RNAstructure Predict a Secondary Structure Results

RNAstructure Fold Results
(Predict the lowest free energy structure and a set of low free energy structures for a sequence.)


Download All Structures: PDF PS CT
Download Individual Structures:
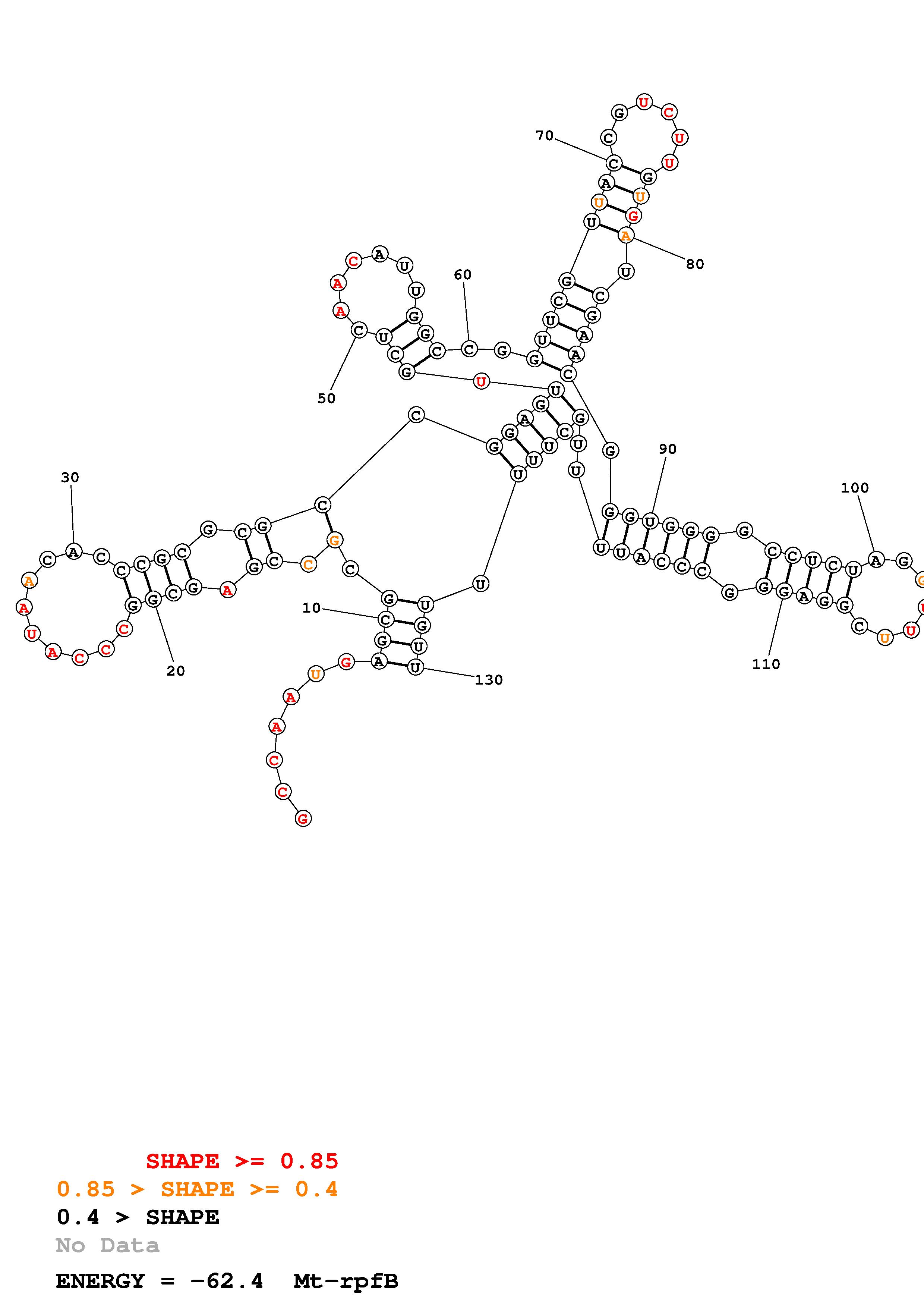
      Structure 1: PDF SVG PS JPEG PNG CT
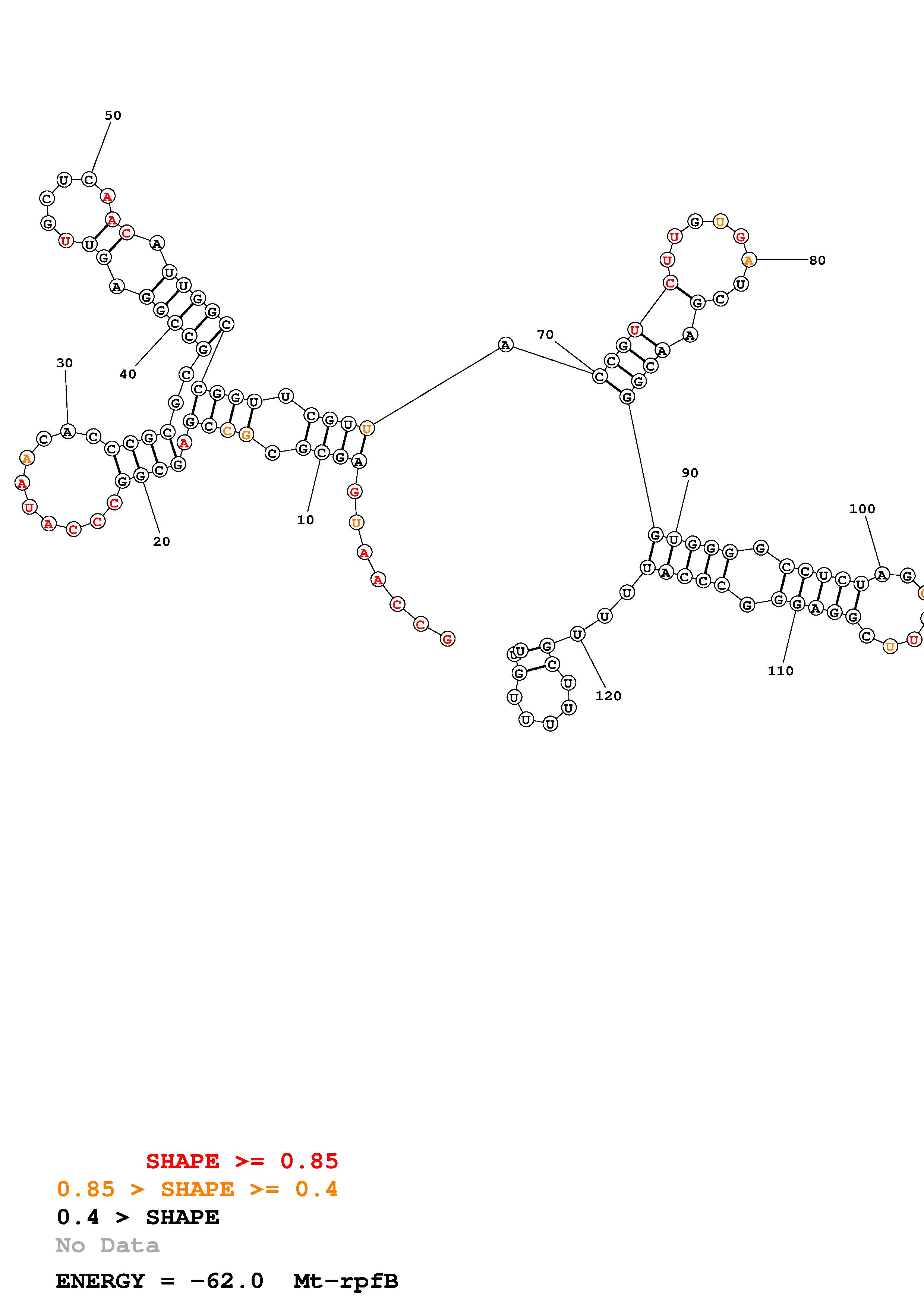
      Structure 2: PDF SVG PS JPEG PNG CT
      Structure 3: PDF SVG PS JPEG PNG CT
      Structure 4: PDF SVG PS JPEG PNG CT
      Structure 5: PDF SVG PS JPEG PNG CT
      Structure 6: PDF SVG PS JPEG PNG CT
      Structure 7: PDF SVG PS JPEG PNG CT
      Structure 8: PDF SVG PS JPEG PNG CT
      Structure 9: PDF SVG PS JPEG PNG CT
      Structure 10: PDF SVG PS JPEG PNG CT
      Structure 11: PDF SVG PS JPEG PNG CT
      Structure 12: PDF SVG PS JPEG PNG CT


Download All Structures: PDF PS CT
Download Individual Structures:
      Structure 1: PDF SVG PS JPEG PNG CT
      Structure 2: PDF SVG PS JPEG PNG CT
      Structure 3: PDF SVG PS JPEG PNG CT
      Structure 4: PDF SVG PS JPEG PNG CT
      Structure 5: PDF SVG PS JPEG PNG CT
      Structure 6: PDF SVG PS JPEG PNG CT
      Structure 7: PDF SVG PS JPEG PNG CT
      Structure 8: PDF SVG PS JPEG PNG CT
      Structure 9: PDF SVG PS JPEG PNG CT
      Structure 10: PDF SVG PS JPEG PNG CT
      Structure 11: PDF SVG PS JPEG PNG CT
      Structure 12: PDF SVG PS JPEG PNG CT

Command Line:
Fold Mt_rpfB_noLinker.fa Fold.ct --loop 30 --maximum 20 --percent 10 --SHAPE Mt_rpfB_L130.shape --SHAPEintercept -0.3 --SHAPEslope 1.1 --temperature 310.15 --window 3


RNAstructure MaxExpect Results
(Generate a structure or structures composed of highly probable base pairs. This is an alternative method for structure prediction that may have higher fidelity in structure prediction.)


Download Structure: SVG JPEG PNG PDF PS CT


Download Structure: SVG JPEG PNG PDF PS CT

Command Line:
MaxExpect partition.pfs MaxExpect.ct --gamma 1 --percent 10 --structures 20 --window 3


RNAstructure ProbKnot Results
(Predict a secondary structure of probable base pairs, which might include pseudoknots.)


Download Structure: SVG JPEG PNG PDF PS CT


Download Structure: SVG JPEG PNG PDF PS CT

Command Line:
ProbKnot partition.pfs ProbKnot.ct --iterations 1 --minimum 3


RNAstructure partition Results
(Perform a partition function calculation on a single sequence to calculate base pair probabilities.)


Download Plot File: SVG JPEG PNG PDF PS PFS

Command Line:
partition Mt_rpfB_noLinker.fa partition.pfs --SHAPE Mt_rpfB_L130.shape --SHAPEintercept -0.3 --SHAPEslope 1.1 --temperature 310.15