RNAstructure Fold Results
(Predict the lowest free energy structure and a set of low free energy structures for a sequence.)


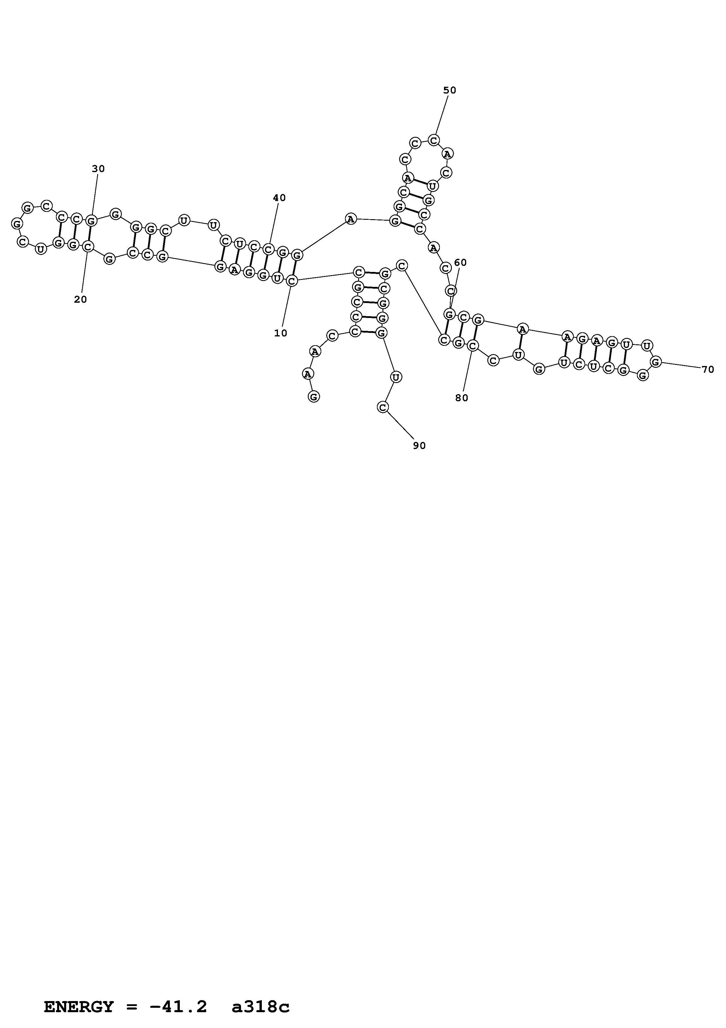
Download All Structures: PDF PS CT
Download Individual Structures:
      Structure 1: PDF SVG PS JPEG PNG CT
      Structure 2: PDF SVG PS JPEG PNG CT
      Structure 3: PDF SVG PS JPEG PNG CT
      Structure 4: PDF SVG PS JPEG PNG CT
      Structure 5: PDF SVG PS JPEG PNG CT
      Structure 6: PDF SVG PS JPEG PNG CT
      Structure 7: PDF SVG PS JPEG PNG CT
      Structure 8: PDF SVG PS JPEG PNG CT

Command Line:
Fold Fold.fasta Fold.ct --loop 30 --maximum 20 --percent 10 --temperature 310.15 --window 3