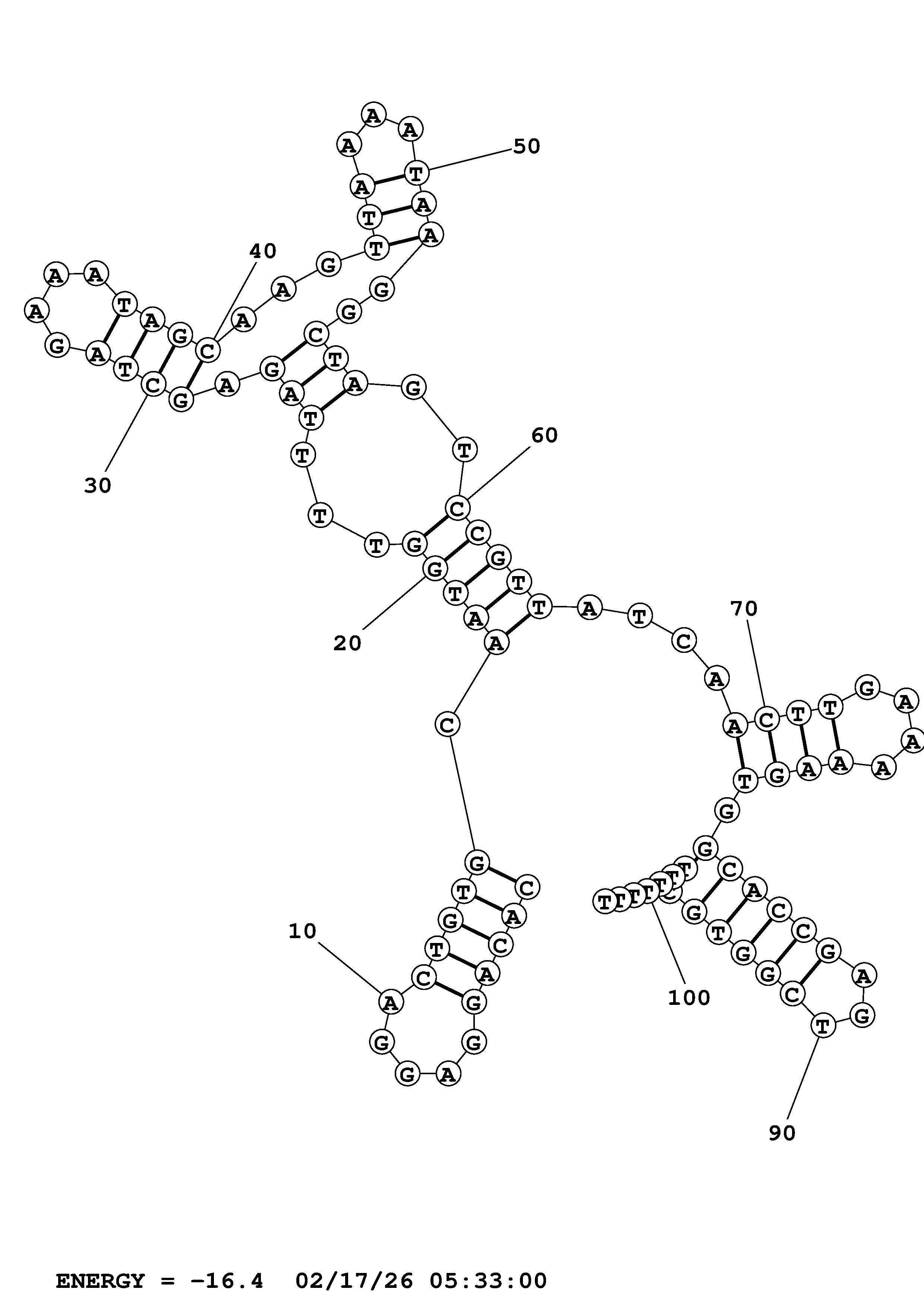
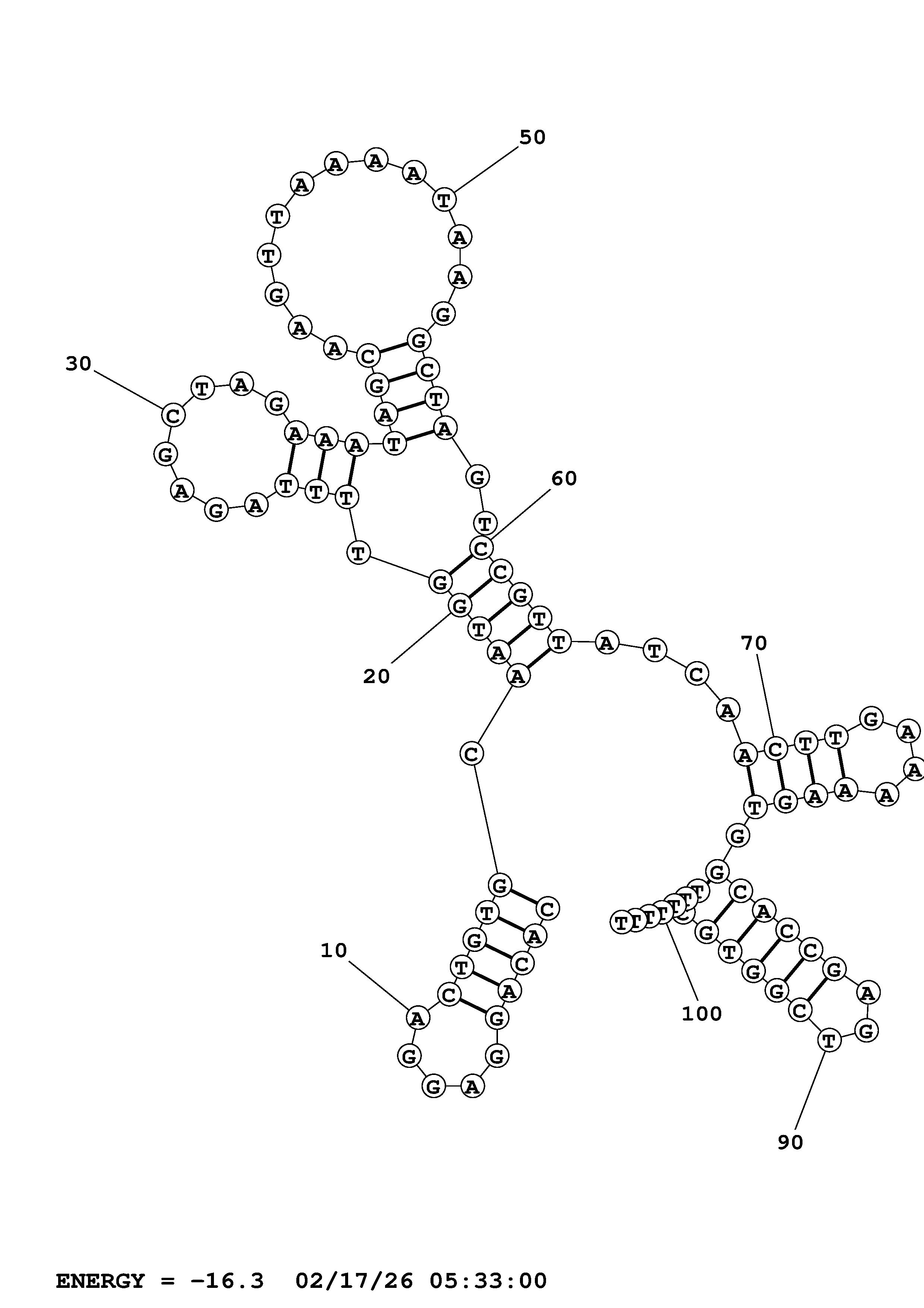
RNAstructure Fold Results
(Predict the lowest free energy structure and a set of low free energy structures for a sequence.)
Download Individual Structures:
Command Line:
Fold Fold.fasta Fold.ct --DNA --loop 30 --maximum 20 --percent 10 --temperature 310.15 --window 3