310.15 --window 0