RNAstructure multilign Results
(Predict low free energy secondary structures common to three or more sequences using progressive iterations of Dynalign.)

Alignment:

Download alignment file multilign/multilign.ali

Structures derived from sequence 1:


Download All Structures: PDF PS CT
Download Individual Structures:
      Structure 1: PDF SVG PS JPEG PNG CT
      Structure 2: PDF SVG PS JPEG PNG CT
      Structure 3: PDF SVG PS JPEG PNG CT
      Structure 4: PDF SVG PS JPEG PNG CT
      Structure 5: PDF SVG PS JPEG PNG CT

Structures derived from sequence 2:


Download All Structures: PDF PS CT
Download Individual Structures:
      Structure 1: PDF SVG PS JPEG PNG CT
      Structure 2: PDF SVG PS JPEG PNG CT
      Structure 3: PDF SVG PS JPEG PNG CT
      Structure 4: PDF SVG PS JPEG PNG CT

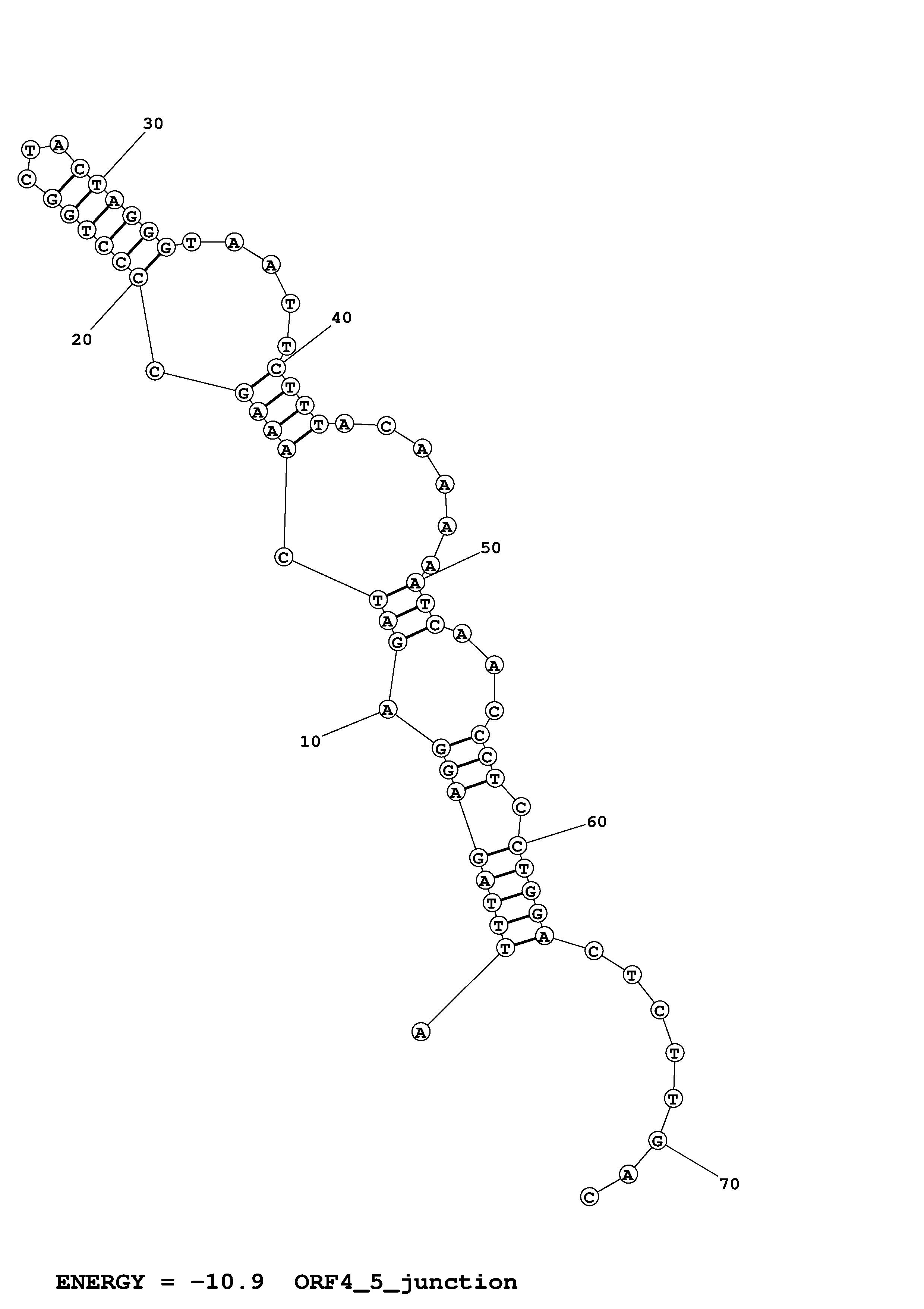
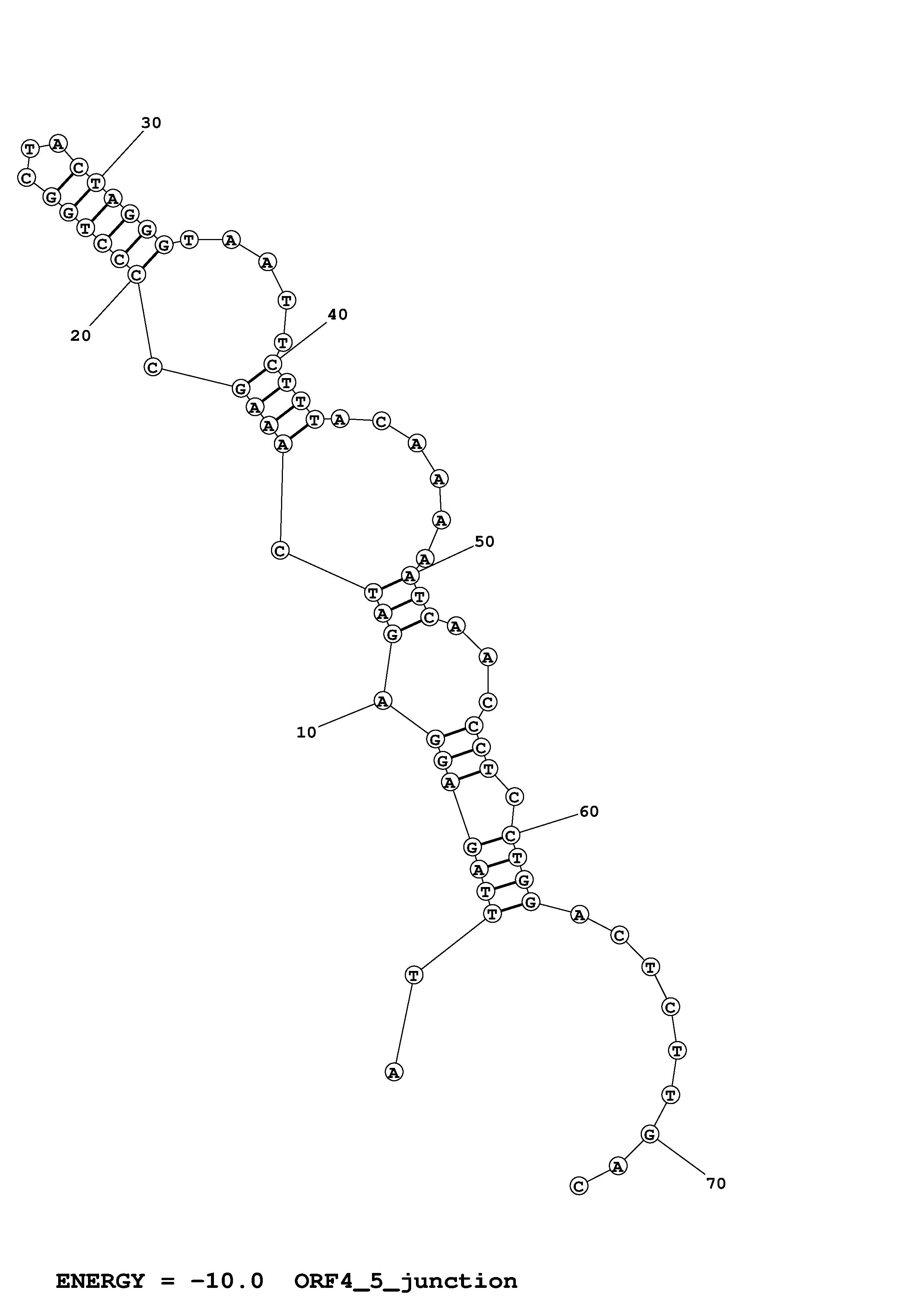
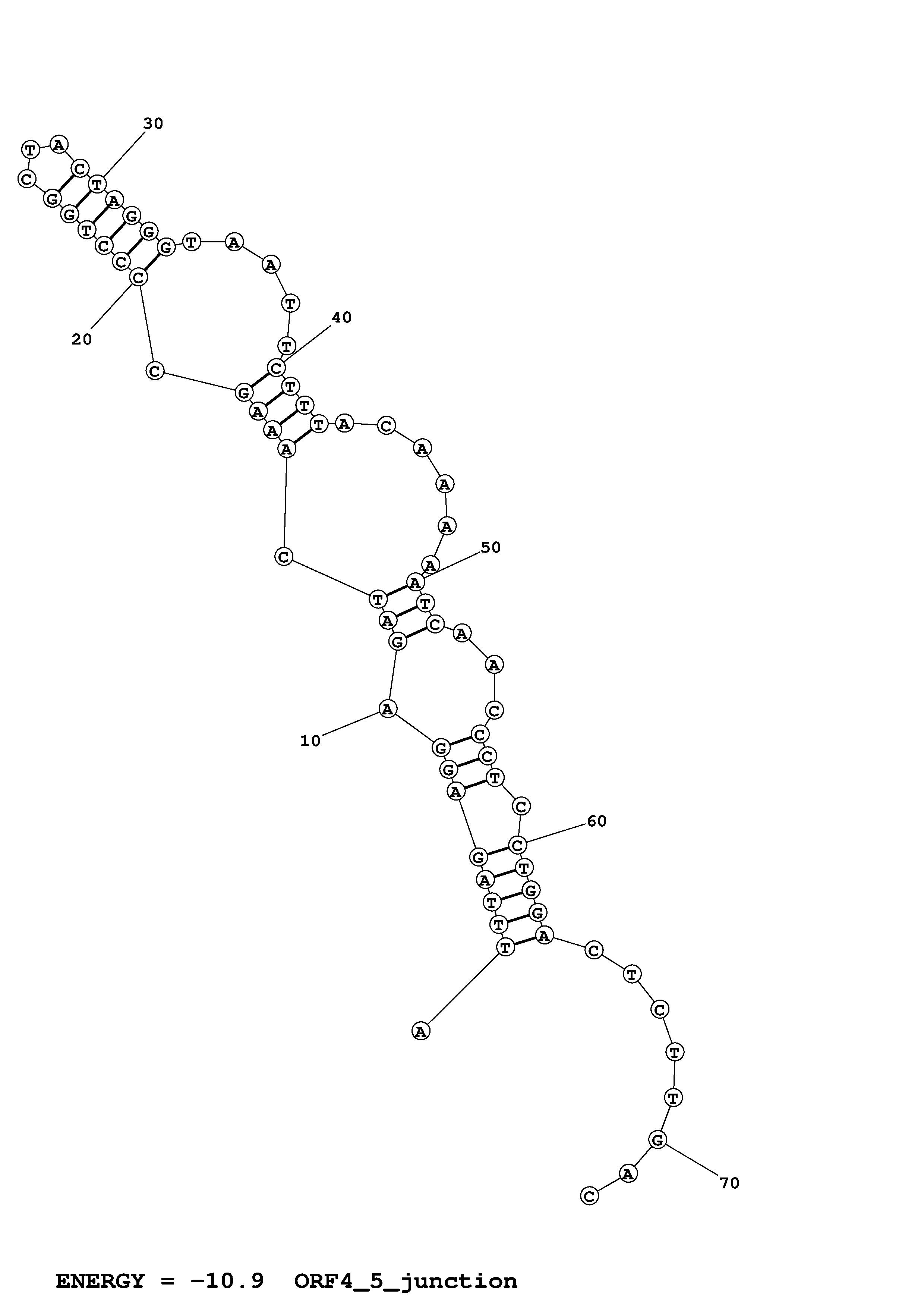
Structures derived from sequence 3:


Download Structure: SVG JPEG PNG PDF PS CT

Structures derived from sequence 4:


Download All Structures: PDF PS CT
Download Individual Structures:
      Structure 1: PDF SVG PS JPEG PNG CT
      Structure 2: PDF SVG PS JPEG PNG CT
      Structure 3: PDF SVG PS JPEG PNG CT
      Structure 4: PDF SVG PS JPEG PNG CT
      Structure 5: PDF SVG PS JPEG PNG CT
      Structure 6: PDF SVG PS JPEG PNG CT
      Structure 7: PDF SVG PS JPEG PNG CT
      Structure 8: PDF SVG PS JPEG PNG CT
      Structure 9: PDF SVG PS JPEG PNG CT
      Structure 10: PDF SVG PS JPEG PNG CT
      Structure 11: PDF SVG PS JPEG PNG CT
      Structure 12: PDF SVG PS JPEG PNG CT
      Structure 13: PDF SVG PS JPEG PNG CT
      Structure 14: PDF SVG PS JPEG PNG CT
      Structure 15: PDF SVG PS JPEG PNG CT
      Structure 16: PDF SVG PS JPEG PNG CT
      Structure 17: PDF SVG PS JPEG PNG CT
      Structure 18: PDF SVG PS JPEG PNG CT
      Structure 19: PDF SVG PS JPEG PNG CT
      Structure 20: PDF SVG PS JPEG PNG CT

Structures derived from sequence 5:


Download All Structures: PDF PS CT
Download Individual Structures:
      Structure 1: PDF SVG PS JPEG PNG CT
      Structure 2: PDF SVG PS JPEG PNG CT
      Structure 3: PDF SVG PS JPEG PNG CT
      Structure 4: PDF SVG PS JPEG PNG CT
      Structure 5: PDF SVG PS JPEG PNG CT
      Structure 6: PDF SVG PS JPEG PNG CT
      Structure 7: PDF SVG PS JPEG PNG CT
      Structure 8: PDF SVG PS JPEG PNG CT
      Structure 9: PDF SVG PS JPEG PNG CT
      Structure 10: PDF SVG PS JPEG PNG CT
      Structure 11: PDF SVG PS JPEG PNG CT
      Structure 12: PDF SVG PS JPEG PNG CT
      Structure 13: PDF SVG PS JPEG PNG CT
      Structure 14: PDF SVG PS JPEG PNG CT
      Structure 15: PDF SVG PS JPEG PNG CT
      Structure 16: PDF SVG PS JPEG PNG CT
      Structure 17: PDF SVG PS JPEG PNG CT
      Structure 18: PDF SVG PS JPEG PNG CT

Structures derived from sequence 6:


Download All Structures: PDF PS CT
Download Individual Structures:
      Structure 1: PDF SVG PS JPEG PNG CT
      Structure 2: PDF SVG PS JPEG PNG CT
      Structure 3: PDF SVG PS JPEG PNG CT
      Structure 4: PDF SVG PS JPEG PNG CT
      Structure 5: PDF SVG PS JPEG PNG CT


RNAstructure TurboFold Results
(Calculate the conserved structures of three or more unaligned sequences using iteratively refined partition functions.)

Alignment:

Download alignment file TurboFold/TurboFold.aln

Structures derived from sequence 1:


Download Structure: SVG JPEG PNG PDF PS CT

Structures derived from sequence 2:


Download Structure: SVG JPEG PNG PDF PS CT

Structures derived from sequence 3:


Download Structure: SVG JPEG PNG PDF PS CT

Structures derived from sequence 4:


Download Structure: SVG JPEG PNG PDF PS CT

Structures derived from sequence 5:


Download Structure: SVG JPEG PNG PDF PS CT

Structures derived from sequence 6:


Download Structure: SVG JPEG PNG PDF PS CT