RNAstructure Predict a Secondary Structure Common to Three or More Sequences Results
RNAstructure multilign Results
(Predict low free energy secondary structures common to three or more sequences using progressive iterations of Dynalign.)
Alignment:
Download alignment file multilign/multilign.ali
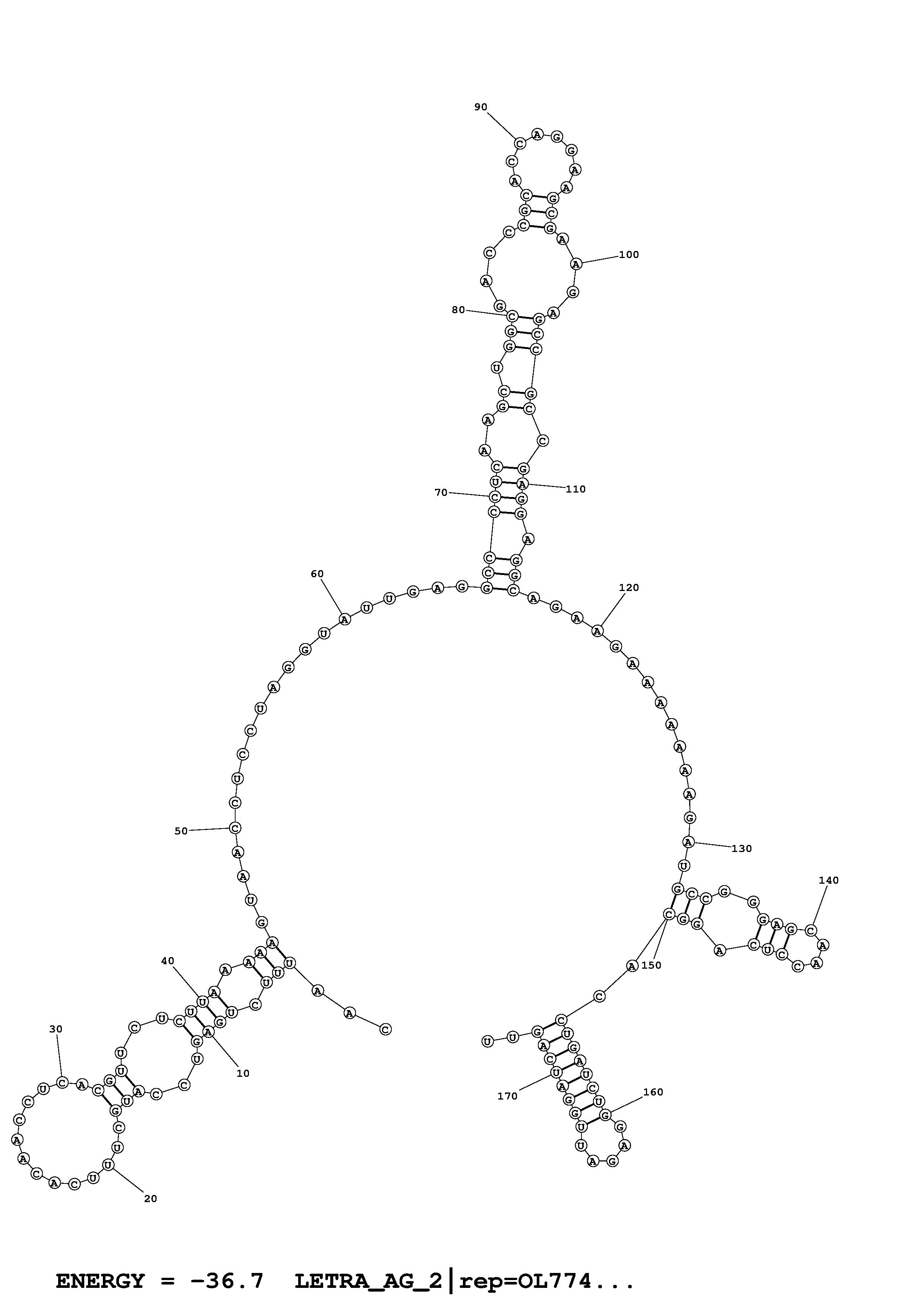
Structures derived from sequence 1:
Download Individual Structures:
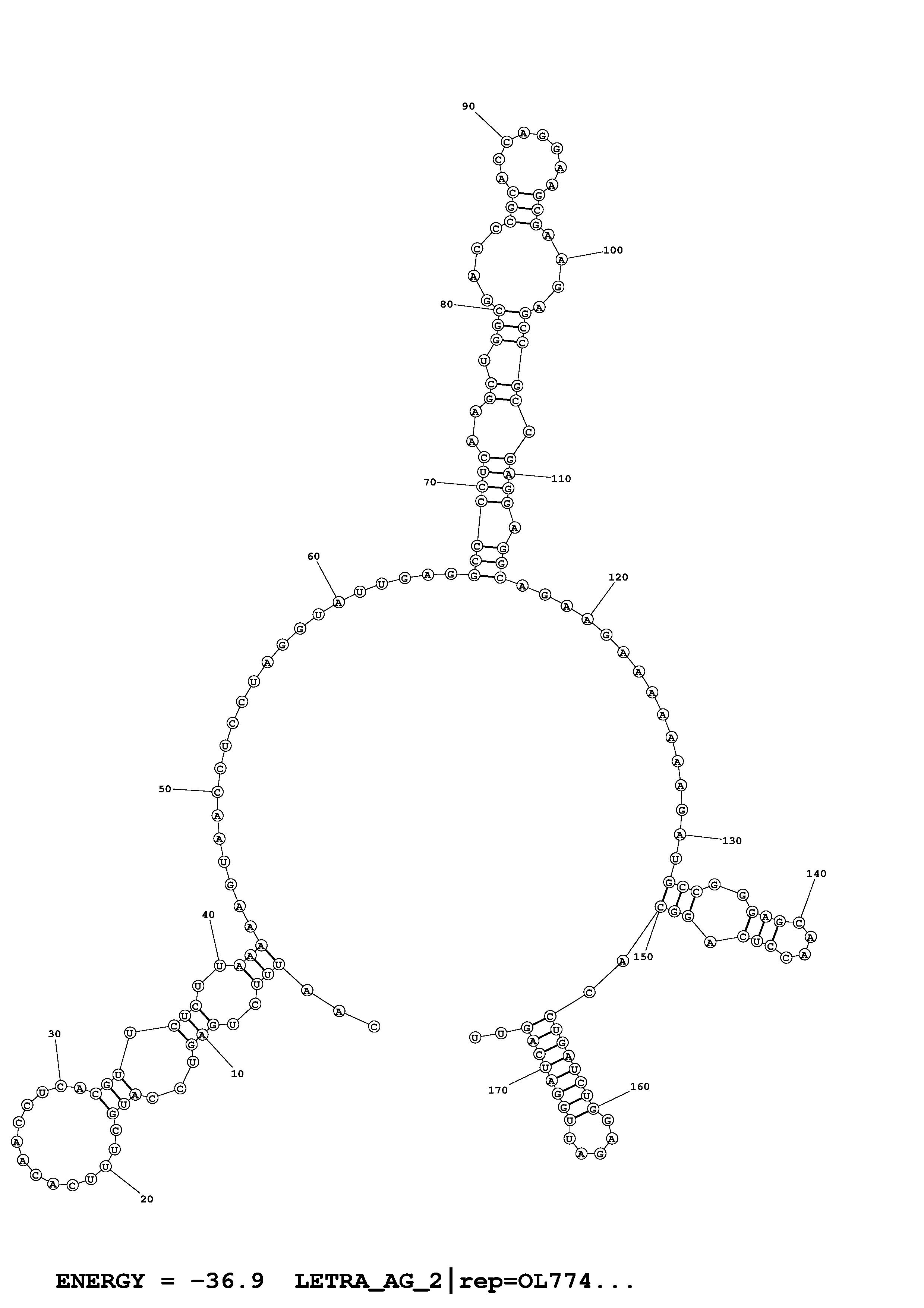
Structures derived from sequence 2:
Download Individual Structures:
Structures derived from sequence 3:
Download Individual Structures:
Command Line:
multilign-smp multilign.config
RNAstructure TurboFold Results
(Calculate the conserved structures of three or more unaligned sequences using iteratively refined partition functions.)
Alignment:
Download alignment file TurboFold/TurboFold.aln
Structures derived from sequence 1:
Structures derived from sequence 2:
Structures derived from sequence 3:
Command Line:
TurboFold-smp TurboFold.config